Experimental and Numerical Analysis of Steel Beams’ Efficiency with Different Shapes of Corrugated Webs under Free Vibrations
Abstract
1. Introduction
2. Potential Contributions
3. Testing Programs
3.1. Experimental Test Specimens
3.2. Finite Element Modeling
3.3. Selecting the Optimum Element Size
4. Experimental and Numerical Results and Discussion
4.1. Experimental Results and Comparison with FE Analysis
4.2. Pattern of Flexure Displacement Mode Shapes
4.3. Flexure Mode Shape Changes
4.3.1. Thickness of Corrugated Web
4.3.2. Width of Corrugated Web
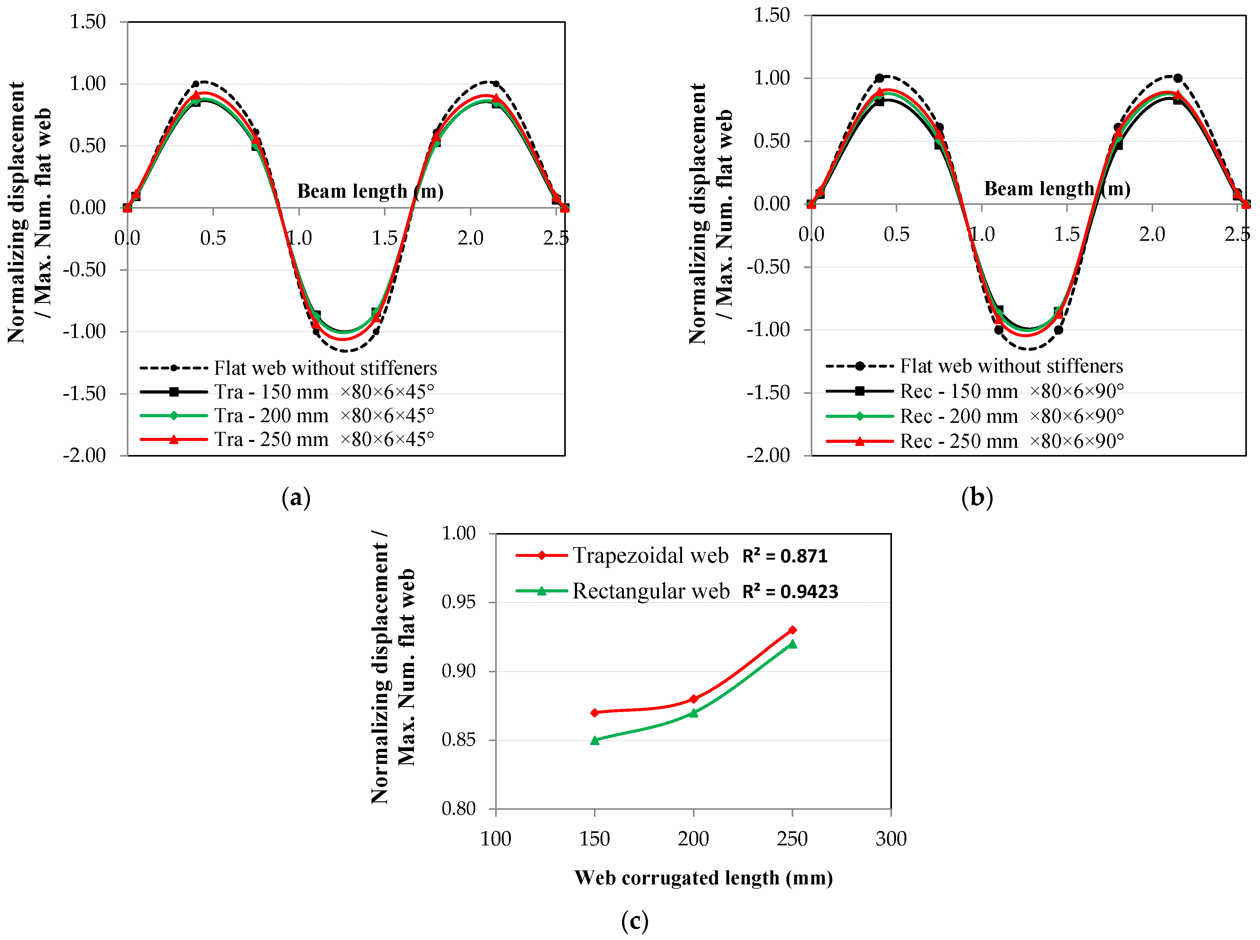
4.3.3. Length of Corrugated Web
4.3.4. Angle of Corrugated Web
4.3.5. Corrugated Web Volume Effect
4.4. Natural Frequencies (Free Vibration)
4.4.1. Thickness of Corrugated Web
4.4.2. Width of Corrugated Web
4.4.3. Length of Corrugated Web
4.4.4. The Angle of Corrugated Web
5. Conclusions
- Using a corrugated web increases the stiffness of the beam, which reduces both the flexure displacement mode shapes and natural frequencies compared to a flat web with the same thickness, where the decrease ratio reached 0.59 and 0.78, respectively.
