The Corrosion Behavior of WEDM Machined Stainless Steels in a Pyrolysis Environment
Abstract
1. Introduction
Literature Review
2. Experimental Setup and Material
2.1. Experimental Material
2.2. WEDM Machine Setup
2.3. Pyrolysis Unit Settings
2.4. Pyrolysis Environment Analysis
2.5. Experimental Methods
3. Results and Discussion
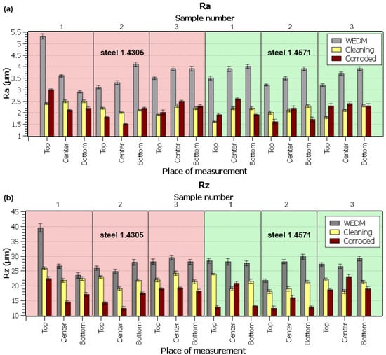
3.1. Topography Analysis
3.2. Morphology Analysis and EDX
3.3. Subsurface Layer Analysis
3.4. PyrolysisEnvironment Characteristics
4. Conclusions
- The highest values of the topography parameters Ra and Rz were achieved immediately after WEDM, but they plummeted after cleaning and the corrosion test;
- Both stainless steel types showed surface corrosion products, or, more precisely, sediments, due to the 28-day corrosion exposure to the pyrolysis environment. The sediments filled up the original uneven areas, which caused the decrease in Ra and Rz topography parameters;
- The morphology after WEDM showed a high number of smooth sections created by the crater bottoms. In contrast, the surface after the corrosion test demonstrated a so-called passive oxide layer, which was more prominent for the 1.4571 steel;
- The diffused elements from the wire electrode—copper and zinc—were eliminated to a large degree in the cleaning process;
- A considerable occurrence of carbon on the surfaces proven by EDX directly reflected the impurities which were found on the surface after being taken out of the pyrolysis chamber; these were of a protective nature;
- WEDM did not lead to any surface or subsurface defects;
- Over the course of the cleaning and after the corrosion exposure, minor fissures occurred on the surface of the 1.4305 steel as a result of the voltage release, or rather, corrosion products;
- The 1.4571 steel suffered chromium carbides precipitation at the austenite grain boundaries due to the long-term pyrolysis exposure (500 °C/28 days), which led to defects occurring in the subsurface layer.
Author Contributions
Funding
Data Availability Statement
Conflicts of Interest
References
- Figueira, R.B.; da Silva, C.J.R.; Pereira, E.V. Organic–inorganic hybrid sol–gel coatings for metal corrosion protection: A review of recent progress. J. Coat. Technol. Res. 2014, 12, 1–35. [Google Scholar] [CrossRef]
- Mohan, D.; Pittman, C.U., Jr.; Steele, P.H. Pyrolysis of Wood/Biomass for Bio-oil: A Critical Review. Energy Fuels 2006, 20, 848–889. [Google Scholar] [CrossRef]
- Kumar, N.; Kumari, S.; Abhishek, K.; Nandi, G.; Ghosh, N. Study on various parameters of WEDM using different optimization techniques: A review. Mater. Today Proc. 2022, 62, 4018–4024. [Google Scholar] [CrossRef]
- Asgar, M.E.; Singholi, A.K.S. Parameter Study and Optimization of WEDM Process: A Review. In Iop Conference Series: Materials Science and Engineering; IOP Publishing: Bristol, UK, 2018; Volume 404, p. 012007. [Google Scholar]
- Corradi, M.; Schino, D.A.; Borri, A.; Rufini, R. A review of the use of stainless steel for masonry repair and reinforcement. Constr. Build. Mater. 2018, 181, 335–346. [Google Scholar] [CrossRef]
- Mouralova, K.; Prokes, T.; Benes, L.; Bednar, J. The Influence of WEDM Parameters Setup on the Occurrence of Defects When Machining Hardox 400 Steel. Materials 2019, 12, 3758. [Google Scholar] [CrossRef]
- Mouralova, K.; Prokes, T.; Benes, L.; Sliwkova, P. Analysis of subsurface defects occurrence in abrasion resistant Creusabro steel after WEDM including the study of morphology and surface topography. Mach. Sci. Technol. 2020, 24, 274–290. [Google Scholar] [CrossRef]
