Influence of Plastic Strain Control on Martensite Evolution and Fatigue Life of Metastable Austenitic Stainless Steel †
Abstract
1. Introduction
2. Materials and Methods
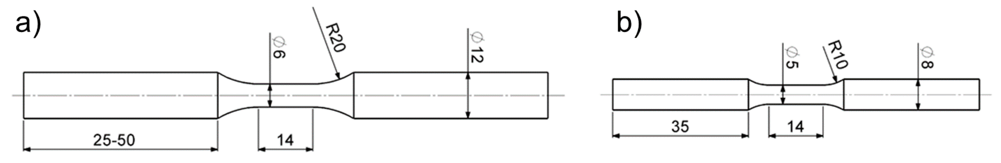
2.1. Material Conditions
2.2. Mechanical Testing
3. Results
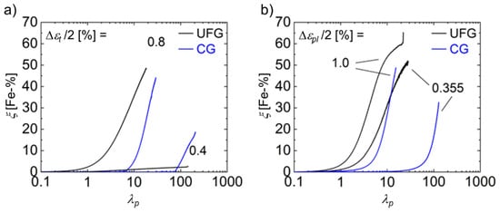
3.1. Cyclic Deformation Curves
3.2. Evolution of α’-Martensite Volume Fraction
3.3. Microstructure
4. Discussion
5. Summary
- The initial stress amplitude is significantly higher for the ultrafine-grained material condition during both total and plastic strain-controlled fatigue tests.
- In both material conditions, a pronounced secondary hardening is observed, which is attributed to the martensitic phase transformation.
- During plastic strain-controlled tests, the cumulated plastic strain needed for the onset of martensitic phase transformation is significantly lower compared to total strain control.
- The UFG condition shows the higher ability for martensitic phase transformation, which is caused by the pronounced texture.
- Based on strain-controlled tests at constant total strain, an approach for the calculation of Coffin–Manson parameters was proposed for materials undergoing a strong secondary hardening due to martensitic phase transformation. The best agreement of the Coffin–Manson curve with that of the plastic strain-controlled test was obtained when calculations were based on the stress amplitude at Nf⁄3.
- A linear damage accumulation approach can be used to estimate Coffin–Manson parameters close to those obtained from plastic strain-controlled tests without an arbitrary comparison point.
Author Contributions
Funding
Data Availability Statement
Acknowledgments
Conflicts of Interest
References
- Coffin, L.F., Jr. Low Cycle Fatigue—A Review. Appl. Mater. Res. 1962, 1, 129. [Google Scholar]
- Manson, S.S.; Halford, G.R. Inst. Metals Monograph and Rept. Set., No 32, 1967, p. 154, cited in: C.E. Feltner and R.W. Landgraf. J. Basic Eng. 1971, 93, 444. [Google Scholar]
- Feltner, C.E.; Landgraf, R.W. Selecting materials to resist low cycle fatigue. J. Basic Eng. 1971, 93, 444–452. [Google Scholar] [CrossRef]
- Lukas, P.; Klesnil, M.; Polak, J. High cycle fatigue life of metals. Mater. Sci. Eng. 1974, 15, 239–245. [Google Scholar] [CrossRef]
- Cheng, A.S.; Laird, C. The high cycle fatigue life of copper single crystals tested under plastic-strain-controlled conditions. Mater. Sci. Eng. 1981, 51, 55–60. [Google Scholar] [CrossRef]
- Wang, R.; Mughrabi, H. Secondary cyclic hardening in fatigued copper monocrystals and polycrystals. Mater. Sci. Eng. 1984, 63, 147–163. [Google Scholar] [CrossRef]
- Blochwitz, C.; Kahle, E. A method for the determination of the cyclic stress-strain curve of persistent slip bands in fatigued single crystals. Krist. Tech. 1980, 16, 977–986. [Google Scholar] [CrossRef]
- Li, Y.; Laird, C. Cyclic response and dislocation structures of AISI 316L stainless steel. Part 2: Polycrystals fatigued at intermediate strain amplitude. Mater. Sci. Eng. A 1994, 186, 87–103. [Google Scholar] [CrossRef]
- Buque, C.; Bretschneider, J.; Schwab, A.; Holste, C. Effect of grain size and deformation temperature on the dislocation structure in cyclically deformed polycrystalline nickel. Mater. Sci. Eng. A 2001, 319–321, 631–636. [Google Scholar] [CrossRef]
