Effect of Stiffener Strength on the Failure Mode of Stiffened Plate under Confined Explosion: Experimental Studies
Abstract
:1. Introduction
2. Experimental Setup
2.1. Confined Cabin Explosion
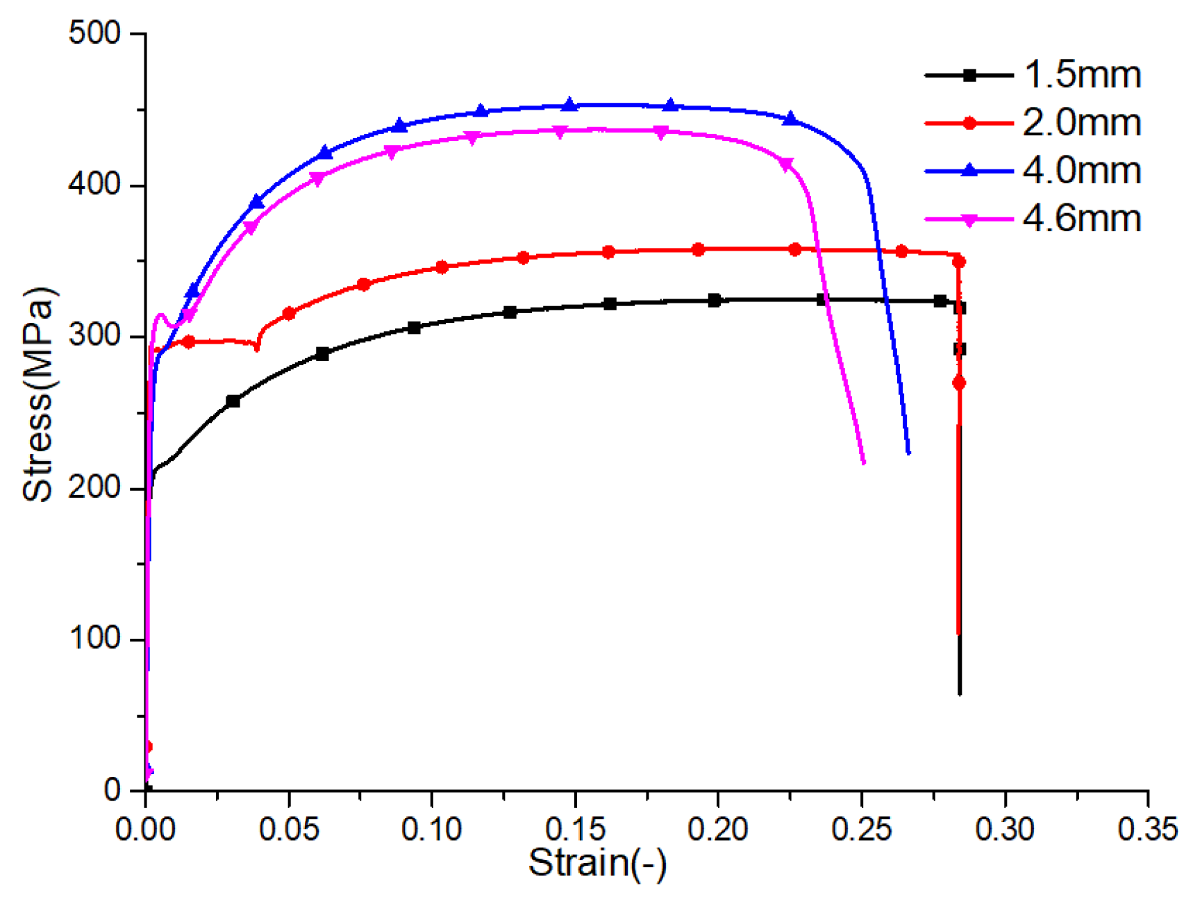
2.2. Stiffened Plate and Material Property
3. Experimental Results
3.1. Shock Wave Pressure
3.2. Failure Modes of Stiffened Plates
4. Discussion
4.1. Effect of Stiffener Restriction
4.2. Effect of Scaled Distance
4.3. Effect of Stiffener Thickness
4.4. Effect of Stiffener Height
4.5. Effect of Plate Thickness
4.6. Relative Strength Factor
5. Conclusions
Author Contributions
Funding
Data Availability Statement
Acknowledgments
Conflicts of Interest
References
- Chung, K.Y.S.; Nurick, G.; Langdon, G.; Iyer, Y. Deformation of thin plates subjected to impulsive load: Part III—an update 25 years on. Int. J. Impact Eng. 2017, 107, 108–117. [Google Scholar] [CrossRef]
- McDonald, B.; Bornstein, H.; Langdon, G.; Curry, R.; Daliri, A.; Orifici, A. Experimental response of high strength steels to localised blast loading. Int. J. Impact Eng. 2018, 115, 106–119. [Google Scholar] [CrossRef]
- Cloete, T.; Nurick, G.; Palmer, R. The deformation and shear failure of peripherally clamped centrally supported blast loaded circular plates. Int. J. Impact Eng. 2005, 32, 92–117. [Google Scholar] [CrossRef]
- Patrice, L.; Anne-Gaëlle, G.; Bruno, L.; Lebléc, B.; Dragond, A. Ship structure steel plate failure under near-feld air-blast loading: Numerical simulations vs experiment. Int. J. Impact Eng. 2013, 62, 88–98. [Google Scholar]
- Wierzbicki, T. Petalling of plates under explosive and impact loading. Int. J. Impact Eng. 1999, 22, 935–954. [Google Scholar] [CrossRef]
- Zhao, X.; Tiwari, V.; Sutton, M.A.; Deng, X.; Fourney, W.L.; Leiste, U. Scaling of the deformation histories for clamped circular plates subjected to blast loading by buried charges. Int. J. Impact Eng. 2013, 54, 31–50. [Google Scholar] [CrossRef]
- Yao, S.; Zhang, D.; Lu, F. Dimensionless numbers for dynamic response analysis of clamped square plates subjected to blast loading. Arch. Appl. Mech. 2015, 85, 735–744. [Google Scholar] [CrossRef]
- Jacob, N.; Nurick, G.; Langdon, G. The effect of stand-off distance on the failure of fully clamped circular mild steel plates subjected to blast loads. Eng. Struct. 2007, 29, 2723–2736. [Google Scholar] [CrossRef]
