Fatigue Crack Initiation and Propagation Relation of Notched Specimens with Welded Joint Characteristics
Abstract
:1. Introduction
2. Remarks on Fatigue Life Assessment of Welded Joints
3. Experimental Data
3.1. Specimens
3.2. Specimen Characterisation
3.3. Specimen Preparation
3.4. Test Procedure
3.5. Crack Detection
3.6. Statistical Evaluation of Fatigue Test Results
- endurable nominal stress at the knee point ,
- number of cycles at the knee point ,
- slope of the S–N curve in the high cycle fatigue regime ,
- slope of the S–N curve in the very high cycle regime .
4. Calculations
4.1. Stress Calculations
4.2. Fatigue Crack Growth Calculations
5. Results
5.1. Assessment of Fatigue Test Results
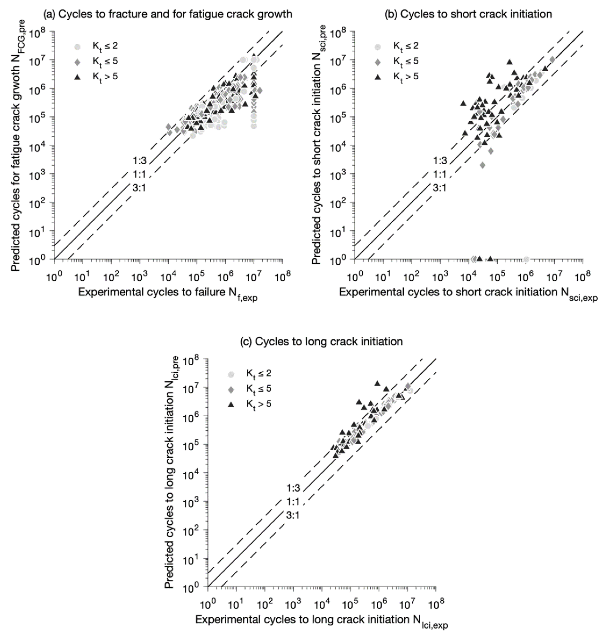
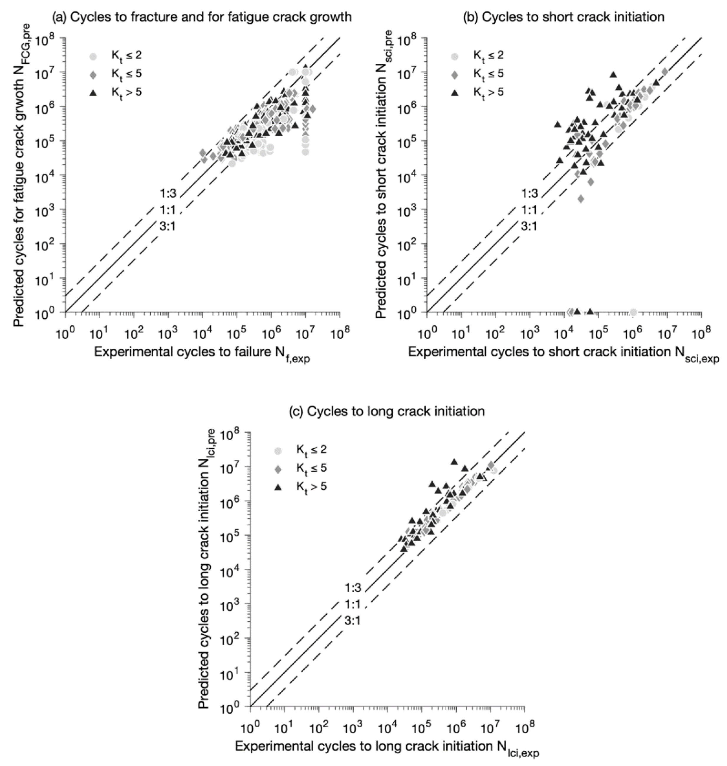
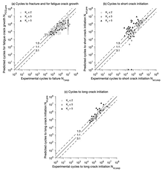
5.2. Comparison of Fatigue Test Results and Fatigue Life Estimates Based on FCG Calculations
5.3. Statistical Assessment of Influencing Factors
- shape parameters of the S–N curve and ,
- geometric properties of the specimens and and
- stress concentration factor
- The highest correlation (marked by “1” in Figure 15) between two variables is observed between the stress concentration factors and the mean slope exponents determined by bootstrapping ( and ). In addition, moderate correlations are determined between the mean slope exponents and the notch radius ( and ), as well as an opening angle ( and ), marked by “2” and “3”, respectively.