- Mouralova, K.; Benes, L.; Zahradnicek, R.; Bednar, J.; Hrabec, P.; Prokes, T.; Matousek, R.; Fiala, Z. Quality of surface and subsurface layers after WEDM aluminum alloy 7475-T7351 including analysis of TEM lamella. Int. J. Adv. Manuf. Technol. 2018, 99, 2309–2326. [Google Scholar] [CrossRef]
- Aubin, H.; Roy, C. Study on the Corrosiveness Op Wood Pyrolysis Oils. Fuel Sci. Technol. Int. 1990, 8, 77–86. [Google Scholar] [CrossRef]
- Keiser, J.R.; Howell, M.; Lewis, S.A.; Connatser, R.M. Corrosion Studies of Raw and Treated Biomass-Derived Pyrolysis Oils. In CORROSION 2012; OnePetro: Richardson, TX, USA, 2012. [Google Scholar]
- Aggarwal, V.; Pruncu, C.I.; Singh, J.; Sharma, S.; Pimenov, D.Y. Empirical investigations during WEDM of Ni-27Cu-3.15 Al-2Fe-1.5 Mn based superalloy for high temperature corrosion resistance applications. Materials 2020, 13, 3470. [Google Scholar] [CrossRef]
- Sidhom, H.; Ghanem, F.; Amadou, T.; Gonzalez, G.; Braham, C. Effect of electro discharge machining (EDM) on the AISI316L SS white layer microstructure and corrosion resistance. Int. J. Adv. Manuf. Technol. 2013, 65, 141–153. [Google Scholar] [CrossRef]
- Cabrini, M.; Lorenzi, S.; Pastore, T.; Pellegrini, S.; Burattini, M.; Miglio, R. Study of the Corrosion Resistance of Austenitic Stainless Steels during Conversion of Waste to Biofuel. Materials 2017, 10, 325. [Google Scholar] [CrossRef] [PubMed]
- Marco, I.D.; Caballero, B.; Torres, A.; Laresgoiti, M.F.; Chomon, M.J.; Cabrero, M.A. Recycling polymeric wastes by means of pyrolysis. J. Chem. Technol. Biotechnol. Int. Res. Process Environ. Clean Technol. 2002, 77, 817–824. [Google Scholar] [CrossRef]
- Gleis, M. Gasification and Pyrolysis? Reliable options for waste treatment. Waste Manag. 2012, 3, 403–410. [Google Scholar]
- Viklund, P.; Hjörnhede, A.; Henderson, P.; Stålenheim, A.; Pettersson, R. Corrosion of superheater materials in a waste-to-energy plant. Fuel Process. Technol. 2013, 105, 106–112. [Google Scholar] [CrossRef]
- Karlsson, S.; Åmand, L.E.; Liske, J. Reducing high-temperature corrosion on high-alloyed stainless steel superheaters by co-combustion of municipal sewage sludge in a fluidised bed boiler. Fuel 2015, 139, 482–493. [Google Scholar] [CrossRef]
- Verbinnen, B.; DeGreef, J.; Van Caneghem, J. Theory and practice of corrosion related to ashes and deposits in a WtE boiler. Waste Manag. 2018, 73, 307–312. [Google Scholar] [CrossRef]
- Carlborg, M.; Weiland, F.; Ma, C.; Backman, R.; Landälv, I.; Wiinikka, H. Exposure of refractory materials during high-temperature gasification of a woody biomass and peat mixture. J. Eur. Ceram. Soc. 2018, 38, 777–787. [Google Scholar] [CrossRef]
- Bharathi, P.; Priyanka, T.G.L.; Rao, G.S.; Rao, B.N. Optimum WEDM process parameters of SS304 using Taguchi method. Int. J. Ind. Manuf. Syst. Eng. 2016, 1, 69–72. [Google Scholar]
- Lee, H.; Tai, T. Relationship between EDM parameters and surface crack formation. J. Mater. Process. Technol. 2003, 142, 676–683. [Google Scholar] [CrossRef]
- Abdulkaree, S.; Khan, A.A.; Zain, Z.M. Effect of machining parameters on surface roughness during wet and drywire-EDM of stainless steel. J. Appl. Sci. 2011, 11, 1867–1871. [Google Scholar] [CrossRef]
- Kumar, H.; Manna, A.; Kumar, R. Modeling of process parameters for surface roughness and analysis of machined surface in WEDM of Al/SiC-MMC. Trans. Indian Inst. Met. 2018, 71, 231–244. [Google Scholar] [CrossRef]
- Majumder, H.; Maity, K. Prediction and optimization of surface roughness and micro-hardness using grnn and MOORA-fuzzy-a MCDM approach for nitinol in WEDM. Measurement 2018, 118, 1–13. [Google Scholar] [CrossRef]