- Teeling-Smith, R.; Nurick, G. The deformation and tearing of thin circular plates subjected to impulsive loads. Int. J. Impact Eng. 1991, 11, 77–91. [Google Scholar] [CrossRef]
- Nurick, G.; Shave, G. The deformation and tearing of thin square plates subjected to impulsive loads—An experimental study. Int. J. Impact Eng. 1996, 18, 99–116. [Google Scholar] [CrossRef]
- Nurick, G.; Olson, M.; Fagnan, J.; Levin, A. Deformation and tearing of blast-loaded stiffened square plates. Int. J. Impact Eng. 1995, 16, 273–291. [Google Scholar] [CrossRef]
- Gupta, N.K.; Kumar, P.; Hegde, S. On deformation and tearing of stiffened and unstiffened square plates subjected to under-water explosion—A numerical study. Int. J. Mech. Sci. 2010, 52, 733–744. [Google Scholar] [CrossRef]
- Yuen, S.C.K.; Nurick, G. Experimental and numerical studies on the response of quadrangular stiffened plates. Part I: Subjected to uniform blast load. Int. J. Impact Eng. 2005, 31, 55–83. [Google Scholar] [CrossRef]
- Langdon, G.; Yuen, S.K.; Nurick, G. Experimental and numerical studies on the response of quadrangular stiffened plates. Part II: Localised blast loading. Int. J. Impact Eng. 2005, 31, 85–111. [Google Scholar] [CrossRef]
- Bonorchis, D.; Nurick, G. The analysis and simulation of welded stiffener plates subjected to localised blast loading. Int. J. Impact Eng. 2010, 37, 260–273. [Google Scholar] [CrossRef]
- Edri, I.; Savir, Z.; Feldgun, V.; Karinski, Y.; Yankelevsky, D. On Blast Pressure Analysis Due to a Partially Confined Explosion: I. Experimental Studies. Int. J. Prot. Struct. 2011, 2, 1–20. [Google Scholar] [CrossRef]
- Krauthammer, T. Modern Protective Structures; CRC Press: Boca Raton, FL, USA, 2008. [Google Scholar] [CrossRef]
- Baker, W.E.; Cox, P.A.; Westine, P.S.; Kulesz, J.J.; Strehlow, R.A. Explosion Hazards and Evaluation; Elsevier: Amsterdam, The Netherlands, 1983. [Google Scholar]
- Bangash, M.Y.H.; Bangash, T. Explosion-Resistant Buildings; Springer: Berlin/Heidelberg, Germany, 2006. [Google Scholar]
- Salvado, F.C.; Tavares, A.J.; Teixeira-DiasbJoão, F.; Cardosoad, B. Confined explosions: The effect of compartment geometry. J. Loss Prev. Process Ind. 2017, 48, 126–144. [Google Scholar] [CrossRef] [Green Version]
