Experimental Study of Stretched Premixed Flame Stabilized in a Flat Channel near a Heated Wall
Abstract
:1. Introduction
2. Experiment
3. Mathematical Model
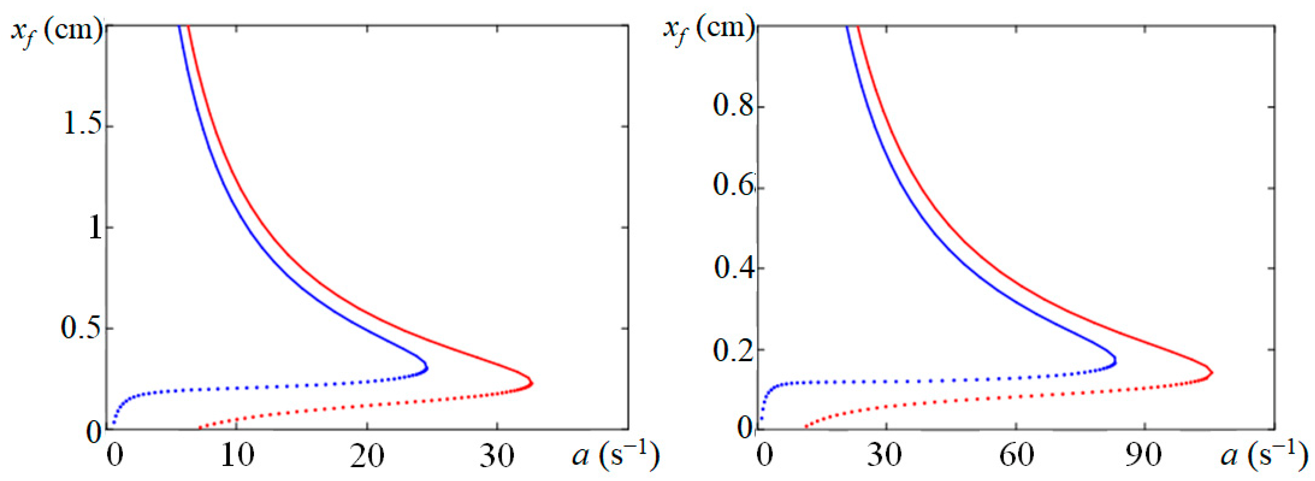
4. Results and Discussion
5. Conclusions
Author Contributions
Funding
Data Availability Statement
Acknowledgments
Conflicts of Interest
References
- Ren, Y.; Ran, K.; Kruse, S.; Mayer, J.; Pitsch, H. Flame Synthesis of Carbon Metal-Oxide Nanocomposites in a Counterflow Burner. Proc. Combust. Inst. 2021, 38, 1269–1277. [Google Scholar] [CrossRef]
- Mansurov, Z.A. Producing Nanomaterials in Combustion. Combust. Explos. Shock. Waves 2012, 48, 561–569. [Google Scholar] [CrossRef]
- Kruse, S.; Wick, A.; Medwell, P.; Attili, A.; Beeckmann, J.; Pitsch, H. Experimental and Numerical Study of Soot Formation in Counterflow Diffusion Flames of Gasoline Surrogate Components. Combust. Flame 2019, 210, 159–171. [Google Scholar] [CrossRef]
- Sun, J.; Ren, Y.; Tang, Y.; Li, S. Influences of Heat Flux on Extinction Characteristics of Steady/Unsteady Premixed Stagnation Flames. Proc. Combust. Inst. 2021, 38, 2305–2314. [Google Scholar] [CrossRef]
- Zhang, Y.; Wang, Z.; Wu, X.; Sun, L.; Zhang, Z.; Zhang, H.; Li, S. In Situ Laser Diagnostics of Nanoparticle Transport across Stagnation Plane in a Counterflow Flame. J. Aerosol Sci. 2017, 105, 145–150. [Google Scholar] [CrossRef]
- Howard, J.B. Fullerenes Formation in Flames. Symp. (Int.) Combust. 1992, 24, 933–946. [Google Scholar] [CrossRef]
- Li, Z.; Zhu, H.; Xie, D.; Wang, K.; Cao, A.; Wei, J.; Li, X.; Fan, L.; Wu, D. Flame Synthesis of Few-Layered Graphene/Graphite Films. Chem. Commun. 2011, 47, 3520–3522. [Google Scholar] [CrossRef] [PubMed]
- Memon, N.K.; Tse, S.D.; Al-Sharab, J.F.; Yamaguchi, H.; Goncalves, A.M.B.; Kear, B.H.; Jaluria, Y.; Andrei, E.Y.; Chhowal, M. Flame Synthesis of Graphene Films in Open Environments. Carbon 2011, 49, 5064–5070. [Google Scholar] [CrossRef]
- Nakamura, H.; Fan, A.; Minamizono, H.; Maruta, K.; Kobayashi, H.; Niioka, T. Bifurcations of Stretched Premixed Flame Stabilized by a Hot Wall. Proc. Combust. Inst. 2009, 32, 1367–1374. [Google Scholar] [CrossRef]
- Law, C.K. Combustion Physics; Cambridge University Press: Cambridge, UK, 2006; ISBN 9780521870528. [Google Scholar] [CrossRef]
- Tsuji, H.; Yamaoka, I. Structure and Extinction of Near-Limit Flames in a Stagnation Flow. Symp. (Int.) Combust. 1982, 19, 1533–1540. [Google Scholar] [CrossRef]
- Maruta, K.; Yoshida, M.; Ju, Y.; Niioka, T. Experimental Study on Methane-Air Premixed Flame Extinction at Small Stretch Rates in Microgravity. Symp. (Int.) Combust. 1996, 26, 1283–1289. [Google Scholar] [CrossRef]
- Ju, Y.; Guo, H.; Maruta, K.; Liu, F. On the Extinction Limit and Flammability Limit of Non-Adiabatic Stretched Methane–Air Premixed Flames. J. Fluid Mech. 1997, 342, 315–334. [Google Scholar] [CrossRef]