- In the 1st flexure displacement mode shapes, the best corrugated web was the triangular one, followed by the rectangular, and then the trapezoidal.
- In the 2nd and 3rd flexure displacement mode shapes, the best corrugated web was the rectangular one, followed by the triangular, and then the trapezoidal.
- In terms of natural frequency resistance, the best corrugated web was the triangular one, followed by the rectangular, and then the trapezoidal for any mode shape.
- It is possible to obtain a section resistance for the same values of displacement mode shapes and natural frequencies while saving on the thickness of the web by 33% when using the corrugated web instead of the flat web.
- The effect of the angle of the corrugated web in the triangular type is very effective on the resistance of displacement mode shapes and natural frequencies, where the ratio of decrease reached 0.60 and 0.78, respectively, for an angle of 60°.
Author Contributions
Funding
Institutional Review Board Statement
Data Availability Statement
Acknowledgments
Conflicts of Interest
References
- Luo, R.; Edlund, B. Ultimate strength of girders with trapezoidal corrugated webs under patch loading. Thin Walled Struct. 1996, 24, 135–156. [Google Scholar] [CrossRef]
- Li, G.Q.; Jiang, J.; Zhu, Q. Local buckling of compression flanges of H-beams with corrugated webs. J. Constr. Steel Res. 2015, 112, 69–79. [Google Scholar] [CrossRef]
- Chan, C.L.; Khalid, Y.A.; Sahari, B.B.; Hamouda, A.M.S. Finite element analysis of corrugated web beams under bending. J. Constr. Steel Res. 2002, 58, 1391–1406. [Google Scholar] [CrossRef]
- Sayed-Ahmed, E.Y. Lateral stability of plate girders with corrugated steel webs. In Proceedings of the 31st Canadian Society for Civil Engineering Conference: Building our Civilization, Moncton, NB, Canada, 4–7 June 2003; pp. 1244–1253. [Google Scholar]
- Kazemi nia Korrani, H.R. Lateral bracing of I-girder with corrugated webs under uniform bending. J. Constr. Steel Res. 2010, 66, 1502–1509. [Google Scholar] [CrossRef]
- Al-Kanon, M.A.A.; Suhiel, I.A. Flexural behavior of steel beam with corrugated web. Int. J. Sci. Technol. Res. 2019, 8, 3004–3009. [Google Scholar]
- Moon, J.; Yi, J.W.; Choi, B.H.; Lee, H.E. Lateral-torsional buckling of I-girder with corrugated webs under uniform bending. Thin Walled Struct. 2009, 47, 21–30. [Google Scholar] [CrossRef]
- Al-Mawashee, H.S.; Al-Kannoon, M.A.A. Flexural strength of castellated beams with corrugated webs. J. Phys. Conf. Ser. 2021, 1973, 1–10. [Google Scholar] [CrossRef]
- Abbas, H.H.; Sause, R.; Driver, R.G. Simplified analysis of flange transverse bending of corrugated web I-girders under in-plane moment and shear. Eng. Struct. 2007, 29, 2816–2824. [Google Scholar] [CrossRef]