- Hou, H.L.; Zhu, X.; Li, W.; Mei, Z.-Y. Experimental studies on characteristics of blast loading when exploded inside ship cabin. J. Ship Mech. 2010, 14, 901–907. (In Chinese) [Google Scholar]
- Geretto, C.; Yuen, S.C.K.; Nurick, G. An experimental study of the effects of degrees of confinement on the response of square mild steel plates subjected to blast loading. Int. J. Impact Eng. 2015, 79, 32–44. [Google Scholar] [CrossRef]
- Yao, S.; Zhang, D.; Lu, F. Dimensionless number for dynamic response analysis of box-shaped structures under internal blast loading. Int. J. Impact Eng. 2016, 98, 13–18. [Google Scholar] [CrossRef]
- Yao, S.; Zhang, D.; Lu, F.; Chen, X.; Zhao, P. A combined experimental and numerical investigation on the scaling laws for steel box structures subjected to internal blast loading. Int. J. Impact Eng. 2017, 102, 36–46. [Google Scholar] [CrossRef]
- Yao, S.; Zhang, D.; Lu, F.; Li, X. Experimental and numerical studies on the failure modes of steel cabin structure subjected to internal blast loading. Int. J. Impact Eng. 2017, 110, 279–287. [Google Scholar] [CrossRef]
- Yao, S.; Zhang, D.; Lu, Z.; Lin, Y.; Lu, F. Experimental and numerical investigation on the dynamic response of steel chamber under internal blast. Eng. Struct. 2018, 168, 877–888. [Google Scholar] [CrossRef]
- Li, X.; Yin, J.; Zhao, P.; Zhang, L.; Xu, Y.; Wang, Q.; Zhang, P. The effect of stand-off distance on damage to clamped square steel plates under enclosed explosion. Structures 2020, 25, 965–978. [Google Scholar] [CrossRef]
- Li, Y.; Zhang, L.; Xiao, D.; Zhao, T.; Du, Z.; Wu, W.; Fang, D. Experiment and numerical study on dynamic response of liquid cabin under internal blast loading. Thin-Walled Struct. 2019, 145, 106405. [Google Scholar] [CrossRef]
- Zhao, N.; Yao, S.; Zhang, D.; Lu, F.; Sun, C. Experimental and numerical studies on the dynamic response of stiffened plates under confined blast loads. Thin-Walled Struct. 2020, 154, 106839. [Google Scholar] [CrossRef]
- Zheng, C.; Kong, X.-S.; Wu, W.-G.; Xu, S.-X.; Guan, Z.-W. Experimental and numerical studies on the dynamic response of steel plates subjected to confined blast loading. Int. J. Impact Eng. 2018, 113, 144–160. [Google Scholar] [CrossRef]
- ASTM E8-04; Standard methods of tension testing of metallic materials. ASTM (American Society for Testing and Materials): West Conshohocken, PA, USA, 2009.