- Videm, M.; Ryum, N. Cyclic deformation and fracture of pure aluminium polycrystals. Mater. Sci. Eng. A 1996, 219, 11–20. [Google Scholar] [CrossRef]
- Polak, J. Plastic strain-controlled short crack growth and fatigue life. Int. J. Fatigue 2005, 27, 1192–1201. [Google Scholar] [CrossRef]
- Smaga, M.; Boemke, A.; Daniel, T.; Skorupski, R.; Sorich, A.; Beck, T. Fatigue Behavior of Metastable Austenitic Stainless Steels in LCF, HCF and VHCF Regimes at Ambient and Elevated Temperatures. Metals 2019, 9, 704. [Google Scholar] [CrossRef]
- Lei, Y.; Xu, J.; Wang, Z. Controllable Martensite Transformation and Strain-Controlled Fatigue Behavior of a Gradient Nanostructured Austenite Stainless Steel. Nanomaterials 2021, 11, 1870. [Google Scholar] [CrossRef] [PubMed]
- Mughrabi, H.; Höppel, H.W.; Kautz, M. Fatigue and microstructure of ultrafine grained metals produced by severe plastic deformation. Scr. Mater. 2004, 51, 807–812. [Google Scholar] [CrossRef]
- Mughrabi, H.; Höppel, H.W. Cyclic deformation and fatigue properties of very fine-grained metals and alloys. Int. J. Fatigue 2010, 32, 1413–1427. [Google Scholar] [CrossRef]
- Kunz, L.; Lukáš, P.; Svoboda, M. Fatigue strength, microstructural stability and strain localization in ultrafine-grained copper. Mater. Sci. Eng. A 2006, 424, 97–104. [Google Scholar] [CrossRef]
- Höppel, H.W.; Zhou, Z.M.; Kautz, M.; Mughrabi, H.; Valiev, R.Z. Cyclic deformation behaviour of ultrafine-grained copper produced by equal channel angular pressing. In Proceedings of the Fatigue 2002; Blom, A.F., Ed.; Engineering Advisory Services: West Midlands, UK, 2002; Volume 3, pp. 1617–1622. [Google Scholar]
- Agnew, S.R.; Weertman, J.R. Cyclic softening of ultrafine grained copper. Mater. Sci. Eng. A 1998, 244, 145–152. [Google Scholar] [CrossRef]
- Patlan, V.; Vinogradov, A.; Higashi, K.; Kitagawa, K. Overview of fatigue properties of fine grain 5056 Al–Mg alloy processed by equal-channel angular pressing. Mater. Sci. Eng. A 2001, 300, 171–182. [Google Scholar] [CrossRef]
- Holste, C. Cyclic plasticity of nickel, from single crystal to submicrocrystalline polycrystals. Philos. Mag. 2004, 84, 299–315. [Google Scholar] [CrossRef]
- Stolarz, J.; Baffie, N.; Magnin, T. Fatigue short crack behaviour in metastable austenitic stainless steels with different grain sizes. Mater. Sci. Eng. A 2001, 319–321, 521–526. [Google Scholar] [CrossRef]
- Vogt, J.B.; Poulon, A.; Brochet, S.; Glez, J.C.; Mithieux, J.D. LCF behaviour of fine grained austenitic stainless steels. In Proceedings of the 6th International Conference on Low Cycle Fatigue (LCF 6), Berlin, Germany, 8–12 September 2008; pp. 97–102. [Google Scholar]
- Chlupová, A.; Man, J.; Kuběna, I.; Polák, J.; Karjalainen, L.P. LCF behaviour of ultrafine grained 301LN stainless steel. Procedia Eng. 2014, 74, 147–150. [Google Scholar] [CrossRef]
- Järvenpää, A.; Jaskari, M.; Man, J.; Karjalainen, L.P. Stability of grain-refined re-versed structures in a 301LN austenitic stainless steel under cyclic loading. Mater. Sci. Eng. A 2017, 703, 280–292. [Google Scholar] [CrossRef]