- Driver, R.G.; Abbas, H.H.; Sause, R. Shear behavior of corrugated web bridge girders. J. Struct. Eng. 2006, 132, 195–203. [Google Scholar] [CrossRef]
- Moon, J.; Yi, J.; Choi, B.H.; Lee, H.E. Shear strength and design of trapezoidally corrugated steel webs. J. Constr. Steel Res. 2009, 65, 1198–1205. [Google Scholar] [CrossRef]
- Kövesdi, B.; Dunai, L. Fatigue life of girders with trapezoidally corrugated webs: An experimental study. Int. J. Fatigue 2014, 64, 22–32. [Google Scholar] [CrossRef]
- Anami, K.; Sause, R.; Abbas, H.H. Fatigue of web-flange weld of corrugated web girders: 1. Influence of web corrugation geometry and flange geometry on web-flange weld toe stresses. Int. J. Fatigue 2005, 27, 373–381. [Google Scholar] [CrossRef]
- Wang, S.; Liu, Y.; He, J.; Xin, H.; Yao, H. Experimental study on cyclic behavior of composite beam with corrugated steel web considering different shear-span ratio. Eng. Struct. 2019, 180, 669–684. [Google Scholar] [CrossRef]
- Shimizu, N.; Kanno, R.; Ikarashi, K.; Sato, K.; Hanya, K. Cyclic behavior of corrugated steel shear diaphragms with end failure. J. Struct. Eng. 2013, 139, 796–806. [Google Scholar] [CrossRef]
- Emami, F.; Mofid, M.; Vafai, A. Experimental study on cyclic behavior of trapezoidally corrugated steel shear walls. Eng. Struct. 2013, 48, 750–762. [Google Scholar] [CrossRef]
- Brownjohn, J.M.W.; Dumanoglu, A.A.; Severn, R.T. Ambient vibration survey of the fatih sultan mehmet (second Bosporus) suspension bridge. Earthq. Eng. Struct. Dyn. 1992, 21, 907–924. [Google Scholar] [CrossRef]
- Brownjohn, J.M.W.; Magalhaes, F.; Caetano, E.; Cunha, A. Ambient vibration re-testing and operational modal analysis of the humber bridge. Eng. Struct. 2010, 32, 2003–2018. [Google Scholar] [CrossRef]
- Zhong, S.; Oyadiji, S.O. Crack detection in simply supported beams without baseline modal parameters by stationary wavelet transform. Mech. Syst. Signal Process. 2007, 21, 1853–1884. [Google Scholar] [CrossRef]
- Zhong, S.; Oyadiji, S.O. Detection of cracks in simply-supported beams by continuous wavelet transform of reconstructed modal data. Comput. Struct. 2011, 89, 127–148. [Google Scholar] [CrossRef]
- Whalen, O.T.M. The behavior of higher order mode shape derivatives in damaged beam-like structures. J. Sound Vib. 2008, 309, 426–464. [Google Scholar] [CrossRef]
- Jiang, X.; Ma, Z.J.; Ren, W.X. Crack detection from the slope of the mode shape using complex continuous wavelet transform. Comput. Aided Civ. Inf. 2012, 27, 187–201. [Google Scholar] [CrossRef]
- Pandey, A.K.; Biswas, M.; Samman, M.M. Damage detection from changes in curvature mode shapes. J. Sound Vib. 1991, 145, 321–332. [Google Scholar] [CrossRef]
