Fundamental Study on Electric Arc Furnace Steelmaking with Submerged Carbon Powder Injection with CO2-O2 Mixed Gas
Abstract
:1. Introduction
2. Mechanism for Improving Scrap Melting by Molten Bath Carburization
2.1. Experimental Platform
2.2. Analysis of Experimental Results
3. Impact Behaviors of Gas Jet in Liquid Steel
3.1. Assumptions
- (1)
- The gas jet in liquid steel is regarded as a stable and incompressible fluid.
- (2)
- There are only mass and momentum exchanges between the jet and the surrounding liquid.
- (3)
- The momentum of the gas jet in liquid steel is conserved in the horizontal direction.
- (4)
- The transient variation of the momentum of the gas jet in liquid steel in the vertical direction is equal to the buoyancy of the jet.
3.2. Theoretical Modeling
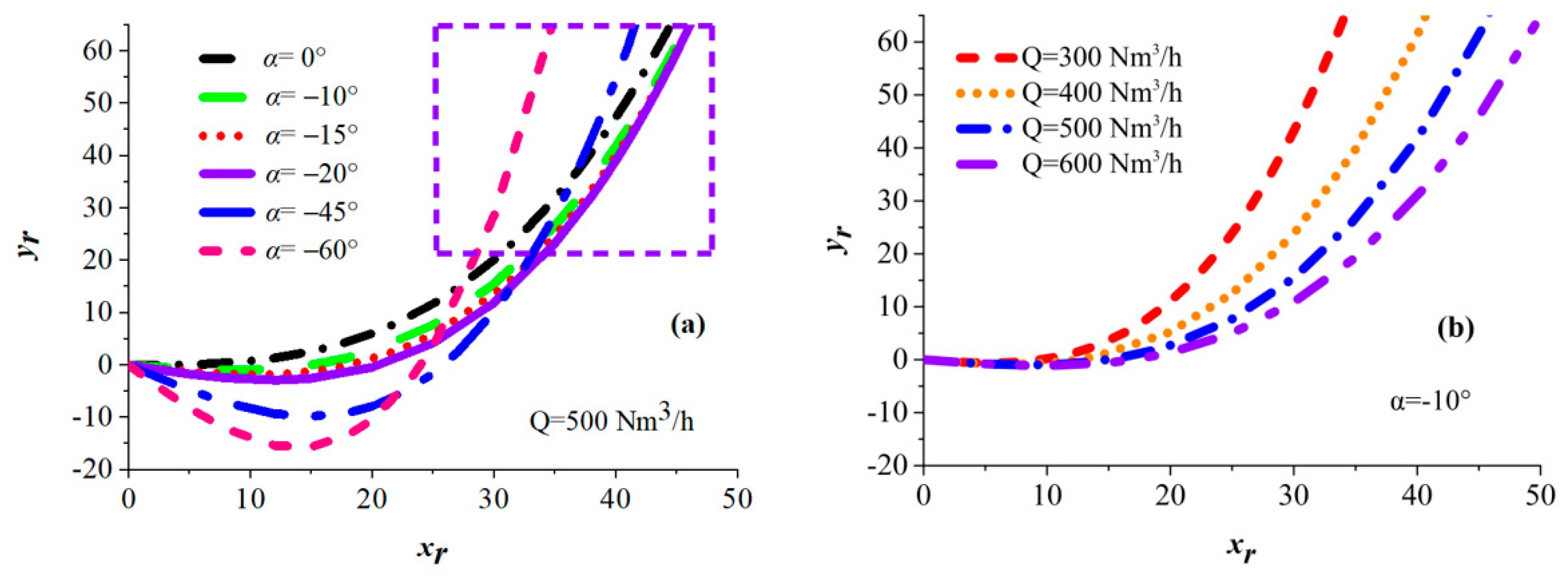
3.3. Analysis of Impact Behaviors of Gas Jet in Liquid Steel

4. Influence of the Gas-Solid Parameters on the EAF Steelmaking Process
4.1. Variation Tendency of the Molten Slag and the Off-Gas Volume
4.2. Variation Tendency of the Power Consumption
4.3. Effective Utilization and Burning Loss of Carbon Powder
4.4. Effect of CO Post-Combustion on the Power Consumption
5. Conclusions
Author Contributions
Funding
Data Availability Statement
Conflicts of Interest
References
- Lee, B.; Sohn, I. Review of Innovative Energy Savings Technology for the Electric Arc Furnace. JOM 2014, 66, 1581–1594. [Google Scholar] [CrossRef]
- Kirschen, M.; Badr, K.; Pfeifer, H. Influence of direct reduced iron on the energy balance of the electric arc furnace in steel industry. Energy 2011, 36, 6146–6155. [Google Scholar] [CrossRef]
- Kerimov, R.I.; Shakhov, S.I. Use of Metallized Raw Materials in Electric Furnace Steelmaking. Metallurgist 2020, 64, 128–135. [Google Scholar] [CrossRef]
- Toulouevski, Y.N.; Zinurov, I.Y. Innovation in Electric Arc Furnaces; Springer: Berlin/Heidelberg, Germany, 2010; pp. 1–20. [Google Scholar]
- Wei, G.; Zhu, R.; Dong, K.; Ma, G.; Cheng, T. Research and Analysis on the Physical and Chemical Properties of Molten Bath with Bottom-Blowing in EAF Steelmaking Process. Metall. Mater. Trans. B 2016, 47, 3066. [Google Scholar] [CrossRef]
- Yang, Z.; Yang, L.; Cheng, T.; Chen, F.; Zheng, F.; Wang, S.; Guo, Y. Fluid Flow Characteristic of EAF Molten Steel with Dif-ferent Bottom-Blowing Gas Flow Rate Distributions. ISIJ Int. 2020, 60, 1957–1967. [Google Scholar] [CrossRef]
