Chromatographic Separation of Rare Earth Elements as MGDA Complexes on Anion Exchange Resins
Abstract
1. Introduction
2. Materials and Methods
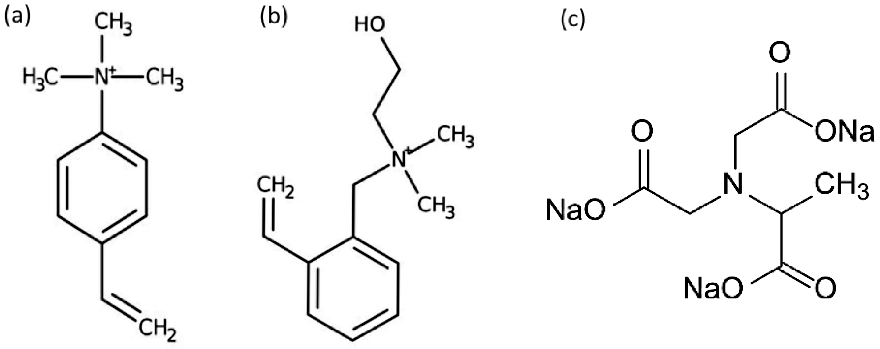
2.1. Anion Exchange Resins
2.2. Synthetic Feed Solutions
2.3. Chromatographic System
2.4. Analytical Methods
3. Results and Discussion
3.1. Selection of the Resin and the Mobile Phase
3.1.1. Resin
3.1.2. Mobile Phase
3.2. Sorption Behavior of REE
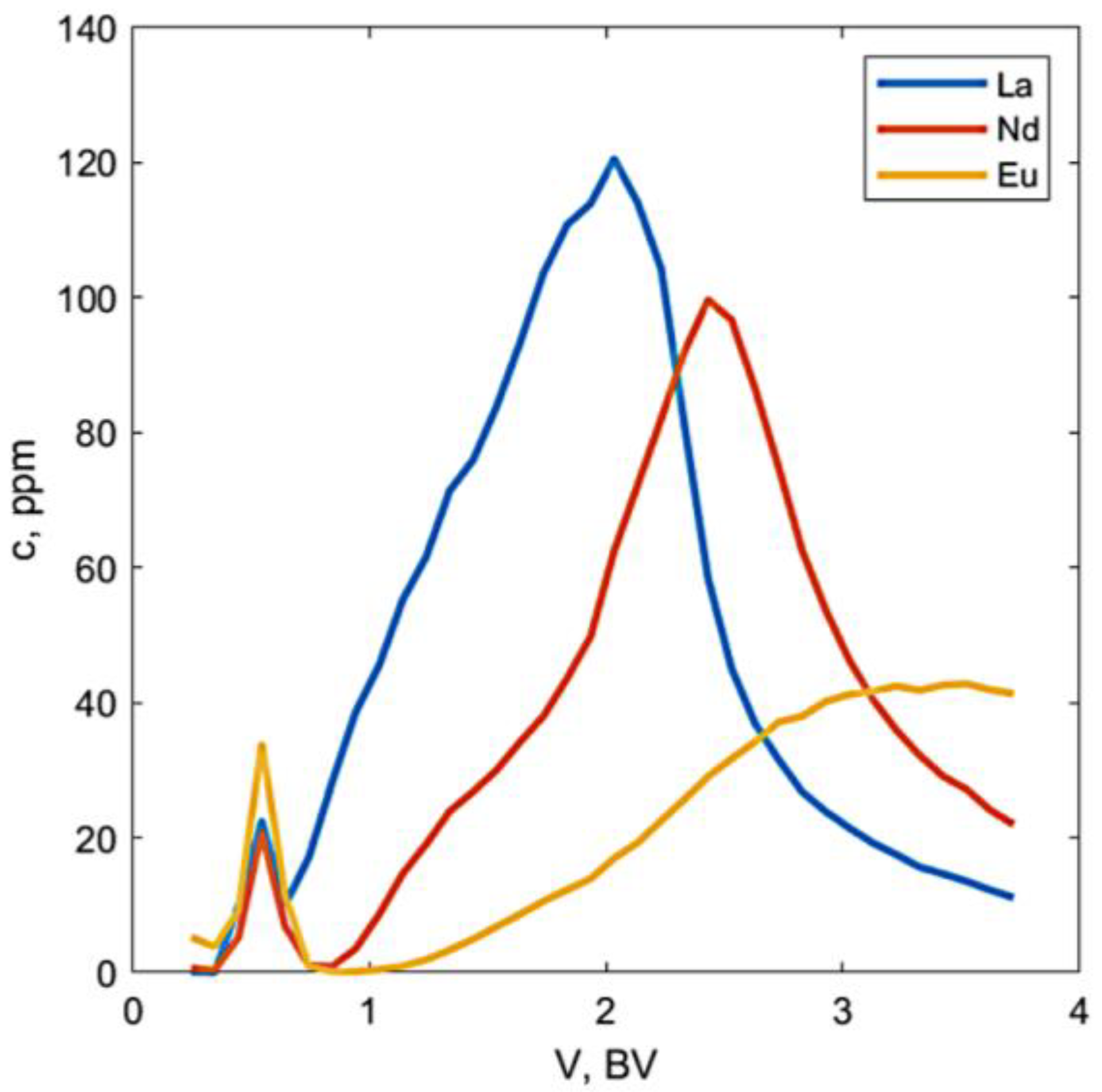
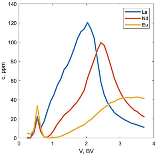
3.2.1. The Effect of Temperature on REE Separation
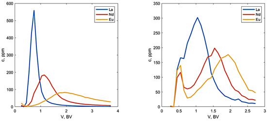
3.2.2. Effect of the Acid Concentration on REE Separation
3.2.3. Effect of the Feed pH on REE Separation
3.2.4. Effect of the MGDA–REE Ratio on REE Separation
3.3. Stability of the MGDA–REE Complexes
3.3.1. Titration of the MGDA–REE Complexes
3.3.2. Presence of Free MGDA in the REE Solution
3.4. Process Performance
4. Conclusions
Supplementary Materials
Author Contributions
Funding
Data Availability Statement
Acknowledgments
Conflicts of Interest
References
- Giunta, C.J.; Mainz, V.V.; Girolami, G.S. (Eds.) 50 Years of the Periodic Table Perspectives on the History of Chemistry; Springer: Cham, Switzerland, 2021; ISBN 9783030679095. [Google Scholar]
- Schwerdtfeger, P.; Smits, O.R.; Pyykkö, P. The Periodic Table and the Physics That Drives It. Nat. Rev. Chem. 2020, 4, 359–380. [Google Scholar] [CrossRef]
- Yin, X.; Wang, Y.; Bai, X.; Wang, Y.; Chen, L.; Xiao, C.; Diwu, J.; Du, S.; Chai, Z.; Albrecht-Schmitt, T.E.; et al. Rare Earth Separations by Selective Borate Crystallization. Nat. Commun. 2017, 8, 14438. [Google Scholar] [CrossRef] [PubMed]
- Reddy, B.R.; Kumar, J.R. Rare Earths Extraction, Separation, and Recovery from Phosphoric Acid Media. Solvent Extr. Ion Exch. 2016, 34, 226–240. [Google Scholar] [CrossRef]
- Campbell, D.S. Chromatographic Lanthanide Separations Using a High-Pressure Ion Exchange Method. Ind. Eng. Chem. Process Des. Dev. 1970, 9, 89–94. [Google Scholar] [CrossRef]
- Dybczyński, R.S.; Pyszynska, M.; Kulisa, K.; Bojanowska-Czajka, A. Selective Separation of Yttrium from Rare Earth Elements by Ion Interaction Chromatography. Analytical and Larger Scale Applications. Sep. Sci. Technol. 2020, 55, 1364–1379. [Google Scholar] [CrossRef]
- Chi, R.; Xu, Z. Solution Chemistry Approach to the Study of Rare Earth Element Precipitation by Oxalic Acid. Metall. Mater. Trans. B 1999, 30, 189–195. [Google Scholar] [CrossRef]
- Han, K.N. Characteristics of Precipitation of Rare Earth Elements with Various Precipitants. Minerals 2020, 10, 178. [Google Scholar] [CrossRef]