- Maia, N.M.M.; Silva, J.M.M.; Almas, E.A.M. Damage detection in structures: From mode shape to frequency response function methods. Mech. Syst. Signal Process. 2003, 17, 489–498. [Google Scholar] [CrossRef]
- Rucevskis, S.; Janeliukstis, R.; Akishin, P.; Chate, A. Mode shape-based damage detection in plate structure without baseline data. Struct. Control Health Monit. 2016, 23, 1180–1193. [Google Scholar] [CrossRef]
- Chaudhari, T.D.; Maiti, S.K. A study of vibration of geometrically segmented beams with and without crack. Int. J. Solids Struct. 2000, 37, 761–779. [Google Scholar] [CrossRef]
- Dimarogonas, A.D. Vibration of cracked structures, a state-of-the-art review. Eng. Fract. Mech. 1996, 55, 831–857. [Google Scholar] [CrossRef]
- Lele, S.P.; Maiti, S.K. Modeling of transverse vibration of short beams for crack detection and measurement of crack extension. J. Sound Vib. 2002, 257, 559–583. [Google Scholar] [CrossRef]
- Khiem, N.T.; Tran, H.T. A procedure for multiple crack identification in beam-like structures from natural vibration mode. J. Vib. Control 2014, 20, 1417–1427. [Google Scholar] [CrossRef]
- Sayed, A.M. Numerical analysis of single-angle steel member under tension load with damage in the unconnected leg. Structures 2020, 25, 920–929. [Google Scholar] [CrossRef]
- Jaishi, B.; Ren, W.X. Damage detection by finite element model updating using modal flexibility residual. J. Sound Vib. 2006, 290, 369–387. [Google Scholar] [CrossRef]
- Ren, W.X.; Peng, X.L. Baseline finite element modeling of a large span cable-stayed bridge through field ambient vibration tests. Comput. Struct. 2005, 83, 536–550. [Google Scholar] [CrossRef]
- Chang, C.C.; Chang, T.Y.P.; Zhang, Q.W. Ambient vibration of long-span cable-stayed bridge. J. Bridge Engrg. ASCE 2001, 6, 46–53. [Google Scholar] [CrossRef]
- Lu, W.; Mäkeläinen, P.; Outinen, J. Finite element modeling of single lap shear screw connection in steel sheeting in fire. Open Constr. Build. Technol. J. 2008, 2, 257–261. [Google Scholar] [CrossRef][Green Version]
- Sayed, A.M. Numerical analysis of the perforated steel sheets under uni-axial tensile force. Metals 2019, 9, 632. [Google Scholar] [CrossRef]
- Gao, F.; Hu, B.; Zhu, H.P. Parametric equations to predict LJF of completely overlapped tubular joints under lap brace axial loading. J. Constr. Steel Res. 2013, 89, 284–292. [Google Scholar] [CrossRef]
- Gao, F.; Hu, B.; Zhu, H.P. Local joint flexibility of completely overlapped tubular joints under in-plane bending. J. Constr. Steel Res. 2014, 99, 1–9. [Google Scholar] [CrossRef]
- Gao, F.; Hu, B. Local joint flexibility of completely overlapped tubular joints under out-of-plane bending. J. Constr. Steel Res. 2015, 115, 121–130. [Google Scholar] [CrossRef]