- Villavicencio, R.; Soares, C.G. Impact response of rectangular and square stiffened plates supported on two opposite edges. Thin-Walled Struct. 2013, 68, 164–182. [Google Scholar] [CrossRef]
- Jones, N. Influence of in-plane displacements at the boundaries of rigid-plastic beams and plates. Int. J. Mech. Sci. 1973, 15, 547–561. [Google Scholar] [CrossRef]
- Villavicencio, R.; Soares, C.G. Numerical modelling of the boundary conditions on beams stuck transversely by a mass. Int. J. Impact Eng. 2011, 38, 384–396. [Google Scholar] [CrossRef]
- Hallquist, J.O. LS-DYNA Theory Manual; Livermore Software Technology Corporation: Livermore, CA, USA, 2010. [Google Scholar]
- Josef, H. The Dynamics of Explosion and Its Use; Elsevier Scientifc Publishing Company: New York, NY, USA, 1979. [Google Scholar]

























| Test No. | Plate Thickness T/mm | Stiffener Height h1/mm | Stiffener Thickness h2/mm | Stand-Off Distance D/mm | TNT Mass m/g |
|---|---|---|---|---|---|
| 1 | 1.92 | 20 | 1.90 | 200 | 110 |
| 2 | 2.02 | 40 | 7.80 | 200 | 110 |
| 3 | 2.02 | 40 | 1.88 | 200 | 110 |
| 4 | 1.88 | 20 | 7.70 | 200 | 110 |
| 5 | 1.98 | 50 | 7.70 | 200 | 110 |
| 6 | 2.00 | 50 | 4.65 | 200 | 110 |
| 7 | 2.00 | 50 | 4.00 | 320 | 110 |
| 8 | 1.50 | 50 | 4.00 | 320 | 110 |
| 9 | 3.40 | 20 | 2.00 | 320 | 200 |
| Property | Units | 1.5 mm | 2 mm | 4.0 mm | 4.65 mm |
|---|---|---|---|---|---|
| Density | Kg/m3 | 7800 | 7800 | 7800 | 7800 |
| Young’s modulus | GPa | 205 | 205 | 205 | 205 |
| Poisson’s ratio | - | 0.32 | 0.32 | 0.32 | 0.32 |
| Yield stress | MPa | 210 | 280 | 280 | 305 |
| Ultimate tensile stress | MPa | 325 | 358 | 453 | 437 |
| Fracture strain | - | 0.28 | 0.28 | 0.26 | 0.25 |
| Plate Case | Plate Thickness T/mm | Stiffener Height h1/mm | Stiffener Thickness h2/mm | Stand-Off Distance D/mm | TNT Mass M/g |
|---|---|---|---|---|---|
| Test No. 3 | 2.02 | 40 | 1.88 | 200 | 110 |
| Specimen No. 7 | 2.30 | 40 | 2.30 | 400 | 110 |
| B | n | T | h | t | K | Mode | |
|---|---|---|---|---|---|---|---|
| Specimen 26 | 800 | 2 | 4.8 | 30 | 3.7 | 0.54 | Ia |
| Specimen 9 | 800 | 2 | 3.7 | 30 | 2.7 | 0.67 | Ia |
| Specimen 28 | 800 | 2 | 4.8 | 30 | 4.8 | 0.70 | Ia |
| Specimen 30 | 800 | 3 | 4.8 | 30 | 3.7 | 0.72 | Ia |
| Specimen 2 | 800 | 2 | 1.8 | 20 | 1.8 | 0.83 | Ia |
| Specimen 11 | 800 | 3 | 3.7 | 30 | 2.7 | 0.89 | Ia |
| Specimen 27 | 800 | 2 | 4.8 | 40 | 3.7 | 0.96 | Ia |
| Specimen 3 | 800 | 2 | 1.8 | 20 | 2.3 | 1.06 | Ia |
| Specimen 23 | 800 | 2 | 2.7 | 30 | 2.3 | 1.06 | Ia |
| Specimen 10 | 800 | 2 | 3.7 | 40 | 2.7 | 1.18 | Ia |