- Jafari, R.; Kahya, M.; Oliaei, S.N.B.; Ünver, H.; Özyurt, T.O. Modeling and analysis of surface roughness of microchannels produced by μ-WEDM using an ANN and Taguchi method. J. Mech. Sci. Technol. 2017, 31, 5447–5457. [Google Scholar] [CrossRef]
- Mouralova, K.; Kovar, J.; Zahradnicek, R.; Holub, M. Analysis of Machinability of Pure-Cobalt Disc for Magnetron Deposition Using WEDM. In International Conference Mechatronics; Springer: Cham, Switzerland, 2017; Volume 644, pp. 141–148. [Google Scholar] [CrossRef]
- Prathipati, R.; Ch, R.; Dora, S.P. Corrosion behavior of surface induced by wire EDM on 316L stainless steel: An experimental investigation. SN Appl. Sci. 2019, 1, 1–11. [Google Scholar] [CrossRef]
- Pramanik, A.; Basak, A.; Prakash, C. Understanding the wire electrical discharge machining of Ti6Al4V alloy. Heliyon 2019, 5, e01473. [Google Scholar] [CrossRef]
- Kumar, H.; Manna, A.; Kumar, R. Modeling and desirability approach-based multi-response optimization of WEDM parameters in machining of aluminum metal matrix composite. J. Braz. Soc. Mech. Sci. Eng. 2018, 40, 1–19. [Google Scholar] [CrossRef]
- McGeough, J.A. Advanced Methods of Machining; Springer Science & Business Media: Berlin/Heidelberg, Germany, 1988. [Google Scholar]
- Jadam, T.; Datta, S.; Masanta, M. Study of surface integrity and machining performance during main/rough cut and trim/finish cut mode of WEDM on Ti–6Al–4V: Effects of wire material. J. Braz. Soc. Mech. Sci. Eng. 2019, 41, 151. [Google Scholar] [CrossRef]
- Basak, A.; Pramanik, A.; Prakash, C.; Shankar, S.; Debnath, S. Understanding the Micro-Mechanical Behaviour of Recast Layer Formed during WEDM of Titanium Alloy. Metals 2022, 12, 188. [Google Scholar] [CrossRef]
- Antar, M.T.; Soo, S.L.; Aspinwall, D.K.; Jones, D.; Perez, R. Productivity and workpiece surface integrity when WEDM aer-ospace alloys using coated wires. Procedia Eng. 2011, 19, 3–8. [Google Scholar] [CrossRef]
- Xu, B.; Chen, S.-G.; Liang, X.; Lei, J.-G.; Shi, H.-Y.; Fu, L.-Y.; Yang, J.; Peng, T.-J.; Zhao, H.; Zhu, L.-K. Recast layer removal of 304 stainless steel by combining micro-EDM with negative polarity micro-EDM. Int. J. Adv. Manuf. Technol. 2020, 107, 4713–4723. [Google Scholar] [CrossRef]
- Newalkar, G.; Iisa, K.; D’Amico, A.D.; Sievers, C.; Agrawal, P. Effect of temperature, pressure, and residence time on pyrolysis of pine in an entrained flow reactor. Energy Fuels 2014, 28, 5144–5157. [Google Scholar] [CrossRef]
- Oasmaa, A.; Fonts, I.; Pelaez-Samaniego, M.R.; Garcia-Perez, M.E.; Garcia-Perez, M. Pyrolysis Oil Multiphase Behavior and Phase Stability: A Review. Energy Fuels 2016, 30, 6179–6200. [Google Scholar] [CrossRef]
- Czernik, S.; Johnson, D.K.; Black, S. Stability of wood fast pyrolysis oil. Biomass Bioenergy 1994, 7, 187–192. [Google Scholar] [CrossRef]
- Kim, H.-B.; Kim, J.-G.; Kim, T.; Alessi, D.S.; Baek, K. Interaction of biochar stability and abiotic aging: Influences of pyrolysis reaction medium and temperature. Chem. Eng. J. 2021, 411, 128441. [Google Scholar] [CrossRef]
- Leng, L.; Huang, H. An overview of the effect of pyrolysis process parameters on biochar stability. Bioresour. Technol. 2018, 270, 627–642. [Google Scholar] [CrossRef]
- Jarvis, M.W.; Haas, T.J.; Donohoe, B.S.; Daily, J.W.; Gaston, K.R.; Frederick, W.J.; Nimlos, M.R. Elucidation of Biomass Pyrolysis Products Using a Laminar Entrained Flow Reactor and Char Particle Imaging. Energy Fuels 2011, 25, 324–336. [Google Scholar] [CrossRef]