- American Society for Testing and Materials (ASTM). ASTM Standards A370-08a; Standard Test Methods and Definitions for Mechanical Testing of Steel Products. American Society for Testing and Materials (ASTM): West Conshohocken, PA, USA, 2008. [Google Scholar]
- ANSYS, Inc. ANSYS User’s Manual; Version (15); Swanson Analysis Systems, Inc.: Cannonsburg, PA, USA, 2015. [Google Scholar]
- Seif, M.; Main, J.; Weigand, J.; McAllister, T.P.; Luecke, W. Finite element modeling of structural steel component failure at elevated temperatures. Structures 2016, 6, 134–145. [Google Scholar] [CrossRef]




























| Web Shape | Steel Beam Specimen | Steel Web Characteristics | Web Longitudinal Section Volume | ||||
|---|---|---|---|---|---|---|---|
| Shape-l × w × t × Ɵ | l (mm) | w (mm) | t (mm) | Ɵ | (mm3) | Corrugated/Flat without Stiffeners | |
| Flat web | Flat web without stiffeners | 6 | 3,060,000 | 1.000 | |||
| Flat web with stiffeners | 6 | 4,188,000 | 1.369 | ||||
| Trapezoidal | Tra-150 × 80 × 6 × 45° | 150 | 80 | 6 | 45° | 3,685,297 | 1.204 |
| Tra-200 × 80 × 6 × 45° | 200 | 80 | 6 | 45° | 3,533,303 | 1.155 | |
| Tra-250 × 80 × 6 × 45° | 250 | 80 | 6 | 45° | 3,421,251 | 1.118 | |
| Tra-200 × 80 × 4 × 45° | 200 | 80 | 4 | 45° | 2,367,395 | 0.774 | |
| Tra-200 × 80 × 5 × 45° | 200 | 80 | 5 | 45° | 2,953,858 | 0.965 | |
| Tra-200 × 40 × 6 × 45° | 200 | 40 | 6 | 45° | 3,279,699 | 1.072 | |
| Tra-200 × 60 × 6 × 45° | 200 | 60 | 6 | 45° | 3,408,934 | 1.114 | |
| Rectangular | Rec-150 × 80 × 6 × 90° | 150 | 80 | 6 | 90° | 4,569,600 | 1.493 |
| Rec-200 × 80 × 6 × 90° | 200 | 80 | 6 | 90° | 4,214,400 | 1.377 | |
| Rec-250 × 80 × 6 × 90° | 250 | 80 | 6 | 90° | 3,948,000 | 1.290 | |
| Rec-200 × 80 × 4 × 90° | 200 | 80 | 4 | 90° | 2,809,600 | 0.918 | |
| Rec-200 × 80 × 5 × 90° | 200 | 80 | 5 | 90° | 3,512,000 | 1.148 | |
| Rec-200 × 40 × 6 × 90° | 200 | 40 | 6 | 90° | 3,590,400 | 1.173 | |
| Rec-200 × 60 × 6 × 90° | 200 | 60 | 6 | 90° | 3,902,400 | 1.275 | |
| Triangular | Tri-0 × 40 × 6 × 45° | 0 | 40 | 6 | 45° | 4,327,505 | 1.414 |
| Tri-0 × 60 × 6 × 45° | 0 | 60 | 6 | 45° | 4,327,480 | 1.414 | |
| Tri-0 × 80 × 6 × 45° | 0 | 80 | 6 | 45° | 4,327,544 | 1.414 | |
| Tri-0 × 80 × 4 × 45° | 0 | 80 | 4 | 45° | 2,884,999 | 0.943 | |
| Tri-0 × 80 × 5 × 45° | 0 | 80 | 5 | 45° | 3,606,247 | 1.179 | |
| Tri-0 × 80 × 6 × 30° | 0 | 80 | 6 | 30° | 3,523,310 | 1.151 | |
| Tri-0 × 80 × 6 × 60° | 0 | 80 | 6 | 60° | 6,110,915 | 1.997 | |
| Analysis Type | Mode Shape | Normalized Displacement/Maximum Exp. Flat Web Beam Without Stiffener | Average | COV % | Frequency | ||||||||
|---|---|---|---|---|---|---|---|---|---|---|---|---|---|
| 1 | 2 | 3 | 4 | 5 | 6 | 7 | 8 | Value Hz | Num./Exp. | ||||
| Experimental | 1st | 0.07 | 0.51 | 0.82 | 0.97 | 1.00 | 0.78 | 0.50 | 0.07 | 104.16 | |||