- Xie, F.; Zhang, T.A.; Dreisinger, D.; Doyle, F. A Critical Review on Solvent Extraction of Rare Earths from Aqueous Solutions. Miner. Eng. 2014, 56, 10–28. [Google Scholar] [CrossRef]
- Kuchi, R.; Kim, D. Rare Earth-Based Magnetic Materials: Progresses in the Fabrication Technologies and Magnetic Properties. In Rare-Earth Metal Recovery for Green Technologies; Springer: Cham, Switzerland, 2020; ISBN 9783030381059. [Google Scholar]
- Kuang, S.T.; Liao, W.P. Progress in the Extraction and Separation of Rare Earths and Related Metals with Novel Extractants: A Review. Sci. China Technol. Sci. 2018, 61, 1319–1328. [Google Scholar] [CrossRef]
- Sun, X.; Waters, K.E. Development of Industrial Extractants into Functional Ionic Liquids for Environmentally Friendly Rare Earth Separation. ACS Sustain. Chem. Eng. 2014, 2, 1910–1917. [Google Scholar] [CrossRef]
- Ashour, R.M.; Samouhos, M.; Polido Legaria, E.; Svärd, M.; Högblom, J.; Forsberg, K.; Palmlöf, M.; Kessler, V.G.; Seisenbaeva, G.A.; Rasmuson, Å.C. DTPA-Functionalized Silica Nano- and Microparticles for Adsorption and Chromatographic Separation of Rare Earth Elements. ACS Sustain. Chem. Eng. 2018, 6, 6889–6900. [Google Scholar] [CrossRef]
- Dong, Z.; Mattocks, J.A.; Deblonde, G.J.P.; Hu, D.; Jiao, Y.; Cotruvo, J.A.; Park, D.M. Bridging Hydrometallurgy and Biochemistry: A Protein-Based Process for Recovery and Separation of Rare Earth Elements. ACS Cent. Sci. 2021, 7, 1798–1808. [Google Scholar] [CrossRef]
- Arrigo, L.M.; Jiang, J.; Finch, Z.S.; Bowen, J.M.; Beck, C.L.; Friese, J.I.; Greenwood, L.R.; Seiner, B.N. Development of a Separation Method for Rare Earth Elements Using LN Resin. J. Radioanal. Nucl. Chem. 2021, 327, 457–463. [Google Scholar] [CrossRef]
- Wang, Y.; Gong, A.; Qiu, L.; Zhang, W.; Traore, M.; Bai, Y.; Liu, Y.; Gao, G.; Zhao, W.; Qin, W.; et al. Preparation of Pyrrolidinyl Diglycolamide Bonded Silica Particles and Its Rare Earth Separation Properties. J. Chromatogr. A 2022, 1681, 463396. [Google Scholar] [CrossRef]
- Settle, F.A. Analytical Chemistry and the Manhattan Project. Anal. Chem. 2002, 74, 36A–43A. [Google Scholar] [CrossRef]
- Johnson, W.C.; Quill, L.L.; Daniels, F. Rare Earths Separation Developed on Manhattan Project. Chem. Eng. News 1947, 25, 2494. [Google Scholar] [CrossRef]
- Ramzan, M.; Kifle, D.; Wibetoe, G. Comparative Study of Stationary Phases Impregnated with Acidic Organo-phosphorus Extractants for HPLC Separation of Rare Earth Elements. Sep. Sci. Technol. 2016, 51, 494–501. [Google Scholar] [CrossRef]
- Traore, M.; Gong, A.; Wang, Y.; Qiu, L.; Bai, Y.; Zhao, W.; Liu, Y.; Chen, Y.; Liu, Y.; Wu, H.; et al. Research Progress of Rare Earth Separation Methods and Technologies. J. Rare Earths 2022, 41, 182–189. [Google Scholar] [CrossRef]
