Effects of Rare Earth Elements on Microstructure and Corrosion Resistance of Low Alloy Steel Based on Ultra-Thin Cast Strip Process
Abstract
1. Introduction
2. Experimental
2.1. Sample Preparation
2.2. Examination of Microstructure
2.3. Characterization of Properties
3. Results
3.1. Microstructure
3.2. Inclusion
3.3. Tensile Properties
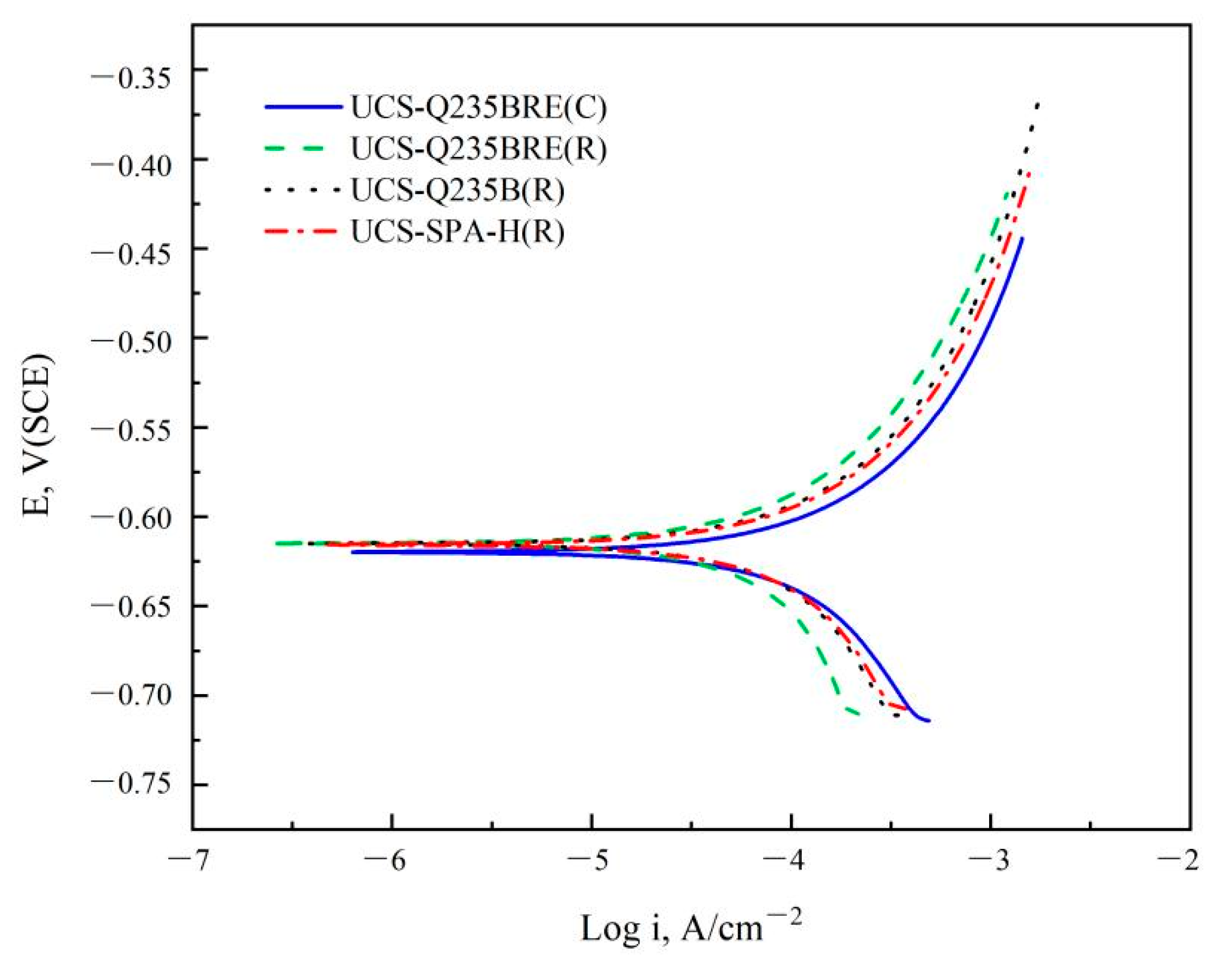
3.4. Corrosion Properties
4. Discussion
4.1. Effect of RE on Microstructure
4.2. Relationship between Corrosion Properties and Microstructure
5. Conclusions
Author Contributions
Funding
Data Availability Statement
Conflicts of Interest
References
- Maleki, A.; Taherizadeh, A.; Hosseini, N. Twin roll casting of steels: An overview. ISIJ Int. 2017, 57, 1–14. [Google Scholar] [CrossRef]
- Campbell, P.; Blejde, W.; Mahapatra, R.; Wechsler, R.; Gillen, G. The castrip® process—Direct casting of steel sheet at nucor crawfordsville. Iron Steel Technol. 2005, 2, 56–62. [Google Scholar]
- Choo, D.K.; Moon, H.K.; Kang, T.W.; Lee, S.H. Analysis and prevention of cracking during strip casting of AISI 304 stainless steel. Metall. Mater. Trans. A 2001, 32, 2249–2258. [Google Scholar] [CrossRef]
- Lindenberg, H.; Henrion, J.; Schwaha, K.; Vespasiani, G. Eurostrip-State of the art of strip casting. Rev. Métallurgie 2002, 99, 615–627. [Google Scholar] [CrossRef]
- Campbell, P.; Mahapatra, R.; Blejde, W.; Wechsler, R.; Gillen, G. The CASTRIP® Process: Progress towards commercial strip casting at Nucor Crawfordsville. Rev. Metall.-Cah. D Inf. Tech. 2006, 103, 25–31. [Google Scholar] [CrossRef]
- Killmore, C.R.; Edelman, D.G.; Carpenter, K.R.; Kaul, H.R.; Williams, J.G.; Campbell, P.C.; Blejde, W.N. Recent Product Developments with Ultra-Thin Cast Strip Products Produced by the CASTRIP® Process. In Materials Science Forum; Trans Tech Publications Ltd.: Bäch, Switzerland, 2010; Volume 654–656, pp. 19–201. [Google Scholar]
- Killmore, C.R.; Phillips, A.; Kaul, H.R.; Williams, J.G.; Creely, H.; Campbell, P.C.; Schueren, M.A.; Blejde, W.N. Development of ultrathin cast strip products by the CASTRIP® process. Iron Steel Technol. 2007, 4, 90–105. [Google Scholar]
- Duan, H.; Shan, Y.Y.; Yang, K.; Shi, X.B.; Yan, W.; Ren, Y. Effect of Rare Earth and Cooling Process on Microstructure and Mechanical Properties of an Ultra-Cleaned X80 Pipeline Steel. Acta Metall. Sin. Engl. 2021, 34, 639–648. [Google Scholar] [CrossRef]
- Deng, X.X.; Jiang, M.; Wang, X.H. Mechanisms of inclusion evolution and intra-granular acicular ferrite formation in steels containing rare earth elements. Acta Metall. Sin. Engl. 2012, 25, 241–248. [Google Scholar]