- Li, M.; Shao, L.; Li, Q.; Zou, Z. A Numerical Study on Blowing Characteristics of a Dynamic Free Oxygen Lance Converter for Hot Metal Dephosphorization Technology Using a Coupled VOF-SMM Method. Metall. Mater. Trans. B 2021, 52, 2026–2037. [Google Scholar] [CrossRef]
- Dong, P.; Zheng, S.; Zhu, M. Numerical Study on Gas-Metal-Slag Interaction with Single-Flow Postcombustion Oxygen Lance in the Steelmaking Process of a Top-Blown Converter. JOM 2022, 74, 1509–1520. [Google Scholar] [CrossRef]
- Zurutuza, I.; Isasti, N.; Detemple, E.; Schwinn, V.; Mohrbacher, H.; Uranga, P. Effect of dynamic recrystallization on micro-structural evolution in B steels microalloyed with Nb and/or Mo. Materials 2022, 15, 1424. [Google Scholar] [CrossRef]
- Dong, K.; Zhu, R.; Liu, W.J. Bottom-Blown Stirring Technology Application in Consteel EAF. Adv. Mater. Res. 2012, 361–363, 639–643. [Google Scholar] [CrossRef]
- Singh, M.K.; Keshari, K.K.; Prasad, A.; Das, A. Effect of Steel Making Parameters on Nitrogen Level in Steel. Process. Charact. Mater. 2021, 13, 63–73. [Google Scholar] [CrossRef]
- Harashinia, K.; Mizoguchi, S.; Kajioka, H. Kinetics of Nitrogen Disorption from Low Nitrogen Liquid Iron by Blowing Ar and Reducing Gas Mixture or by Top Injection of Iron Ore Powder under Reduced Pressure. Tetsu-to-Hagane 1988, 74, 441–448. [Google Scholar] [CrossRef]
- Lee, M.; Trotter, D.; Mazzei, O. The production of low phosphorus and nitrogen steelsin an EAF using HBI. Scand. J. Met. 2001, 30, 286–291. [Google Scholar] [CrossRef]
- Wei, G.; Zhu, R.; Wu, X.; Dong, K.; Yang, L.; Liu, R. Technological Innovations of Carbon Dioxide Injection in EAF-LF Steelmaking. JOM 2018, 70, 969–976. [Google Scholar] [CrossRef]
- Zhu, R.; Wei, G.; Tang, T. Technologies of purification production in electric arc furnace steelmaking processes. Steelmaking 2018, 34, 10. [Google Scholar]
- Wei, G.; Zhu, R.; Yang, S.; Wu, X.; Dong, K. Simulation and application of submerged CO2–O2 injection in EAF steelmaking: Combined blowing equipment arrangement and industrial application. Ironmak. Steelmak. 2021, 48, 703–711. [Google Scholar] [CrossRef]
- Liu, M.; Ma, G.; Zhang, X.; Zheng, D. Numerical simulation on the melting kinetics of steel scrap in iron-carbon bath. Case Stud. Therm. Eng. 2022, 34, 101995. [Google Scholar] [CrossRef]
- Wright, J.K. Steel dissolution in quiescent and gas stirred Fe/C melts. Metall. Mater. Trans. B 1989, 20, 363–374. [Google Scholar] [CrossRef]
- Nomura, H.; Mori, K. The Rate of Dissolution Iron Into Liquid Fe-C Alloy. Tetsu-to-Hagane 1969, 55, 1134–1141. [Google Scholar] [CrossRef]