- Unsurprisingly, moderate to strong correlations are also observed for the relation between stress concentration factors, and either the notch radius ( and ) or the opening angle ( and ), marked by “4” and “5”, respectively.
- The reason for the higher Spearman-type correlations for the aforementioned parameters is expected to be related to their non-linear interaction, which is expected to be better assessed using a non-linear type of correlation coefficient.
- While there is a Pearson correlation (marked by “6”) between the mean and scatter of the slope exponents (), there is no such correlation according to Spearman’s rank correlation. Assessing the results, it is found that the strong Pearson correlation is related to one outlier. This supports the assumption that a Pearson correlation coefficient is more prone to outliers.
- Additionally, a moderate correlation is observed between the means of the knee points and the means of the slope exponents ( and ) and a fairly strong correlation between the standard deviations of both variables ( and ), marked by “7” and “8”, respectively. The second correlation is thought to be systematically related to the general increase in scattering in the fatigue test results with decreasing notch acuity.
6. Discussion
- Series 13: material S355J2+N, base metal, notch opening angle
- Series 5 and 6: material S355J2+N, HAZ, notch opening angle and , respectively.
- Series 10 and 11: material S690QL, HAZ, notch opening angle and , respectively.
- Series 24: material S355MC, HAZ, unnotched specimens,
7. Conclusions
- The fracture mechanics approach allows for a reasonable prediction of the total fatigue life. In most cases, 77% of the specimens analyzed, this approach leads to conservative estimates of fatigue lives. For the rest of the 23% of the specimens, the fatigue life is overestimated by a maximum factor of 3. The assumption of an initial semi-elliptical crack with the depth of mm and the length of mm appeared to be a good compromise for all 26 test series. In the fracture mechanics calculations, plasticity deformations at the notch root need to be taken into account. This was achieved in this study by applying a plasticity correction to the stress intensity factors, based on the FAD approach. Non-conservative results and relatively large data scatter observed for some of the test series are believed to be partly attributed to assumptions related to fatigue crack growth curves and inaccuracies resulting from their smooth curve fitting. Additional inaccuracies may result from a simplified analysis approach assuming a single crack initiation site in the middle of the specimen thickness, thus ignoring possibilities of multiple crack initiation or crack initiation at the specimen edge. Both latter scenarios would result in a shorter fatigue life as compared to the model adopted in this study.
- For sharply notched specimens, the initiation phase is negligible and the total fatigue life is dominated by fatigue crack propagation. Therefore, the back-calculation of the fatigue crack initiation phase, , is subject to large errors. In contrast, such estimates of are shown to be rather accurate for mild notches.
- The bootstrapping of the S–N data is a suitable statistical method to identify the accuracy of the evaluated S–N parameters and to determine statistically validated estimates for the slope and the knee point of the S–N curves.
- Depending on the chosen correlation coefficient type, a moderate to almost strong correlation between applied notch stress range with the ratio between experimental cycles to short or long crack initiation . and cycles to fracture were determined, Figure 11. In addition, the assessment supports the general understanding that the crack initiation portion dominates in the high-cycle fatigue regime, whereas the crack propagation stage dominates in the medium- and low-cycle fatigue regime, see Radaj et al. [1] and Murakami [5].
- Using artificially notched specimens and statistical methods, it was shown that the slope but not the knee point . of the S–N curves correlate to the notch acuity, the latter being defined by the notch radius and the notch opening angle, or the stress concentration factor.