- Dembowski, M.; Rowley, J.E.; Boland, K.; Droessler, J.; Hathcoat, D.A.; Marchi, A.; Goff, G.S.; May, I. Rare Earth Element Separations by High-Speed Counter-Current Chromatography. J. Chromatogr. A 2022, 1682, 463528. [Google Scholar] [CrossRef]
- Spedding, F.H.; Powell, J.E.; Wheelwright, E.J. The Separation of Adjacent Rare Earths with Ethylenediamine-Tetraacetic Acid by Elution from an Ion-Exchange Resin. J. Am. Chem. Soc. 1954, 72, 612–613. [Google Scholar] [CrossRef]
- Ling, L.; Wang, N.H.L. Ligand-Assisted Elution Chromatography for Separation of Lanthanides. J. Chromatogr. A 2015, 1389, 28–38. [Google Scholar] [CrossRef] [PubMed]
- Chen, B.; He, M.; Zhang, H.; Jiang, Z.; Hu, B. Chromatographic Techniques for Rare Earth Elements Analysis. Phys. Sci. Rev. 2019, 2, 20160057. [Google Scholar] [CrossRef]
- Li, J.; Gong, A.; Qiu, L.; Zhang, W.; Shi, G.; Li, X.; Li, J.; Gao, G.; Bai, Y. Selective Extraction and Column Separation for 16 Kinds of Rare Earth Element Ions by Using N,N-Dioctyl Diglycolacid Grafted Silica Gel Particles as the Stationary Phase. J. Chromatogr. A 2020, 1627, 461393. [Google Scholar] [CrossRef] [PubMed]
- Fernández, R.G.; Alonso, J.I.G. Separation of Rare Earth Elements by Anion-Exchange Chromatography Using Ethylenediaminetetraacetic Acid as Mobile Phase. J. Chromatogr. A 2008, 1180, 59–65. [Google Scholar] [CrossRef] [PubMed]
- Kharitonov, O.V.; Firsova, L.A.; Kostikova, G.V.; Zhilov, V.I. Separation of TPE and REE by Displacement Chelating Chromatography in the Presence of Iron, Chromium and Aluminum Impurities. Radiochemistry 2022, 64, 618–624. [Google Scholar] [CrossRef]
- Opare, E.O.; Struhs, E.; Mirkouei, A. A Comparative State-of-Technology Review and Future Directions for Rare Earth Element Separation. Renew. Sustain. Energy Rev. 2021, 143, 110917. [Google Scholar] [CrossRef]
- Sungur, Ş.K.; Akseli, A. Separation and Determination of Rare Earth Elements by Dowex 2-X8 Resin Using Sodium Trimetaphosphate as Elution Agent. J. Chromatogr. A 2000, 874, 311–317. [Google Scholar] [CrossRef]
- Knutson, H.K.; Max-Hansen, M.; Jönsson, C.; Borg, N.; Nilsson, B. Experimental Productivity Rate Optimization of Rare Earth Element Separation through Preparative Solid Phase Extraction Chromatography. J. Chromatogr. A 2014, 1348, 47–51. [Google Scholar] [CrossRef]
- Dybczyński, R.S.; Kulisa, K. Separation of Rare Earth Elements (REE) by Ion Interaction Chromatography (IIC) Using Diglycolic Acid (ODA) as a Complexing Agent. Chromatographia 2021, 84, 473–482. [Google Scholar] [CrossRef]
- Kurkinen, S.; Virolainen, S.; Sainio, T. Recovery of Rare Earth Elements from Phosphogypsum Waste in Res-in-in-Leach Process by Eluting with Biodegradable Complexing Agents. Hydrometallurgy 2021, 201, 105569. [Google Scholar] [CrossRef]