- Matsuura, K.; Itoh, Y.; Narita, T. A Solid-Liquid Diffusion Couple Study of a Peritectic Reaction in Iron-Carbon System. ISIJ Int. 1993, 33, 583–587. [Google Scholar] [CrossRef]
- Kim, Y.U.; Pehlke, R.D. Mass Transfer During Dissolution of a Solid Into Liquid in the Iron-Carbon System. Metall. Trans. 1974, 5, 2527–2532. [Google Scholar] [CrossRef]
- Gulawani, S.S.; Deshpande, S.S.; Joshi, J.B.; Shah, M.S.; Prasad, C.S.R.; Shukla, D.S. Submerged Gas Jet into a Liquid Bath: A Review. Ind. Eng. Chem. Res. 2007, 46, 3188–3218. [Google Scholar] [CrossRef]
- Wei, G.; Zhu, R.; Tang, T.; Dong, K.; Wu, X. Study on the Impact Characteristics of Submerged CO2 and O2 Mixed Injection (S-COMI) in EAF Steelmaking. Metall. Mater. Trans. B 2019, 2, 50. [Google Scholar] [CrossRef]
- Opitz, F.; Treffinger, P.; Wöllenstein, J. Modeling of Radiative Heat Transfer in an Electric Arc Furnace. Met. Mater. Trans. B 2017, 48, 3301–3315. [Google Scholar] [CrossRef]
- Logar, V.; Dovžan, D.; Škrjanc, I. Modeling and Validation of an Electric Arc Furnace: Part 1, Heat and Mass Transfer. ISIJ Int. 2012, 52, 402–412. [Google Scholar] [CrossRef]
- Fathi, A.; Saboohi, Y.; Škrjanc, I.; Logar, V. Comprehensive Electric Arc Furnace Model for Simulation Purposes and Model-Based Control. Steel Res. Int. 2017, 88, 1600083. [Google Scholar] [CrossRef]
- Odenthal, H.-J.; Kemminger, A.; Krause, F.; Sankowski, L.; Uebber, N.; Vogl, N. Review on Modeling and Simulation of the Electric Arc Furnace (EAF). Steel Res. Int. 2018, 89, 1700098. [Google Scholar] [CrossRef]
- Irawan, A.; Kurniawan, T.; Alwan, H.; Muslim, Z.; Akhmal, H.; Firdaus, M.; Bindar, Y. An energy optimization study of the electric arc furnace from the steelmaking process with hot metal charging. Heliyon 2022, 8, 11. [Google Scholar] [CrossRef]
- Krassnig, H.J.; Kleimt, B.; Voj, L. EAF post-combustion control by on-line laser-based off-gas measurement. Arch. Metall. Mater. 2008, 53, 455–462. [Google Scholar]
- Ahmadi, A.; Bahiraei, M. Thermohydraulic performance optimization of cooling system of an electric arc furnace operated with nanofluid: A CFD study, J. Clean. Prod. 2021, 310, 127451. [Google Scholar] [CrossRef]
- Yang, L.-Z.; Hu, H.; Yang, Z.-S.; Xue, B.-T.; Guo, Y.-F.; Wang, S. A review on bath fluid flow stirring technologies in EAF steelmaking. J. Iron Steel Res. Int. 2021, 28, 1341–1351. [Google Scholar] [CrossRef]













| Label | w (C)% | w (Si)% | w (Mn)% | w (P)% | w (S)% | Gas Flow Rate |
|---|---|---|---|---|---|---|