Author Contributions
Funding
Data Availability Statement
Acknowledgments
Conflicts of Interest
Nomenclature
| Symbol | Unit | Description |
| mm | Depth of a through-thickness (long) crack | |
| mm | Depth of a semi-elliptical (short) crack | |
| mm | Half-length of a semi-elliptical (short) crack | |
| - | Material parameters in crack growth equation | |
| - | Coefficient of variation | |
| d | mm | Notch depth |
| f | Hz | Test frequency |
| - | Plasticity correction factor | |
| - | Nominal stress ratio correction factor | |
| - | Vickers hardness | |
| - | Slope of the S–N curve at | |
| - | Slope of the S–N curve at | |
| - | Mean and standard deviation of the slope of the S–N curve in the high cycle fatigue regime () obtained from bootstrapping | |
| , | Maximum and minimum stress intensity factor, and stress intensity factor range including plasticity correction | |
| Maximum and minimum stress intensity factor, and stress intensity factor range | ||
| - | Stress concentration factor | |
| - | Plasticity parameter and its range | |
| Cycle | Cycles spend in crack propagation | |
| Cycle | Maximum number of cycles for which a test is considered a runout | |
| Cycle | Cycles to fracture and experimental cycles to fracture | |
| Cycle | Cycles to short crack initiation, respective experimental and predicted values | |
| Cycle | Cycles to long crack initiation, respective experimental and predicted values | |
| Cycle | Cycles at the knee point | |
| - | Probability of survival | |
| mm | Radius of notch | |
| - | Nominal stress ratio | |
| - | Stress intensity ratio related to and | |
| MPa | Material ultimate strength and yield strength | |
| mm | Stress ratio of local stresses | |
| - | Correlation coefficient, Pearson’s correlation coefficient, and Spearman’s rank correlation coefficient | |
| mm | Specimen thickness | |
| - | Scatter ratio in stress direction | |
| mm | Distance from the notch root in crack growth direction | |
| mm | Specimen width | |
| MPa | Threshold of the crack intensity factor range | |
| MPa | Nominal stress range at the knee point | |
| MPa | Nominal stress range | |
| MPa | Stress range at the notch | |
| MPa | Maximum principal stress | |
| ° | Notch opening angle |
Abbreviations
| BM | Base material |
| HAZ | Heat affected zone |
| WM | Weld metal |
Appendix A
| Test Series | ||||||||
|---|---|---|---|---|---|---|---|---|
| Maximum Likelihood Evaluation with Original Data | Maximum Likelihood Evaluation from Bootstrapping (Mean Values) | |||||||
| 1 | 3.11 | 91.7 | 501 | 1.11 | 3.12 | 92.0 | 504 | 1.10 |
| 2 | 5.32 | 165.2 | 1122 | 1.36 | 4.79 | 175.3 | 1032 | 1.30 |
| 4 | 4.03 | 160.9 | 501 | 1.06 | 4.03 | 161.0 | 503 | 1.05 |
| 5 | 3.29 | 93.3 | 1000 | 1.23 | 3.02 | 96.5 | 875 | 1.18 |
| 6 | 4.54 | 149.0 | 1000 | 1.14 | 4.57 | 147.5 | 1197 | 1.12 |
| 7 | 3.91 | 227.1 | 316 | 1.18 | 3.80 | 221.4 | 445 | 1.16 |
| 8 | 4.54 | 155.7 | 794 | 1.08 | 4.41 | 159.4 | 720 | 1.06 |
| 10 | 3.79 | 77.1 | 891 | 1.16 | 3.74 | 74.2 | 1267 | 1.14 |
| 11 | 3.28 | 130.3 | 398 | 1.35 | 3.22 | 127.4 | 716 | 1.31 |
| 13 | 3.78 | 121.7 | 794 | 1.08 | 3.67 | 129.8 | 664 | 1.06 |
| 14 | 3.49 | 502.7 | 251 | 1.24 | 3.15 | 505.3 | 233 | 1.22 |