- Ha, H.Y.; Park, C.J.; Kwon, H.S. Effects of misch metal on the formation of non-metallic inclusions and the associated resistance to pitting corrosion in 25% Cr duplex stainless steels. Scr. Mater. 2006, 55, 991–994. [Google Scholar] [CrossRef]
- Wang, L.M.; Lin, Q.; Ji, J.W.; Lan, D.N. New study concerning development of application of rare earth metals in steels. J. Alloys Compd. 2006, 408–412, 384–386. [Google Scholar] [CrossRef]
- Liu, H.L.; Liu, C.J.; Jiang, M.F. Effects of Rare Earths on the Austenite Recrystallization Behavior in X80 Pipeline Steel. Adv. Mater. Res. 2010, 129–131, 542–546. [Google Scholar] [CrossRef]
- Wu, Y.M.; Wang, L.M.; Du, T. Thermodynamics of rare earth elements in liquid iron. J. Less-Common Met. 1985, 110, 187–193. [Google Scholar] [CrossRef]
- Zhang, Y.; Xiao, J.; Liang, J.H.; Pei, W.; Liu, P.F.; Zhang, W.; Zhao, A.M. Effect of rare earth elements on the segregation behavior and microstructure of super austenitic stainless steel. J. Mater. Res. Technol. 2022, 19, 20–29. [Google Scholar] [CrossRef]
- Carpenter, K.R.; Killmore, C.R. The Effect of Nb on the Continuous Cooling Transformation Curves of Ultra-Thin Strip CASTRIP© Steels. Metals 2015, 5, 1857–1877. [Google Scholar] [CrossRef]
- Zapuskalov, N. Comparison of Continuous Strip Casting with Conventional Technology. ISIJ Int. 2003, 43, 1115–1127. [Google Scholar] [CrossRef]
- Ge, S.; Isac, M.; Guthrie, R.I.L. Progress of strip casting technology for steel; Historical developments. ISIJ Int. 2012, 52, 2109–2122. [Google Scholar] [CrossRef]
- Lian, X.T.; Chen, L.; Fan, Z.W.; Liu, T.S.; Xu, D.X.; Dong, H. Effects of modified inclusions and precipitates alloyed by rare earth element on corrosion and impact properties in low alloy steel. Acta Metall. Sin. (Engl. Lett.) 2022, 35, 1719–1730. [Google Scholar] [CrossRef]
- Liu, Z.; Lian, X.T.; Liu, T.S.; Yang, Y.D.; Zhu, J.N.; Dong, H. Effects of rare earth elements on corrosion behaviors of low-carbon steels and weathering steels. Mater. Corros. 2020, 71, 258–266. [Google Scholar] [CrossRef]
- Wen, J.; Cui, H.; Wei, N.; Song, X.; Zhang, G.; Wang, C.; Song, Q. Effect of phase composition and microstructure on the corrosion resistance of Ni-Al intermetallic compounds. J. Alloys Compd. 2017, 695, 2424–2433. [Google Scholar] [CrossRef]
- Wang, Z.Z.; Carpenter, K.; Chen, Z.X.; Killmore, C. The effect of cooling rate and coiling temperature on the niobium retention in Ultra-Thin Cast Strip steel. Mater. Sci. Eng. A 2017, 700, 234–240. [Google Scholar] [CrossRef]
