Effect of Shape Tool Parameters on the Performance of Cold Circular Three-Dimensional Pilger Cross-Section Roll Forming
Abstract
1. Introduction
2. Design Formula for Roll Cross-Section
2.1. Distance from the Bottom of the Groove to the Center Line of the Pipe Billet
- Reduced diameter section [22]
- 2.
- Reduced wall section
- 3.
- pre-finishing section
2.2. Shape Tools Parameters
- Angle of opening
- 2.
- Width of hole pattern
- 3.
- Depth of rolling groove
3. Selection of Key Design Parameters
3.1. Selection of Hole Opening Angle
3.2. Selection of Hole Gap
4. Simulation Model Building
4.1. Model Building
4.2. Simulation Parameter Setting
- The mandrel and rolls were set as rigid bodies;
- The influence of inertia forces on rolling was not considered;
- The influence of temperature on rolling was not considered.
5. Discussion of Simulation Results
5.1. The Influence of the Hole Opening Angle on Comprehensive Performance
5.1.1. Equivalent Stress under Different Hole Opening Angles
5.1.2. Equivalent Plastic Strain under Different Hole Opening Angles
5.1.3. Diameter Accuracy under Different Hole Opening Angles
5.2. The Impact of the Hole Gap on Comprehensive Performance
5.2.1. The Equivalent Stress under Different Hole Gaps
5.2.2. Different Equivalent Plastic Strain Variations under Various Hole Gaps
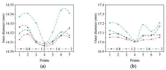
5.2.3. Diameter Accuracy under Different Hole Gaps
6. Conclusions
- This paper analyzed the simulation experiments and demonstrated that the hole opening angles and hole gaps of the variable cross-section three-roll Pilger cold rolling rolls have a significant impact on the rolling accuracy of magnesium alloy pipes and the force parameters during the rolling process.
- The simulation results indicate that, under this rolling specification, the hole opening angle of 10° yields the relative minimum values of equivalent stress and equivalent plastic strain, resulting in the highest accuracy of the inner and outer surfaces of the rolled product. Similarly, the hole gap of 1.2 mm leads to the relative minimum values of equivalent stress and equivalent plastic strain, resulting in the highest accuracy of the inner and outer surfaces of the rolled product.
- The simulation results demonstrate that selecting excessively large or small hole opening angles and hole gaps can lead to a reduction in rolling accuracy. For different production specifications, corresponding simulation analyses should be conducted to determine suitable hole design parameters. The optimal hole design parameters obtained from the simulation experiments in this paper are only applicable to this specific rolling specification and do not have generalizability. However, they provide a theoretical basis and simulation foundation for determining the design parameters of cold-rolled pipe materials in other specifications.
Author Contributions
Funding
Institutional Review Board Statement
Informed Consent Statement
Data Availability Statement
Conflicts of Interest
References
- Zheng, Z.Q. Fundamentals of Materials Science; Central South University: Changsha, China, 2013. [Google Scholar]
- Pociecha, D.; Boryczko, B.; Osika, J.; Mroczkowski, M. Analysis of tube deformation process in a new pilger cold rolling process. Archiv. Civ. Mech. Eng. 2014, 14, 376–382. [Google Scholar] [CrossRef]
- Abe, H.; Iwamoto, T.; Yamamoto, Y.; Nishida, S.; Komatsu, R. Dimensional accuracy of tubes in cold pilgering. J. Mater. Process. Technol. 2016, 231, 277–287. [Google Scholar] [CrossRef]