| 1.4571 (AISI 316Ti) Stainless Steel | |||||||||
| C | Ti | Si | Mn | P | S | Cr | Mo | Ni | Fe |
| ≤0.08 | 0.4–0.7 | ≤1 | ≤2 | ≤0.045 | ≤0.015 | 16.5–18.5 | 2–2.5 | 10–13 | balance |
| 1.4305 (AISI 303) Stainless Steel | |||||||||
| C | Si | Mn | P | S | Cr | Ni | Cu | Fe | |
| ≤0.1 | ≤1 | ≤2 | ≤0.05 | 0.15–0.35 | 17–19 | 8–10 | ≤1 | balance | |
| 1.4571 (AISI 316Ti) Stainless Steel | ||
| Yield Strength Rp0.2 (N/mm2) | Tensile Strength Rm (N/mm²) | Hardness HB |
| ≤200 | 500–700 | ≤215 |
| 1.4305 (AISI 303) Stainless Steel | ||
| Yield Strength Rp0.2 (N/mm2) | Tensile Strength Rm (N/mm²) | Hardness HB |
| ≤190 | 500–750 | 230 |
| Sample Number | Gap Voltage | Pulse-On Time | Pulse-Off Time | Wire Speed | Discharge Current |
|---|---|---|---|---|---|
| (V) | (µs) | (µs) | (m·min−1) | (A) | |
| 1 | 50 | 10 | 30 | 14 | 35 |
| 2 | 70 | 8 | 50 | 10 | 25 |
| 3 | 60 | 6 | 40 | 12 | 30 |
| Element wt% | ||||||||||
|---|---|---|---|---|---|---|---|---|---|---|
| C | O | Fe | Si | Mn | Cr | S | Ni | Mo | Cu | Zn |
| After WEDM | ||||||||||
| 1.4305 (AISI 303) Stainless Steel | ||||||||||
| 7.8 | 11.8 | 48.4 | 10.5 | 3.7 | 6.5 | 11.3 | ||||
| 1.4571 (AISI 316Ti) Stainless Steel | ||||||||||
| 8 | 10.6 | 48.8 | 0.2 | 1.1 | 11.6 | 4.1 | 0.3 | 7.3 | 8 | |
| After Cleaning | ||||||||||
| 1.4305 (AISI 303) Stainless Steel | ||||||||||
| 2 | 71.9 | 18.5 | 0.4 | 6.6 | 0.6 | |||||
| 1.4571 (AISI 316Ti) Stainless Steel | ||||||||||
| 1.8 | 0.9 | 65.1 | 0.4 | 22.3 | 5.5 | 4 | ||||
| After the Corrosion Test | ||||||||||
| 1.4305 (AISI 303) Stainless Steel | ||||||||||
| 43.3 | 2.7 | 33.2 | 0.4 | 1 | 16.6 | 0.3 | 1.9 | 0.6 | ||
| 1.4571 (AISI 316Ti) Stainless Steel | ||||||||||
| 44.9 | 2 | 32.4 | 0.1 | 1 | 15.6 | 2.3 | 0.6 | 1.1 | ||
Disclaimer/Publisher’s Note: The statements, opinions and data contained in all publications are solely those of the individual author(s) and contributor(s) and not of MDPI and/or the editor(s). MDPI and/or the editor(s) disclaim responsibility for any injury to people or property resulting from any ideas, methods, instructions or products referred to in the content. |
© 2023 by the authors. Licensee MDPI, Basel, Switzerland. This article is an open access article distributed under the terms and conditions of the Creative Commons Attribution (CC BY) license (https://creativecommons.org/licenses/by/4.0/).
Share and Cite
Benes, L.; Mouralova, K.; Midula, P.; Snow, J.; Lysonkova, I.; Pilnaj, D.; Burdova, H.; Prokes, T.; Zahradnicek, R.; Fries, J.; et al. The Corrosion Behavior of WEDM Machined Stainless Steels in a Pyrolysis Environment. Metals 2023, 13, 144. https://doi.org/10.3390/met13010144
Benes L, Mouralova K, Midula P, Snow J, Lysonkova I, Pilnaj D, Burdova H, Prokes T, Zahradnicek R, Fries J, et al. The Corrosion Behavior of WEDM Machined Stainless Steels in a Pyrolysis Environment. Metals. 2023; 13(1):144. https://doi.org/10.3390/met13010144
Chicago/Turabian StyleBenes, Libor, Katerina Mouralova, Pavol Midula, Jan Snow, Irena Lysonkova, Dominik Pilnaj, Hana Burdova, Tomas Prokes, Radim Zahradnicek, Jiri Fries, and et al. 2023. "The Corrosion Behavior of WEDM Machined Stainless Steels in a Pyrolysis Environment" Metals 13, no. 1: 144. https://doi.org/10.3390/met13010144
APA StyleBenes, L., Mouralova, K., Midula, P., Snow, J., Lysonkova, I., Pilnaj, D., Burdova, H., Prokes, T., Zahradnicek, R., Fries, J., Kuráň, P., & Kubenka, M. (2023). The Corrosion Behavior of WEDM Machined Stainless Steels in a Pyrolysis Environment. Metals, 13(1), 144. https://doi.org/10.3390/met13010144