| Numerical | 1st | 0.06 | 0.48 | 0.81 | 1.01 | 1.01 | 0.81 | 0.48 | 0.06 | 100.99 | |||
| Num./Exp. | 0.90 | 0.95 | 0.98 | 1.03 | 1.01 | 1.04 | 0.96 | 0.93 | 0.98 | 5.06 | 0.97 | ||
| Experimental | 2nd | 0.18 | 0.91 | 1.00 | 0.38 | −0.36 | −0.88 | −0.91 | −0.20 | 324.09 | |||
| Numerical | 2nd | 0.19 | 0.87 | 0.97 | 0.39 | −0.39 | −0.97 | −0.87 | −0.19 | 322.18 | |||
| Num./Exp. | 1.07 | 0.96 | 0.97 | 1.02 | 1.09 | 1.10 | 0.96 | 0.97 | 1.02 | 5.97 | 0.99 | ||
| Experimental | 3rd | 0.10 | 1.02 | 0.56 | −0.93 | −1.00 | 0.62 | 0.92 | 0.10 | 671.21 | |||
| Numerical | 3rd | 0.09 | 0.97 | 0.59 | −0.97 | −0.97 | 0.59 | 0.97 | 0.09 | 662.18 | |||
| Num./Exp. | 0.92 | 0.95 | 1.05 | 1.04 | 0.97 | 0.95 | 1.06 | 0.97 | 0.99 | 5.39 | 0.98 | ||
| Analysis Type | Mode Shape | Normalized Displacement/Maximum Exp. Flat Web Beam with Stiffener | Average | COV % | Frequency | ||||||||
|---|---|---|---|---|---|---|---|---|---|---|---|---|---|
| 1 | 2 | 3 | 4 | 5 | 6 | 7 | 8 | Value Hz | Num./Exp. | ||||
| Experimental | 1st | 0.07 | 0.46 | 0.84 | 1.00 | 0.97 | 0.77 | 0.53 | 0.06 | 92.38 | |||
| Numerical | 1st | 0.06 | 0.50 | 0.83 | 1.03 | 1.03 | 0.83 | 0.50 | 0.06 | 95.03 | |||
| Num./Exp. | 0.93 | 1.08 | 0.99 | 1.03 | 1.06 | 1.07 | 0.94 | 0.95 | 1.01 | 6.11 | 1.03 | ||
| Experimental | 2nd | 0.08 | 0.78 | 1.00 | 0.37 | −0.38 | −0.87 | −0.87 | −0.08 | 305.40 | |||
| Numerical | 2nd | 0.07 | 0.85 | 0.96 | 0.39 | −0.39 | −0.96 | −0.85 | −0.07 | 311.24 | |||
| Num./Exp. | 0.97 | 1.09 | 0.96 | 1.05 | 1.03 | 1.10 | 0.98 | 0.96 | 1.02 | 5.69 | 1.02 | ||
| Experimental | 3rd | 0.12 | 0.93 | 0.42 | −0.77 | −0.69 | 0.39 | 1.00 | 0.12 | 600.30 | |||
| Numerical | 3rd | 0.11 | 0.98 | 0.40 | −0.73 | −0.73 | 0.40 | 0.98 | 0.11 | 594.19 | |||
| Num./Exp. | 0.91 | 1.05 | 0.95 | 0.95 | 1.06 | 1.03 | 0.98 | 0.92 | 0.98 | 5.99 | 0.99 | ||
| Steel Beam Specimen | Normalized Displacement/Maximum Num. Flat Web without Stiffener | Frequency (Hz) | Normalized Frequency/Num. Flat Web without Stiffener | ||||||
|---|---|---|---|---|---|---|---|---|---|
| 1st | 2nd | 3rd | 1st | 2nd | 3rd | 1st | 2nd | 3rd | |
| Flat web without stiffeners | 1.00 | 1.00 | 1.00 | 100.99 | 322.18 | 662.18 | 1.00 | 1.00 | 1.00 |
| Tra-150 × 80 × 6 × 45° | 0.92 | 0.89 | 0.87 | 91.91 | 301.28 | 611.80 | 0.91 | 0.94 | 0.92 |
| Tra-200 × 80 × 6 × 45° | 0.92 | 0.90 | 0.88 | 93.00 | 304.19 | 619.00 | 0.92 | 0.94 | 0.93 |
| Tra-250 × 80 × 6 × 45° | 0.99 | 0.98 | 0.93 | 97.82 | 320.54 | 644.76 | 0.97 | 0.99 | 0.97 |
| Tra-200 × 80 × 4 × 45° | 1.03 | 1.00 | 0.97 | 98.81 | 319.67 | 651.69 | 0.98 | 0.99 | 0.98 |
| Tra-200 × 80 × 5 × 45° | 0.98 | 0.95 | 0.92 | 95.59 | 311.03 | 632.79 | 0.95 | 0.97 | 0.96 |
| Tra-200 × 40 × 6 × 45° | 0.98 | 1.00 | 0.97 | 98.52 | 314.88 | 640.28 | 0.98 | 0.98 | 0.97 |