| 15 | 3.83 | 110.3 | 1413 | 1.10 | 4.02 | 109.0 | 1753 | 1.09 |
| 16 | 1.14 | 454.9 | 200 | 1.23 | 2.48 | 453.5 | 233 | 1.20 |
| 17 | 3.43 | 153.1 | 501 | 1.13 | 3.55 | 150.3 | 611 | 1.11 |
| 18 | 3.24 | 109.7 | 3981 | 1.22 | 3.02 | 120.7 | 2985 | 1.18 |
| 19 | 4.78 | 193.2 | 2239 | 1.09 | 4.75 | 192.0 | 2429 | 1.08 |
| 20 | 4.99 | 155.7 | 3981 | 1.05 | 4.95 | 158.0 | 3704 | 1.05 |
| 21 | 5.33 | 199.6 | 3162 | 1.08 | 5.28 | 200.1 | 3120 | 1.07 |
| 22 | 3.80 | 254.3 | 708 | 1.10 | 4.00 | 251.9 | 891 | 1.07 |
| 23 | 2.94 | 181.5 | 1259 | 1.14 | 3.12 | 179.1 | 1909 | 1.11 |
| 24 | 5.79 | 339.6 | 8913 | 1.34 | 5.74 | 352.8 | 7816 | 1.27 |
| 25 | 7.98 | 249.0 | 3981 | 1.15 | 6.71 | 261.6 | 2646 | 1.11 |
| 26 | 1.74 | 179.7 | 398 | 1.21 | 3.16 | 173.4 | 1025 | 1.16 |
| 27 | 5.00 | 548.8 | 116 | 1.29 | 8.05 | 520.7 | 1883 | 1.16 |
| 28 | 6.37 | 251.3 | 10,000 | 1.41 | 5.15 | 284.3 | 7385 | 1.31 |
| 29 | 3.92 | 332.6 | 282 | 1.36 | 6.18 | 302.9 | 4879 | 1.25 |
References
- Radaj, D.; Sonsino, C.M.; Fricke, W. Fatigue Assessment of Welded Joints by Local Approaches, 2nd ed.; Woodhead Publishing: Cambridge, UK, 2006. [Google Scholar]
- Zerbst, U.; Madia, M.; Schork, B.; Hensel, J.; Kucharczyk, P.; Ngoula, D.; Tchuindjang, D.; Bernhard, J.; Beckmann, C. Fatigue and Fracture of Weldments; Springer: Berlin/Heidelberg, Germany, 2019. [Google Scholar] [CrossRef]
- Baumgartner, J.; Waterkotte, R. Crack initiation and propagation analysis at welds—Assessing the total fatigue life of complex structures. Mater. Werkst. 2015, 46, 123–135. [Google Scholar] [CrossRef]
- Fischer, C.; Fricke, W. Effect of the stress distribution in simple welded specimens and complex components on the crack propagation life. Int. J. Fatigue 2016, 92, 488–498. [Google Scholar] [CrossRef]
- Murakami, Y. Metal Fatigue: Effects of Small Defects and Nonmetallic Inclusions, 2nd ed.; Academic Press: Cambridge, MA, USA, 2019. [Google Scholar] [CrossRef]
- Mann, T.; Tveiten, B.W.; Härkegård, G. Fatigue crack growth analysis of welded aluminium RHS T-joints with manipulated residual stress level. Fatigue Fract. Eng. Mater. Struct. 2006, 29, 113–122. [Google Scholar] [CrossRef]
- Remes, H. Strain-Based Approach to Fatigue Strength Assessment of Laser-Welded Joints; Helsinki Univercity of Technolgy: Espoo, Finland, 2008. [Google Scholar]
- Song, W.; Liu, X.; Xu, J.; Fan, Y.; Shi, D.; He, M.; Wang, X.; Berto, F. Fatigue fracture assessment of 10CrNi3MoV welded load-carrying cruciform joints considering mismatch effect. Fatigue Fract. Eng. Mater. Struct. 2021, 44, 1739–1759. [Google Scholar] [CrossRef]
- Toyosada, M.; Gotoh, K.; Niwa, T. Fatigue life assessment for welded structures without initial defects: An algorithm for predicting fatigue crack growth from a sound site. Int. J. Fatigue 2004, 26, 993–1002. [Google Scholar] [CrossRef]
- Fricke, W.; Gao, L.Y.; Paetzold, H. Fatigue assessment of local stresses at fillet welds around plate corner. Int. J. Fatigue 2017, 101, 169–176. [Google Scholar] [CrossRef]
- Barsoum, Z.; Jonsson, B. Fatigue Assessment and LEFM Analysis of Cruciform Joints Fabricated with Different Welding Processes. Weld. World 2008, 52, 93–105. [Google Scholar] [CrossRef]