- He, Z.L.; Chen, J.X.; Shuang, Y.H.; Gou, Y.J.; Ding, X.F.; Gui, H.L.; Huang, X.M. Effect of Pilger hot-rolling process parameters on bonding layer and ovality of 06Cr19Ni10/0235 bimetal composite pipe. Forg. Stamp. Technol. 2023, 2023, 96–101. [Google Scholar]
- Wei, D.; Chen, Y.; Li, H.; Yang, J. Residual stress evolution and tailoring of cold pilgered Ti-3Al-2.5 V tube. Int. J. Mech. Sci. 2022, 225, 107366. [Google Scholar] [CrossRef]
- Wang, X.K.; Ye, J.D.; Ma, X.; Tian, Q.Q.; Li, X.; Bao, Y. Finite element analysis on steel tube forming process of three-roller continuous rolling. Heavy Mach. 2014, 2014, 51–56. [Google Scholar]
- Nalawade, R.S.; Marje, V.R.; Balachandran, G.; Balasubramanian, V. Effect of pass schedule and groove design on the metal deformation of 38MnVS6 in the initial passes of hot rolling. Sadhana 2016, 41, 111–124. [Google Scholar] [CrossRef]
- He, W.J.; Yuan, G.H.; Luan, B.F.; Wang, L.; Chu, L.H.; Liu, Q. On the Pilger Rolling of Zr-4 Alloy: Finite Element Modeling and Plastic Deformation Behavior. Rare Met. Mater. Eng. 2018, 47, 82–88. [Google Scholar]
- Wei, Z.H.; Wu, C.J. A new analytical model to predict the profile and stress distribution of tube in three-roll continuous retained mandrel rolling. J. Mater. Process. Technol. 2022, 302, 117491. [Google Scholar] [CrossRef]
- Wang, H.Z.; Chu, Z.B.; Li, W.; Xue, Z.Y.; Zhang, D.; Huang, Q.X. Research on Forming Process Parameters and Mechanics of Pilger Cold-Rolled Seamless Steel Tube. Hot Work. Technol. 2019, 48, 88–93. [Google Scholar]
- Zhao, T.Y.; Cai, L.M.; Lu, M.H.; Zhan, J.L.; Zeng, X.J. 3D FEM thermo-mechanical coupling analysis of seamless tube high speed cold rolling. Heavy Mach. 2022, 369, 87–91. [Google Scholar]
- Miguel, A.C.; Marcela, B.G.; Eduardo, N.D. Finite element analysis of steel rolling processes. Comput. Struct. 2001, 79, 2075–2089. [Google Scholar]
- Goncharuk, A.V.; Fadeev, V.A.; Kadach, M.V. Seamless Pipes Manufacturing Process Improvement Using Mandreling. Solid State Phenom. 2021, 6014, 402–407. [Google Scholar] [CrossRef]
- Chu, Z.B.; Xue, Z.Y.; Zhang, D.; Wang, H.Z.; Li, W.; Liu, R.H.; Huang, Q.X. Parameters of cold pilgering of seamless steel tube. J. Iron Steel Res. Int. 2019, 26, 9. [Google Scholar] [CrossRef]
- Zhao, C.J.; Liu, Y.F.; Bai, L.; Wang, N.; Gao, X.; Shuang, Y.H. Stretch reduction of seamless steel tube by skew rolling and its numerical simulation. Metall. Res. Technol. 2016, 113, 307. [Google Scholar] [CrossRef]
- Dekhtyarev, V.S.; Frolov, Y.V.; Tereshchenko, A.A.; Golovchenko, A.P. Comprehensive approach to realizing new technologies for the production of high-precision cold-worked tubes. Metallurgist 2009, 53, 152–157. [Google Scholar] [CrossRef]
- Wang, Q.; Huang, P.; Yi, Y.H. Design and analysis of rolling tool pass based on parameterization. Forg. Stamp. Technol. 2020, 45, 92–100. [Google Scholar]
- Zhou, X.F. Pass design of two-high cold rolling pilger mill. Forg. Stamp. Technol. 2012, 37, 55–58. [Google Scholar]
- Lin, Z.; Wang, Z.H.; Mi, Y.F.; Zhang, L.Z. Pass Development for Φ89 mm 3-roll FOM. Steel Pipe 2022, 51, 42–46. [Google Scholar]
- Yin, Y.H.; Huang, W.; Deng, X.S.; Wu, S.H. Finite element analysis of cold- rolled titanium tube based on Deform-3D. Forg. Stamp. Technol. 2014, 39, 122–126. [Google Scholar]
- Yan, F.F. Pass Design of LG730 Cold-Rolling Pilger Mill and Its Finite Element Simulation in the Rolling-Process. Master’s Thesis, Yanshan University, Qinhuangdao, China, 2015. [Google Scholar]