| Tra-200 × 60 × 6 × 45° | 0.93 | 0.95 | 0.94 | 93.07 | 305.08 | 620.41 | 0.92 | 0.95 | 0.94 |
| Rec-150 × 80 × 6 × 90° | 0.84 | 0.59 | 0.85 | 86.67 | 285.54 | 601.25 | 0.86 | 0.89 | 0.91 |
| Rec-200 × 80 × 6 × 90° | 0.89 | 0.68 | 0.87 | 91.85 | 303.42 | 617.04 | 0.91 | 0.94 | 0.93 |
| Rec-250 × 80 × 6 × 90° | 0.93 | 0.90 | 0.92 | 95.70 | 309.92 | 641.83 | 0.95 | 0.96 | 0.97 |
| Rec-200 × 80 × 4 × 90° | 0.98 | 0.88 | 0.94 | 98.30 | 312.54 | 639.18 | 0.97 | 0.97 | 0.97 |
| Rec-200 × 80 × 5 × 90° | 0.94 | 0.77 | 0.92 | 95.71 | 309.90 | 629.71 | 0.95 | 0.96 | 0.95 |
| Rec-200 × 40 × 6 × 90° | 0.98 | 0.95 | 0.94 | 97.87 | 311.46 | 646.45 | 0.97 | 0.97 | 0.98 |
| Rec-200 × 60 × 6 × 90° | 0.95 | 0.86 | 0.93 | 93.88 | 304.57 | 630.25 | 0.93 | 0.95 | 0.95 |
| Tri-0 × 40 × 6 × 45° | 0.94 | 0.95 | 0.96 | 95.67 | 307.77 | 619.51 | 0.95 | 0.96 | 0.94 |
| Tri-0 × 60 × 6 × 45° | 0.91 | 0.86 | 0.94 | 90.48 | 296.55 | 599.67 | 0.90 | 0.92 | 0.91 |
| Tri-0 × 80 × 6 × 45° | 0.87 | 0.79 | 0.87 | 89.01 | 287.88 | 590.65 | 0.88 | 0.89 | 0.89 |
| Tri-0 × 80 × 4 × 45° | 0.99 | 0.98 | 1.00 | 94.95 | 310.69 | 626.98 | 0.94 | 0.96 | 0.95 |
| Tri-0 × 80 × 5 × 45° | 0.93 | 0.88 | 0.94 | 90.62 | 297.18 | 600.70 | 0.90 | 0.92 | 0.91 |
| Tri-0 × 80 × 6 × 30° | 0.94 | 0.96 | 0.92 | 91.61 | 300.58 | 608.42 | 0.91 | 0.93 | 0.92 |
| Tri-0 × 80 × 6 × 60° | 0.87 | 0.60 | 0.74 | 79.05 | 259.87 | 526.00 | 0.78 | 0.81 | 0.79 |
Publisher’s Note: MDPI stays neutral with regard to jurisdictional claims in published maps and institutional affiliations. |
© 2022 by the authors. Licensee MDPI, Basel, Switzerland. This article is an open access article distributed under the terms and conditions of the Creative Commons Attribution (CC BY) license (https://creativecommons.org/licenses/by/4.0/).
Share and Cite
Sayed, A.M.; Elaraki, Y.G.; Elalaoui, O. Experimental and Numerical Analysis of Steel Beams’ Efficiency with Different Shapes of Corrugated Webs under Free Vibrations. Metals 2022, 12, 938. https://doi.org/10.3390/met12060938
Sayed AM, Elaraki YG, Elalaoui O. Experimental and Numerical Analysis of Steel Beams’ Efficiency with Different Shapes of Corrugated Webs under Free Vibrations. Metals. 2022; 12(6):938. https://doi.org/10.3390/met12060938
Chicago/Turabian StyleSayed, Ahmed Mohamed, Yassir G. Elaraki, and Oussama Elalaoui. 2022. "Experimental and Numerical Analysis of Steel Beams’ Efficiency with Different Shapes of Corrugated Webs under Free Vibrations" Metals 12, no. 6: 938. https://doi.org/10.3390/met12060938
APA StyleSayed, A. M., Elaraki, Y. G., & Elalaoui, O. (2022). Experimental and Numerical Analysis of Steel Beams’ Efficiency with Different Shapes of Corrugated Webs under Free Vibrations. Metals, 12(6), 938. https://doi.org/10.3390/met12060938