- Guo, H.; Ju, Y.; Maruta, K.; Niioka, T.; Liu, F. Radiation Extinction Limit of Counterflow Premixed Lean Methane-Air Flames. Combust. Flame 1997, 109, 639–646. [Google Scholar] [CrossRef]
- Ju, Y.; Minaev, S. Dynamics and Flammability Limit of Stretched Premixed Flames Stabilized by a Hot Wall. Proc. Combust. Inst. 2002, 29, 949–956. [Google Scholar] [CrossRef]
- Lee, M.J.; Cho, M.S.; Kim, N.I. Characteristics of Opposed Flow Partially Premixed Flames in Mesoscale Channels at Low Strain Rates. Proc. Combust. Inst. 2015, 35, 3439–3446. [Google Scholar] [CrossRef]
- Mokrin, S.N.; Odintsov, E.S.; Uriupin, G.V.; Tezuka, T.; Minaev, S.S.; Maruta, K. Flammability Limit of Moderate- and Low-Stretched Premixed Flames Stabilized in Planar Channel. Combust. Flame 2017, 185, 261–264. [Google Scholar] [CrossRef]
- Minaev, S.; Fursenko, R.; Ju, Y.; Law, C.K. Stability Analysis of Near-Limit Stretched Premixed Flames. J. Fluid Mech. 2003, 488, 225–244. [Google Scholar] [CrossRef]
- Buckmaster, J. The Effects of Radiation on Stretched Flames. Combust. Theory Model. 1997, 1, 1–11. [Google Scholar] [CrossRef]
- Minaev, S.; Fursenko, R.; Ju, Y. Stability of Stretched Premixed Flames near the Extinction Limit. Thermophys. Aeromech. 2002, 2, 261–274. [Google Scholar]






Disclaimer/Publisher’s Note: The statements, opinions and data contained in all publications are solely those of the individual author(s) and contributor(s) and not of MDPI and/or the editor(s). MDPI and/or the editor(s) disclaim responsibility for any injury to people or property resulting from any ideas, methods, instructions or products referred to in the content. |
© 2023 by the authors. Licensee MDPI, Basel, Switzerland. This article is an open access article distributed under the terms and conditions of the Creative Commons Attribution (CC BY) license (https://creativecommons.org/licenses/by/4.0/).
Share and Cite
Mokrin, S.; Gubernov, V.; Minaev, S. Experimental Study of Stretched Premixed Flame Stabilized in a Flat Channel near a Heated Wall. Metals 2023, 13, 391. https://doi.org/10.3390/met13020391
Mokrin S, Gubernov V, Minaev S. Experimental Study of Stretched Premixed Flame Stabilized in a Flat Channel near a Heated Wall. Metals. 2023; 13(2):391. https://doi.org/10.3390/met13020391
Chicago/Turabian StyleMokrin, Sergey, Vladimir Gubernov, and Sergey Minaev. 2023. "Experimental Study of Stretched Premixed Flame Stabilized in a Flat Channel near a Heated Wall" Metals 13, no. 2: 391. https://doi.org/10.3390/met13020391
APA StyleMokrin, S., Gubernov, V., & Minaev, S. (2023). Experimental Study of Stretched Premixed Flame Stabilized in a Flat Channel near a Heated Wall. Metals, 13(2), 391. https://doi.org/10.3390/met13020391