- Chapetti, M.D.; Steimbreger, C. A simple fracture mechanics estimation of the fatigue endurance of welded joints. Int. J. Fatigue 2019, 125, 23–34. [Google Scholar] [CrossRef]
- Zong, L.; Shi, G.; Wang, Y.-Q.; Li, Z.-X.; Ding, Y. Experimental and numerical investigation on fatigue performance of non-load-carrying fillet welded joints. J. Constr. Steel Res. 2017, 130, 193–201. [Google Scholar] [CrossRef]
- Liu, Y.; Tsang, K.S.; Hoh, H.J.; Shi, X.; Pang, J.H.L. Structural fatigue investigation of transverse surface crack growth in rail steels and thermite welds subjected to in-plane and out-of-plane loading. Eng. Struct. 2020, 204, 110076. [Google Scholar] [CrossRef]
- Braun, M.; Fischer, C.; Baumgartner, J.; Hecht, M.; Varfolomeev, I. Zum Verhältnis von Rissinitiierung und -ausbreitung an gekerbten Proben mit Schweißnahtcharakteristik. In Proceedings of the 54. Tagung Bruchmechanische Werkstoff und Bauteilbewertung: Beanspruchungsanalyse, Prüfmethoden und Anwendungen, Berlin, Germany, 23 February 2022. [Google Scholar]
- Hobbacher, A.F. Recommendations for Fatigue Design of Welded Joints and Components, 2nd ed.; Springer International Publishing: Cham, Switzerland, 2016. [Google Scholar] [CrossRef]
- DNV GL AS. DNVGL-RP-C203: Recommended Practice for Fatigue Design of Offshore Steel Structures; DNV GL AS: Høvik, Norway, 2016. [Google Scholar]
- EN 1993-1-9:2005; Eurocode 3: Design of Steel Structures—Part 1–9: Fatigue. European Committee for Standardization: Brussels, Belgium, 2005.
- Forschungskuratorium Maschinenbau (FKM). Analytical Strength Assessment of Components: FKM Guideline, 6th ed.; VDMA: Frankfurt, Germany, 2012. [Google Scholar]
- Baumgartner, J. Review and considerations on the fatigue assessment of welded joints using reference radii. Int. J. Fatigue 2017, 101, 459–468. [Google Scholar] [CrossRef]
- BS 7608:2014+A1:2015; Guide to Fatigue Design and Assessment of Steel Products. British Standards Institution BSI: London, UK, 2014.
- American Welding Society. AWS D1.1:2010 Structural Welding Code—Steel; American Welding Society: Miami, FL, USA, 2010. [Google Scholar]
- Japanse Society of Steel Construction. Fatigue Design Recommendations for Steel Structures; Japanese Society of Steel Construction: Tokyo, Japan, 1995. [Google Scholar]
- Renken, F.; von Bock und Polach, R.U.F.; Schubnell, J.; Jung, M.; Oswald, M.; Rother, K.; Ehlers, S.; Braun, M. An algorithm for statistical evaluation of weld toe geometries using laser triangulation. Int. J. Fatigue 2021, 149, 106293. [Google Scholar] [CrossRef]
- Haibach, E. Betriebsfestigkeit: Verfahren und Daten zur Bauteilauslegung, 3rd ed.; Springer: Berlin/Heidelberg, Germany; New York, NY, USA, 2006. [Google Scholar]
- Socie, D.F.; Marquis, G.B. Multiaxial Fatigue; SAE International: Warrendale, PA, USA, 1999. [Google Scholar]
- Fiedler, M.; Wächter, M.; Varfolomeev, I.; Vormwald, M.; Esderts, A. Rechnerischer Festigkeitsnachweis unter Expliziter Erfassung Nichtlinearen Werkstoffverformungsverhaltens für Bauteile aus Stahl, Stahlguss und Aluminiumknetlegierungen; VDMA Verlag: Frankfurt, Germany, 2019. [Google Scholar]
- BS 7910:2019; Guide to Methods for Assessing the Acceptability of Flaws in Metallic Structures. British Standards Institution: London, UK, 2019.