- Wits, J.J.; Kop, T.A.; Leeuwen, Y.M.; Sietsma, J.; Zwaag, S. A study on the austenite-to-ferrite phase transformation in binary substitutional iron alloys. Mater. Sci. Eng. A 2000, 283, 234–241. [Google Scholar] [CrossRef]
- Mecozzi, M.G.; Sietsma, J.; Zwaag, S. Analysis of γ → α transformation in a Nb micro-alloyed C–Mn steel by phase field modelling. Acta Mater. 2006, 54, 1431–1440. [Google Scholar] [CrossRef]
- Fu, H.G.; Xiao, Q.; Li, Y.X. A study of the microstructures and properties of Fe-V-W-Mo alloy modified by rare earth. Mater. Sci. Eng. A. 2005, 395, 281–287. [Google Scholar] [CrossRef]
- Yue, L.J.; Wang, L.M.; Han, J.S. Effects of rare earth on inclusions and corrosion resistance of 10PCuRE weathering steel. J. Rare Earths 2010, 28, 952–956. [Google Scholar] [CrossRef]
- Cai, G.J.; Li, C.S. Effects of Ce on Inclusions, Microstructure, Mechanical Properties, and Corrosion Behavior of AISI 202 Stainless Steel. J. Mater. Eng. Perform. 2015, 24, 3989–4009. [Google Scholar] [CrossRef]
- Ishikawa, T.; Tanaka, R.; Minamigawa, M.; Kandori, K.; Tanaka, H.; Nakayama, T. Assessment of rust layers formed on weathering steel in saline environment by gas adsorption. Mater. Corros. 2015, 66, 1460–1466. [Google Scholar] [CrossRef]
- Almeida, E.; Morcillo, M.; Rosales, B.; Marrocos, M. Atmospheric corrosion of mild steel. Part I-Rural and urban atmospheres. Mater. Corros. 2000, 51, 859–864. [Google Scholar] [CrossRef]
- Cheng, X.Q.; Jin, J.; Liu, M.; Li, X.G. Optimizing the nickel content in weathering steels to enhance their corrosion resistance in acidic atmospheres. Corros. Sci. 2017, 115, 135–142. [Google Scholar] [CrossRef]
- Avci, R.; Davis, B.H.; Wolfenden, M.L.; Beech, I.B.; Lucas, H.; Paul, D. Mechanism of MnS-mediated pit initiation and propagation in carbon steel in an anaerobic sulfidogenic media. Corros. Sci. 2013, 76, 267–274. [Google Scholar] [CrossRef]








| Sample | C | Si | Mn | P | S | Cr | Cu | Ni | Ce | La |
|---|---|---|---|---|---|---|---|---|---|---|
| UCS-Q235BRE(C) | 0.023 | 0.15 | 0.40 | 0.020 | 0.004 | 0.032 | 0.087 | 0.028 | 0.0025 | 0.0015 |
| UCS-Q235BRE(R) | 0.023 | 0.15 | 0.40 | 0.020 | 0.004 | 0.032 | 0.087 | 0.028 | 0.0025 | 0.0015 |
| UCS-Q235B(R) | 0.023 | 0.17 | 0.58 | 0.015 | 0.004 | 0.023 | 0.076 | 0.031 | — | — |
| UCS-SPA-H(R) | 0.020 | 0.24 | 0.76 | 0.080 | 0.005 | 0.37 | 0.28 | 0.042 | — | — |
| Sample | UCS Q235BRE(C) | UCS Q235BRE(R) | UCS Q235B(R) | UCS SPA-H(R) |
|---|---|---|---|---|
| Microstructure | PF | PF + 2% P | PF + 2% P | PF + 32%GB + 11%BF |
| Rel/MPa | Rm/MPa | A/% | |
|---|---|---|---|
| UCS-Q235BRE(C) | 242 | 352 | 33 |
| UCS-Q235BRE(R) | 259 | 378 | 34 |