- Järvenpää, A.; Jaskari, M.; Man, J.; Karjalainen, L.P. Austenite stability in reversion-treated structures of a 301LN steel under tensile loading. Mater. Charact. 2017, 127, 12–26. [Google Scholar] [CrossRef]
- Man, J.; Järvenpää, A.; Jaskari, M.; Kuběna, I.; Fintová, S.; Chlupová, A.; Karjalai-nen, L.P.; Polák, J.; Hénaff, G. Cyclic deformation behaviour and stability of grain-re-fined 301LN austenitic stainless structure. MATEC Web Conf. 2018, 165, 6005. [Google Scholar] [CrossRef][Green Version]
- Droste, M.; Ullrich, C.; Motylenko, M.; Weidner, A.; Fleischer, M.; Freudenberger, J.; Rafaja, D.; Biermann, H. Fatigue behaviour of an ultrafine-grained metastable CrMnNi-steel tested under total strain control. Int. J. Fatigue 2018, 106, 143–152. [Google Scholar] [CrossRef]
- Järvenpää, A.; Jaskari, M.; Kisko, A.; Karjalainen, P. Processing and properties of re-version-treated austenitic stainless steels. Metals 2020, 10, 281. [Google Scholar] [CrossRef]
- Zhang, Z.; Li, A.; Wang, Y.; Lin, Q.; Chen, X. Low-cycle fatigue behavior and life prediction of fine-grained 316LN austenitic stainless steel. J. Mater. Res. 2020, 35, 3180–3191. [Google Scholar] [CrossRef]
- Droste, M.; Järvenpää, A.; Jaskari, M.; Motylenko, M.; Weidner, A.; Karjalainen, P.; Biermann, H. The role of grain size in static and cyclic deformation behavior of a laser reversion annealed metastable austenitic steel. Fatigue Fract. Eng. Mater. Struct. 2021, 44, 43–62. [Google Scholar] [CrossRef]
- Jahn, A.; Kovalev, A.; Weiß, A.; Scheller, P.R. Influence of manganese and nickel on the α´ martensite transformation temperatures of high alloyed Cr-Mn-Ni steels. Steel Res. Int. 2011, 82, 1108–1112. [Google Scholar] [CrossRef]
- Ojima, M.; Adachi, Y.; Tomota, Y.; Katada, Y.; Kaneko, Y.; Kuroda, K.; Saka, H. Weak beam TEM study on stacking fault energy of high nitrogen steels. Steel Res. Int. 2009, 80, 477–481. [Google Scholar] [CrossRef]
- Sommer, C.; Christ, H.-J.; Mughrabi, H. Non-linear elastic behaviour of the roller bearing steel SAE 52100 during cyclic loading. Acta Metall. Mater. 1991, 39, 1177–1187. [Google Scholar] [CrossRef]
- Talonen, J.; Aspegren, P.; Hänninen, H. Comparison of different methods for measuring strain induced α’-martensite content in austenitic steels. Mater. Sci. Technol. 2004, 20, 1506–1512. [Google Scholar] [CrossRef]
- Biermann, H.; Glage, A.; Droste, M. Influence of temperature on fatigue-induced martensitic phase transformation in a metastable CrMnNi-steel. Metall. Mater. Trans. A 2016, 47, 84–94. [Google Scholar] [CrossRef]
- Misra, R.D.K.; Challa, V.S.A.; Venkatsurya, P.K.C.; Shen, Y.F.; Somani, M.C.; Karjalainen, L.P. Interplay between grain structure, deformation mechanisms and austenite stability in phase-reversion-induced nanograined/ultrafine-grained austenitic ferrous alloy. Acta Mater. 2015, 84, 339–348. [Google Scholar] [CrossRef]
- Challa, V.; Wan, X.L.; Somani, M.C.; Karjalainen, L.P.; Misra, R.D.K. Strain hardening behavior of phase reversion-induced nanograined/ultrafine-grained (NG/UFG) austenitic stainless steel and relationship with grain size and deformation mechanism. Mater. Sci. Eng. A 2014, 613, 60–70. [Google Scholar] [CrossRef]