- Bowness, D.; Lee, M.M.K. Fracture Mechanics Assessment of Fatigue Cracks in Offshore Tubular Structures; Offshore Technology Report 2000/077; Health and Safety Executive: Bootle, UK, 2002. [Google Scholar]
- Forman, R.; Shivakumar, V.; Mettu, S.; Newman, J. Fatigue crack growth computer program NASGRO version 3.0. In Reference Manual, NASA JSC-22267B; NASA: Washington, DC, USA, 2000. [Google Scholar]
- Paris, P.C.; Bucci, R.J.; Wessel, E.T.; Clark, W.G.; Mager, T.R. Extensive Study of Low Fatigue Crack Growth Rates in A533 and A508 Steels. In Stress Analysis and Growth of Cracks. Proceedings of the 1971 National Symposium on Fracture Mechanics: Part 1; ASTM International: West Conshohocken, PA, USA, 1972; Volume 513, pp. 141–176. [Google Scholar] [CrossRef]
- Dowling, N.; Begley, J. Fatigue crack growth during gross plasticity and the J-integral. In Mechanics of Crack Growth; ASTM International: West Conshohocken, PA, USA, 1976. [Google Scholar]
- Wüthrich, C. The extension of the J-integral concept to fatigue cracks. Int. J. Fract. 1982, 20, R35–R37. [Google Scholar] [CrossRef]
- McClung, R.C.; Chell, G.G.; Lee, Y.D.; Russel, D.A.; Orient, G.E. Development of a Practical Methodology for Elastic-Plastic and Fully Plastic Fatigue Crack Growth; ASTM International: West Conshohocken, PA, USA; Marshall Space Flight Center: Huntsville, AL, USA, 1999. [Google Scholar]
- Zerbst, U.; Madia, M.; Hellmann, D. An analytical fracture mechanics model for estimation of S–N curves of metallic alloys containing large second phase particles. Eng. Fract. Mech. 2012, 82, 115–134. [Google Scholar] [CrossRef]
- British Energy Generation Limited. R6, Assessment of the Integrity of Structures Containing Defects, Revision 4; British Energy Generation Limited: London, UK, 2001. [Google Scholar]
- Fischer, C.; Fricke, W.; Rizzo, C.M. Fatigue tests of notched specimens made from butt joints at steel. Fatigue Fract. Eng. Mater. Struct. 2016, 39, 1526–1541. [Google Scholar] [CrossRef]
- Baumgartner, J. Schwingfestigkeit von Schweißverbindungen unter Berücksichtigung von Schweißeigenspannungen und Größeneinflüssen; Fraunhofer Verlag: Stuttgart, Germany, 2014. [Google Scholar]
- ISO 6507-1:2005; Metallic Materials—Vickers Hardness Test—Part 1: Test Method. International Standards Organization: Geneva, Switzerland, 2005.