| Specimen 29 | 800 | 2 | 4.8 | 40 | 4.8 | 1.25 | Ia |
| Specimen 4 | 800 | 2 | 1.8 | 25 | 1.8 | 1.30 | Ia |
| Specimen 14 | 800 | 2 | 2.3 | 30 | 2.3 | 1.47 | Ia |
| Specimen 19 | 800 | 2 | 2.3 | 30 | 2.3 | 1.47 | Ia |
| Simulation SP1 | 800 | 2 | 3.5 | 25 | 8 | 1.53 | Ia |
| Specimen 12 | 800 | 3 | 3.7 | 40 | 2.7 | 1.58 | Ia |
| Specimen 5 | 800 | 2 | 1.8 | 25 | 2.3 | 1.66 | Ia |
| Specimen 24 | 800 | 2 | 2.7 | 40 | 2.3 | 1.89 | Ia |
| Specimen 16 | 800 | 3 | 2.3 | 30 | 2.3 | 1.96 | Ia |
| Specimen 21 | 800 | 3 | 2.3 | 30 | 2.3 | 1.96 | Ia |
| Test 1 | 320 | 3 | 1.92 | 20 | 1.9 | 2.58 | Ia |
| Specimen 15 | 800 | 2 | 2.3 | 40 | 2.3 | 2.61 | Ia |
| Specimen 20 | 800 | 2 | 2.3 | 40 | 2.3 | 2.61 | Ia |
| Specimen 7 | 800 | 3 | 2.3 | 40 | 2.3 | 3.48 | Ia |
| Specimen 17 | 800 | 3 | 2.3 | 40 | 2.3 | 3.48 | Ia |
| Simulation SP2 | 800 | 2 | 3 | 50 | 8 | 8.33 | Ia |
| Test 3 | 320 | 3 | 2.02 | 40 | 1.88 | 9.21 | Ia |
| Test 4 | 320 | 3 | 1.88 | 20 | 7.7 | 10.89 | Ia |
| Simulation SP3 | 800 | 2 | 2.5 | 75 | 8 | 27.00 | Ib |
| Test 7 | 320 | 3 | 2 | 50 | 4 | 31.25 | Ib |
| Test 6 | 320 | 3 | 2 | 50 | 4.65 | 36.33 | Ib |
| Test 2 | 320 | 3 | 2.02 | 40 | 7.8 | 38.23 | Ib |
| Test 8 | 320 | 3 | 1.5 | 50 | 4 | 55.56 | Ib |
| Test 5 | 320 | 3 | 1.98 | 50 | 7.7 | 61.38 | Ib |
Publisher’s Note: MDPI stays neutral with regard to jurisdictional claims in published maps and institutional affiliations. |
© 2022 by the authors. Licensee MDPI, Basel, Switzerland. This article is an open access article distributed under the terms and conditions of the Creative Commons Attribution (CC BY) license (https://creativecommons.org/licenses/by/4.0/).
Share and Cite
Xu, W.; Chen, P.; Li, M.; Mao, L.; Hou, H. Effect of Stiffener Strength on the Failure Mode of Stiffened Plate under Confined Explosion: Experimental Studies. Metals 2022, 12, 859. https://doi.org/10.3390/met12050859
Xu W, Chen P, Li M, Mao L, Hou H. Effect of Stiffener Strength on the Failure Mode of Stiffened Plate under Confined Explosion: Experimental Studies. Metals. 2022; 12(5):859. https://doi.org/10.3390/met12050859
Chicago/Turabian StyleXu, Wei, Pengyu Chen, Mao Li, Liuwei Mao, and Hailiang Hou. 2022. "Effect of Stiffener Strength on the Failure Mode of Stiffened Plate under Confined Explosion: Experimental Studies" Metals 12, no. 5: 859. https://doi.org/10.3390/met12050859
APA StyleXu, W., Chen, P., Li, M., Mao, L., & Hou, H. (2022). Effect of Stiffener Strength on the Failure Mode of Stiffened Plate under Confined Explosion: Experimental Studies. Metals, 12(5), 859. https://doi.org/10.3390/met12050859