- Challa, V.; Wan, X.L.; Somani, M.C.; Karjalainen, L.P.; Misra, R.D.K. Significance of interplay between austenite stability and deformation mechanisms in governing three-stage work hardening behavior of phase-reversion induced nanograined/ultrafine-grained (NG/UFG) stainless steels with high strength-high ductility combination. Scr. Mater. 2014, 86, 60–63. [Google Scholar] [CrossRef]
- Shen, Y.F.; Jia, N.; Wang, Y.D.; Sun, X.; Zuo, L.; Raabe, D. Suppression of twinning and phase transformation in an ultrafine grained 2 GPa strong metastable austenitic steel: Experiment and simulation. Acta Mater. 2015, 97, 305–315. [Google Scholar] [CrossRef]
- Jin, J.E.; Jung, Y.S.; Lee, Y.K. Effect of grain size on the uniform ductility of a bulk ultrafine-grained alloy. Mater. Sci. Eng. A 2007, 449–451, 786–789. [Google Scholar] [CrossRef]
- Kisko, A.; Hamada, A.S.; Talonen, J.; Porter, D.; Karjalainen, L.P. Effects of reversion and recrystallization on microstructure and mechanical properties of Nb-alloyed low-Ni high-Mn austenitic stainless steels. Mater. Sci. Eng. A 2016, 657, 359–370. [Google Scholar] [CrossRef]
- Yang, P.; Xie, Q.; Meng, L.; Ding, H.; Tang, Z. Dependence of deformation twinning on grain orientation in a high manganese steel. Scr. Mater. 2006, 55, 629–631. [Google Scholar] [CrossRef]
- Ullrich, C.; Eckner, R.; Krüger, L.; Martin, S.; Klemm, V.; Rafaja, D. Interplay of microstructure defects in austenitic steel with medium stacking fault energy. Mater. Sci. Eng. A 2016, 649, 390–399. [Google Scholar] [CrossRef]







| Steel | C | N | Cr | Mn | Ni | Si | SFE (mJ/m²) | Ms (°C) | D (µm) | Rp0.5 (MPa) | UTS (MPa) | A (%) | Vol % α’ (%) |
|---|---|---|---|---|---|---|---|---|---|---|---|---|---|
| CG | 0.02 | 0.06 | 16.4 | 7.1 | 6.3 | 0.1 | 17.9 | −28 | 62 | 267 | 697 | 69 | 18 |
| UFG | 0.03 | 0.02 | 15.6 | 7.1 | 6.1 | 0.9 | 11.9 | −21 | 0.78 | 923 | 1063 | 35 | 20 |
Publisher’s Note: MDPI stays neutral with regard to jurisdictional claims in published maps and institutional affiliations. |
© 2022 by the authors. Licensee MDPI, Basel, Switzerland. This article is an open access article distributed under the terms and conditions of the Creative Commons Attribution (CC BY) license (https://creativecommons.org/licenses/by/4.0/).
Share and Cite
Droste, M.; Henkel, S.; Biermann, H.; Weidner, A. Influence of Plastic Strain Control on Martensite Evolution and Fatigue Life of Metastable Austenitic Stainless Steel. Metals 2022, 12, 1222. https://doi.org/10.3390/met12071222
Droste M, Henkel S, Biermann H, Weidner A. Influence of Plastic Strain Control on Martensite Evolution and Fatigue Life of Metastable Austenitic Stainless Steel. Metals. 2022; 12(7):1222. https://doi.org/10.3390/met12071222
Chicago/Turabian StyleDroste, Matthias, Sebastian Henkel, Horst Biermann, and Anja Weidner. 2022. "Influence of Plastic Strain Control on Martensite Evolution and Fatigue Life of Metastable Austenitic Stainless Steel" Metals 12, no. 7: 1222. https://doi.org/10.3390/met12071222
APA StyleDroste, M., Henkel, S., Biermann, H., & Weidner, A. (2022). Influence of Plastic Strain Control on Martensite Evolution and Fatigue Life of Metastable Austenitic Stainless Steel. Metals, 12(7), 1222. https://doi.org/10.3390/met12071222