- Störzel, K.; Baumgartner, J. Statistical evaluation of fatigue tests using maximum likelihood. Mater. Test. 2021, 63, 714–720. [Google Scholar] [CrossRef]
- Sonsino, C. Course of SN-curves especially in the high-cycle fatigue regime with regard to component design and safety. Int. J. Fatigue 2007, 29, 2246–2258. [Google Scholar] [CrossRef]
- Spindel, J.E.; Haibach, E. The method of maximum likelihood applied to the statistical analysis of fatigue data. Int. J. Fatigue 1979, 1, 81–88. [Google Scholar] [CrossRef]
- Braun, M.; Müller, A.M.; Milaković, A.-S.; Fricke, W.; Ehlers, S. Requirements for stress gradient-based fatigue assessment of notched structures according to theory of critical distance. Fatigue Fract. Eng. Mater. Struct. 2020, 43, 1541–1554. [Google Scholar] [CrossRef]
- Zerbst, U. Analytische bruchmechanische Ermittlung der Schwingfestigkeit von Schweißverbindungen (IBESS-A3); Bundesanstalt für Materialforschung und-Prüfung (BAM): Berlin, Germany, 2016. [Google Scholar]
- Wang, X.; Lambert, S.B. Stress intensity factors for low aspect ratio semi-elliptical surface cracks in finite-thickness plates subjected to nonuniform stresses. Eng. Fract. Mech. 1995, 51, 517–532. [Google Scholar] [CrossRef]
- Sattari-Far, I.; Dillström, P. Local limit load solutions for surface cracks in plates and cylinders using finite element analysis. Int. J. Press. Vessel. Pip. 2004, 81, 57–66. [Google Scholar] [CrossRef]
- Fett, T.; Munz, D. Stress Intensity Factors and Weight Functions for One-Dimensional Cracks; Kernforschungszentrum Karlsruhe: Karlsruhe, Germany, 1994. [Google Scholar]
- Willoughby, A.A.; Davey, T.G. Plastic Collapse in Part-Wall Flaws in Plates. In Fracture Mechanics: Perspectives and Directions (Twentieth Symposium); Wei, R.P., Gangloff, R.P., Eds.; ASTM International: West Conshohocken, PA, USA, 1989; Volume ASTM. [Google Scholar] [CrossRef]
- Pavlina, E.J.; Van Tyne, C.J. Correlation of Yield Strength and Tensile Strength with Hardness for Steels. J. Mater. Eng. Perform. 2008, 17, 888–893. [Google Scholar] [CrossRef]
- Caruso, J.C.; Cliff, N. Empirical Size, Coverage, and Power of Confidence Intervals for Spearman’s Rho. Educ. Psychol. Meas. 1997, 57, 637–654. [Google Scholar] [CrossRef]
- Hück, M.; Thrainer, L.; Schütz, W. Berechnung von Wöhlerlinien für Bauteile aus Stahl, Stahlguß und Grauguß: Synthetische Wöhlerlinien, 3rd ed.; Stahleisen: Düsseldorf, Germany, 1983. [Google Scholar]















| Steel Type | Opening Angle [°] | Notch Radius
[mm] | Notch Depth
[mm] | Stress Concentration Factor [-] | Width in Crack Growth Direc-tion [mm] | Thickness
[mm] | Number of Notches | Nominal Stress Ratio R | Series Number | |
|---|---|---|---|---|---|---|---|---|---|---|
| S235JR + N | HAZ | 0 | 0.15 | 3 | 8.33 | 9.5 | 20 | 1 | −1 | 1 |
| HAZ | 135 | 0.15 | 3 | 5.64 | 9.5 | 20 | 1 | −1 | 2 | |
| S355MC | HAZ | 15 | 0.05 | 5 | 12.3 | 8 | 8 | 2 | 0 | 23 |