- Migdisov, A.A.; Williams-Jones, A.E. A Spectrophotometric Study of Neodymium(III) Complexation in Chloride Solutions. Geochim. Cosmochim. Acta 2002, 66, 4311–4323. [Google Scholar] [CrossRef]
- DuPont Ion Exchange Resins Selectivity. Available online: https://www.dupont.com/content/dam/dupont/amer/us/en/water-solutions/public/documents/en/IER-Selectivity-TechFact-45-D01458-en.pdf (accessed on 1 July 2022).
- Nouryon MGDA Technical Brochure Dissolvine® M-40 Dissolvine® M-S. Available online: https://www.nouryon.com/globalassets/inriver/resources/brochure-home-care-dissolvine-m40-ms-global-en.pdf (accessed on 1 July 2022).
- Wódkiewicz, L.; Dybczynski, R. Effect of Resin Cross-Linking on the Anion-Exchange Separation of Rare Earth Complexes with DCTA. J. Chromatogr. 1972, 68, 131–141. [Google Scholar] [CrossRef]
- Hubicka, H.; Drobek, D. Separation of Y(III) Complexes from Dy(III), Ho(III) and Er(III) Complexes with Iminodiacetic Acid on the Anion-Exchangers Type 1 and Type 2. Hydrometallurgy 1999, 53, 89–100. [Google Scholar] [CrossRef]
- Dron, J.; Dodi, A. Thermodynamic Modeling of Cl−, NO3− and SO42− Removal by an Anion Exchange Resin and Comparison with Dubinin-Astakhov Isotherms. Langmuir 2011, 27, 2625–2633. [Google Scholar] [CrossRef]
- Jachuła, J.; Kołodyńska, D.; Hubicki, Z. Sorption of Cd(II), Co(II), and Zn(II) Complexes with MGDA on Anion Exchange Resins: A Study of the Influence of Various Parameters. Sep. Sci. Technol. 2013, 48, 1801–1809. [Google Scholar] [CrossRef]
- Kołodyńska, D.; Hubicka, H.; Hubicki, Z. Studies of Application of Monodisperse Anion Exchangers in Sorption of Heavy Metal Complexes with IDS. Desalination 2009, 239, 216–228. [Google Scholar] [CrossRef]
- Salvatella, L. The Alkyl Group Is a −I + R Substituent. Educ. Quim. 2017, 28, 232–237. [Google Scholar] [CrossRef]
- Solov’ev, V.; Varnek, A. Thermodynamic Radii of Lanthanide Ions Derived from Metal–Ligand Complexes Stability Constants. J. Incl. Phenom. Macrocycl. Chem. 2020, 98, 69–78. [Google Scholar] [CrossRef]
- Fritz, J.S. Factors Affecting Selectivity in Ion Chromatography. J. Chromatogr. A 2005, 1085, 8–17. [Google Scholar] [CrossRef]
- Hyvönen, H. Studies on Metal Complex Formation of Environmentally Friendly Aminopolycarboxylate Chelating Agents; Helsingin Yliopisto: Helsinki, Finland, 2008; ISBN 9789529240050. [Google Scholar]
- Kaspereit, M.; Sainio, T. Simplified Design of Steady-State Recycling Chromatography under Ideal and Nonideal Conditions. Chem. Eng. Sci. 2011, 66, 5428–5438. [Google Scholar] [CrossRef]