| UCS-Q235B(R) | 247 | 354 | 33 |
| UCS-SPA-H(R) | 380 | 489 | 24 |
| Sample | 24 h | 48 h | 72 h | 120 h |
|---|---|---|---|---|
| UCS-Q235BRE(C) | 4.689 | 3.654 | 3.102 | 2.345 |
| UCS-Q235BRE(R) | 4.982 | 3.225 | 2.680 | 2.088 |
| UCS-Q235B(R) | 3.530 | 3.882 | 3.904 | 3.226 |
| UCS-SPA-H(R) | 4.137 | 4.151 | 3.902 | 2.808 |
| Specimen | Ecorr (mV) | Icorr (mA/cm2) |
|---|---|---|
| UCS-Q235BRE(C) | −615.1 | 2.02 |
| UCS-Q235BRE(R) | −614.1 | 1.35 |
| UCS-Q235B(R) | −614.8 | 3.84 |
| UCS-SPA-H(R) | −619.8 | 4.41 |
| Specimen | Rs (Ω cm2) | Rct (Ω cm2) | CPEdl | χ2 × 10−3 | |
|---|---|---|---|---|---|
| Q × 10−5 (Ω−1 Sn cm−2) | n | ||||
| UCS-Q235BRE(C) | 26.73 | 1179 | 42.60 | 0.78 | 4.2 |
| UCS-Q235BRE(R) | 23.55 | 1365 | 56.53 | 0.82 | 2.57 |
| UCS-Q235B(R) | 32.53 | 593 | 30.03 | 0.79 | 2.98 |
| UCS-SPA-H(R) | 22.94 | 876 | 42.91 | 0.83 | 3.38 |
Disclaimer/Publisher’s Note: The statements, opinions and data contained in all publications are solely those of the individual author(s) and contributor(s) and not of MDPI and/or the editor(s). MDPI and/or the editor(s) disclaim responsibility for any injury to people or property resulting from any ideas, methods, instructions or products referred to in the content. |
© 2022 by the authors. Licensee MDPI, Basel, Switzerland. This article is an open access article distributed under the terms and conditions of the Creative Commons Attribution (CC BY) license (https://creativecommons.org/licenses/by/4.0/).
Share and Cite
Lian, X.; Zhao, H.; Chen, L.; Liu, T.; Feng, Q.; Li, H.; Shi, Y.; Dong, H. Effects of Rare Earth Elements on Microstructure and Corrosion Resistance of Low Alloy Steel Based on Ultra-Thin Cast Strip Process. Metals 2023, 13, 66. https://doi.org/10.3390/met13010066
Lian X, Zhao H, Chen L, Liu T, Feng Q, Li H, Shi Y, Dong H. Effects of Rare Earth Elements on Microstructure and Corrosion Resistance of Low Alloy Steel Based on Ultra-Thin Cast Strip Process. Metals. 2023; 13(1):66. https://doi.org/10.3390/met13010066
Chicago/Turabian StyleLian, Xintong, Hongshan Zhao, Long Chen, Tengshi Liu, Qingxiao Feng, Hualong Li, Yixin Shi, and Han Dong. 2023. "Effects of Rare Earth Elements on Microstructure and Corrosion Resistance of Low Alloy Steel Based on Ultra-Thin Cast Strip Process" Metals 13, no. 1: 66. https://doi.org/10.3390/met13010066
APA StyleLian, X., Zhao, H., Chen, L., Liu, T., Feng, Q., Li, H., Shi, Y., & Dong, H. (2023). Effects of Rare Earth Elements on Microstructure and Corrosion Resistance of Low Alloy Steel Based on Ultra-Thin Cast Strip Process. Metals, 13(1), 66. https://doi.org/10.3390/met13010066