- Li, L.S. Principles of Plastic Deformation of Steel Pipes; Metallurgical Industry Press: Beijing, China, 1989; Volume 2. [Google Scholar]
- Lu, Y.Q.; Fu, X.C.; Liu, H.W.; Xing, W.J. LD type cold rolling mill roll hole opening angle on the force parameters and the impact of steel pipe accuracy. Steel Pipe 1985, 1985, 1–8. [Google Scholar]
- Xu, C.; Chu, Z.B.; Su, H.; Li, W.; Ma, L.F.; Li, Y.G. AZ31 Magnesium Alloy Solution Treatment Key Process Parameters and Experimental Verification. J. Funct. Mater. 2020, 51, 9159–9165. [Google Scholar]
- Chai, R.X.; Wen, L.M.; Xu, S.Q.; Chi, C.Z.; Fan, Y.D. Testing of mechanical property of AZ31 magnesium alloy extruded tubes. Light Alloy Fabr. Technol. 2006, 2006, 21–23. [Google Scholar]
- Li, W.; Shuai, M.R.; Chu, Z.B.; Wang, H.Z.; Xue, Z.Y. Study on key technology parameter cycle feed range of Pilger cold-rolling pipe mill. J. Plast. Eng. 2019, 26, 279–285. [Google Scholar]
- Xue, Z.Y. Study on Critical Process Parameters in Cold Rolling Process of AZ31 Magnesium Alloy Tube. Master’s Thesis, Taiyuan University of Science and Technology, Taiyuan, China, 2019. [Google Scholar]











| Al | Zn | Mn | Si | Ca | Fe | Ni | Mg |
|---|---|---|---|---|---|---|---|
| 3.24 | 0.61 | 0.31 | 0.1 | 0.05 | 0.005 | 0.005 | Bal. |
| Grade | Density (g/cm2) | Tensile Strength (MPa) | Yield Strength (MPa) | Elongation Rate (%) |
|---|---|---|---|---|
| AZ31B | 1.78 | 251 | 154 | 14 |
| Original diameter (mm) | 38 | |
| Original thickness (mm) | 3 | |
| Finished diameter (mm) | 34 | |
| Finished thickness (mm) | 2.5 | |
| Feed amount (mm) | 10 | |
| Turning angle (°) | 60 | |
| Mesh type | Billet | C3D8R |
| Mold | C3D10 | |
| Number of elements | Billet | 4320 |
| Each roll | 3947 | |
| Mandrel | 3263 | |
| Push block | 72 | |
| Roller motion | Reciprocating linear motion | |
Disclaimer/Publisher’s Note: The statements, opinions and data contained in all publications are solely those of the individual author(s) and contributor(s) and not of MDPI and/or the editor(s). MDPI and/or the editor(s) disclaim responsibility for any injury to people or property resulting from any ideas, methods, instructions or products referred to in the content. |
© 2023 by the authors. Licensee MDPI, Basel, Switzerland. This article is an open access article distributed under the terms and conditions of the Creative Commons Attribution (CC BY) license (https://creativecommons.org/licenses/by/4.0/).
Share and Cite
Hu, Y.; Li, S.; Du, X.; Zhang, Y. Effect of Shape Tool Parameters on the Performance of Cold Circular Three-Dimensional Pilger Cross-Section Roll Forming. Metals 2023, 13, 1471. https://doi.org/10.3390/met13081471
Hu Y, Li S, Du X, Zhang Y. Effect of Shape Tool Parameters on the Performance of Cold Circular Three-Dimensional Pilger Cross-Section Roll Forming. Metals. 2023; 13(8):1471. https://doi.org/10.3390/met13081471
Chicago/Turabian StyleHu, Yijian, Shuai Li, Xiaozhong Du, and Yang Zhang. 2023. "Effect of Shape Tool Parameters on the Performance of Cold Circular Three-Dimensional Pilger Cross-Section Roll Forming" Metals 13, no. 8: 1471. https://doi.org/10.3390/met13081471
APA StyleHu, Y., Li, S., Du, X., & Zhang, Y. (2023). Effect of Shape Tool Parameters on the Performance of Cold Circular Three-Dimensional Pilger Cross-Section Roll Forming. Metals, 13(8), 1471. https://doi.org/10.3390/met13081471