| HAZ | 135 | 0.05 | 5 | 6.55 | 8 | 8 | 2 | 0 | 22 | |
| HAZ | 180 | ∞1 | 5 | ~1 | 8 | 8 | – | 0 | 24 | |
| S355J2 + N | HAZ | 0 | 0.15 | 3 | 8.33 | 9.5 | 20 | 1 | −1 | 5 |
| HAZ | 135 | 0.15 | 3 | 5.64 | 9.5 | 20 | 1 | −1 | 6 | |
| HAZ | 135 | 0.5 | 3 | 3.82 | 9.5 | 20 | 1 | −1 | 7 | |
| WM | 135 | 0.15 | 3 | 5.64 | 9.5 | 20 | 1 | −1 | 8 | |
| S690QL1 | HAZ | 0 | 0.15 | 3 | 8.33 | 9.5 | 20 | 1 | −1 | 10 |
| HAZ | 135 | 0.15 | 3 | 5.64 | 9.5 | 20 | 1 | −1 | 11 | |
| WM | 160 | 10 | 10 | 1.44 | 10 | 15 | 2 | −1 | 16 | |
| WM | 0 | 0.15 | 3 | 8.33 | 9.5 | 15 | 1 | −1 | 17 | |
| S960QL | HAZ | 15 | 0.05 | 5 | 12.3 | 8 | 8 | 2 | 0 | 26 |
| HAZ | 15 | 0.5 | 5 | 4.08 | 8 | 8 | 2 | 0 | 25 | |
| HAZ | 135 | 0.05 | 5 | 6.55 | 8 | 8 | 2 | 0 | 29 | |
| HAZ | 135 | 0.5 | 5 | 3.10 | 8 | 8 | 2 | 0 | 28 | |
| HAZ | 180 | ∞ 1 | 5 | ~1 | 8 | 8 | – | 0 | 27 |
| Steel Type | Open-ing Angle [°] | Notch Radius
[mm] | Notch Depth
[mm] | Stress Con-centration Factor [-] | Width in Crack Growth Direction [mm] | Thickness [mm] | Number of Notches | Nominal Stress Ratio R | Series Name |
|---|---|---|---|---|---|---|---|---|---|
| S355J2 + N | 135 | 0.15 | 3 | 5.64 | 9.5 | 20 | 1 | −1 | 4 |
| 0 | 0.15 | 3 | 8.33 | 9.5 | 20 | 1 | −1 | 13 | |
| QStE380TM | 15 | 0.05 | 5 | 12.3 | 8 | 8 | 2 | 0 | 18 |
| 15 | 0.5 | 5 | 4.08 | 8 | 8 | 2 | 0 | 20 | |
| 135 | 0.05 | 5 | 6.55 | 8 | 8 | 2 | 0 | 19 | |
| 135 | 0.5 | 5 | 3.10 | 8 | 8 | 2 | 0 | 21 | |
| S690QL1 | 0 | 0.15 | 3 | 8.33 | 9.5 | 15 | 1 | −1 | 15 |
| 160 | 10 | 10 | 1.44 | 10 | 15 | 2 | −1 | 14 |
Publisher’s Note: MDPI stays neutral with regard to jurisdictional claims in published maps and institutional affiliations. |
© 2022 by the authors. Licensee MDPI, Basel, Switzerland. This article is an open access article distributed under the terms and conditions of the Creative Commons Attribution (CC BY) license (https://creativecommons.org/licenses/by/4.0/).
Share and Cite
Braun, M.; Fischer, C.; Baumgartner, J.; Hecht, M.; Varfolomeev, I. Fatigue Crack Initiation and Propagation Relation of Notched Specimens with Welded Joint Characteristics. Metals 2022, 12, 615. https://doi.org/10.3390/met12040615
Braun M, Fischer C, Baumgartner J, Hecht M, Varfolomeev I. Fatigue Crack Initiation and Propagation Relation of Notched Specimens with Welded Joint Characteristics. Metals. 2022; 12(4):615. https://doi.org/10.3390/met12040615
Chicago/Turabian StyleBraun, Moritz, Claas Fischer, Jörg Baumgartner, Matthias Hecht, and Igor Varfolomeev. 2022. "Fatigue Crack Initiation and Propagation Relation of Notched Specimens with Welded Joint Characteristics" Metals 12, no. 4: 615. https://doi.org/10.3390/met12040615
APA StyleBraun, M., Fischer, C., Baumgartner, J., Hecht, M., & Varfolomeev, I. (2022). Fatigue Crack Initiation and Propagation Relation of Notched Specimens with Welded Joint Characteristics. Metals, 12(4), 615. https://doi.org/10.3390/met12040615