| Resin Material, Particle Size | Resin Bed Dimensions | Mobile Phase and Concentration | Fed REE vs. Column Size [g/L] | HPLC/ Preparative | Ref. |
|---|---|---|---|---|---|
| Dowex 2X8 (200–400 mesh) | d = 1.2 cm h = 36 cm | Sodium trimetaphosphate [≤10 mM] | 0.12 | Preparative | [29] |
| AS9-HC | d = 0.4 cm h = 25 cm | EDTA [5 mM] | 0.0032 | HPLC | [26] |
| C18 coated silica 1 d = 16 μm | d = 0.46 cm h = 15 cm | Nitric acid [7 M] | 1.96 | HPLC | [30] |
| Eternity XT5–C18 | d = 0.46 cm h = 25 cm | TBAOH [8.6 mM]/ODA [5 mM] | 0.00012–0.00036 | HPLC | [31] |
| Resin | Dowex 1X8 | IRA-402 | IRA-410 |
|---|---|---|---|
| Functional group | N+(CH3)3 | N+(CH3)3 | N+(CH3)2C2H4OH |
| Matrix | PS-DVB | PS-DVB | PS-DVB |
| Structure | gel | gel | gel |
| DVB Content, wt-% | 8 | 6 | 8 |
| Particle size, mm | 0.6–0.75 | 0.6–0.75 | 0.6–0.75 |
| Feed Number | ∑(REE) [g/L] | pH | [REE]:[MGDA] |
|---|---|---|---|
| 1 | 28.4 | 12.20 | 1:1 |
| 2 | 29.6 | 12.45 | 1:1 |
| 3 | 21.6 | 9.08 | 1:1 |
| 4 | 19.5 | 9.81 | 1:4 |
| Ion | Formula | m/z (Exp.) | m/z (Theor.) | ∆mDa |
|---|---|---|---|---|
| [MGDA + Na]+ | C7H11NO6 + Na | 228.0463 | 228.0479 | −1.6 |
| [MGDA + H]+ | C7H11NO6 + H | 206.0645 | 206.0659 | −1.4 |
| [MGDA + H-COOH]+ | C6H10NO4 | 160.0589 | 160.0604 | −1.5 |
Disclaimer/Publisher’s Note: The statements, opinions and data contained in all publications are solely those of the individual author(s) and contributor(s) and not of MDPI and/or the editor(s). MDPI and/or the editor(s) disclaim responsibility for any injury to people or property resulting from any ideas, methods, instructions or products referred to in the content. |
© 2023 by the authors. Licensee MDPI, Basel, Switzerland. This article is an open access article distributed under the terms and conditions of the Creative Commons Attribution (CC BY) license (https://creativecommons.org/licenses/by/4.0/).
Share and Cite
Kurkinen, S.; Virolainen, S.; Sainio, T. Chromatographic Separation of Rare Earth Elements as MGDA Complexes on Anion Exchange Resins. Metals 2023, 13, 600. https://doi.org/10.3390/met13030600
Kurkinen S, Virolainen S, Sainio T. Chromatographic Separation of Rare Earth Elements as MGDA Complexes on Anion Exchange Resins. Metals. 2023; 13(3):600. https://doi.org/10.3390/met13030600
Chicago/Turabian StyleKurkinen, Santeri, Sami Virolainen, and Tuomo Sainio. 2023. "Chromatographic Separation of Rare Earth Elements as MGDA Complexes on Anion Exchange Resins" Metals 13, no. 3: 600. https://doi.org/10.3390/met13030600
APA StyleKurkinen, S., Virolainen, S., & Sainio, T. (2023). Chromatographic Separation of Rare Earth Elements as MGDA Complexes on Anion Exchange Resins. Metals, 13(3), 600. https://doi.org/10.3390/met13030600