| High carbon content | 4.030 | 0.640 | 0.310 | 0.036 | 0.015 | 3.0 L/min |
| High carbon content | 3.010 | 0.620 | 0.320 | 0.037 | 0.016 | 3.0 L/min |
| High carbon content | 2.100 | 0.630 | 0.330 | 0.037 | 0.015 | 3.0 L/min |
| Weaker stirring | 3.010 | 0.620 | 0.320 | 0.037 | 0.016 | 3.0 L/min |
| Medium stirring | 3.030 | 0.580 | 0.360 | 0.033 | 0.014 | 5.0 L/min |
| Stronger stirring | 2.980 | 0.610 | 0.350 | 0.034 | 0.017 | 7.0 L/min |
| Label | Carbon Powder Consumption (kg/t) | Power Consumption (kWh/t) | O2 Consumption (Nm3/t) | |
|---|---|---|---|---|
| 001 | Calculated | 12.0 | 380.9 | 27.7 |
| Measured | 11.7 | 385.5 | 28.3 | |
| 002 | Calculated | 16.0 | 369.1 | 33.1 |
| Measured | 16.3 | 365.3 | 34.2 | |
| 003 | Calculated | 20.0 | 358.5 | 36.3 |
| Measured | 20.1 | 356.2 | 35.2 | |
| 004 | Calculated | 23.0 | 354.7 | 39.5 |
| Measured | 22.7 | 357.6 | 42.6 | |
| 005 | Calculated | 28.0 | 350.8 | 44.9 |
| Measured | 27.6 | 350.2 | 43.6 | |
| 006 | Calculated | 32.0 | 348.3 | 49.2 |
| Measured | 32.3 | 343.2 | 47.3 | |
Disclaimer/Publisher’s Note: The statements, opinions and data contained in all publications are solely those of the individual author(s) and contributor(s) and not of MDPI and/or the editor(s). MDPI and/or the editor(s) disclaim responsibility for any injury to people or property resulting from any ideas, methods, instructions or products referred to in the content. |
© 2023 by the authors. Licensee MDPI, Basel, Switzerland. This article is an open access article distributed under the terms and conditions of the Creative Commons Attribution (CC BY) license (https://creativecommons.org/licenses/by/4.0/).
Share and Cite
Li, J.; Wei, G.; Han, C. Fundamental Study on Electric Arc Furnace Steelmaking with Submerged Carbon Powder Injection with CO2-O2 Mixed Gas. Metals 2023, 13, 1602. https://doi.org/10.3390/met13091602
Li J, Wei G, Han C. Fundamental Study on Electric Arc Furnace Steelmaking with Submerged Carbon Powder Injection with CO2-O2 Mixed Gas. Metals. 2023; 13(9):1602. https://doi.org/10.3390/met13091602
Chicago/Turabian StyleLi, Jianjun, Guangsheng Wei, and Chengjin Han. 2023. "Fundamental Study on Electric Arc Furnace Steelmaking with Submerged Carbon Powder Injection with CO2-O2 Mixed Gas" Metals 13, no. 9: 1602. https://doi.org/10.3390/met13091602
APA StyleLi, J., Wei, G., & Han, C. (2023). Fundamental Study on Electric Arc Furnace Steelmaking with Submerged Carbon Powder Injection with CO2-O2 Mixed Gas. Metals, 13(9), 1602. https://doi.org/10.3390/met13091602
