Study on the Effect of Microstructure Gradients Caused by Heat Gradients on Hydrogen Embrittlement Sensitivity in Heavy Forgings
Abstract
:1. Introduction
2. Research Methods
2.1. Finite Element Simulation of Heat Treatment Temperature Gradient Characteristics of Heavy Forgings
2.2. Preparation and Characterization of Samples
2.3. Evaluation of Hydrogen Embrittlement Sensitivity
3. Results and Discussion
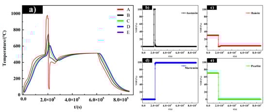
3.1. Temperature Field Gradient Characteristics of Heavy Forgings
3.2. Results of Hydrogen Embrittlement Sensitivity
3.3. Discussion
4. Conclusions and Outlook
- (1)
- The thermophysical parameters of heavy forgings are obtained through experiments, and the temperature field distribution of heavy forgings is obtained by the finite element method. Guided by the temperature field distribution, the physical simulation experiment is completed, and a group of samples which conform to the radial distribution of heavy forging microstructure are obtained.
- (2)
- The results of electrochemical hydrogen charging and SSRT show that the martensite hardening layer on the edge of large parts has the highest hydrogen embrittlement sensitivity, while the fine pearlite and bainite nearby have much better resistance to hydrogen embrittlement.
- (3)
- Microstructure and EBSD orientation show that the hydrogen embrittlement sensitivity distribution is the result of the combined action of various microstructural features. Different microstructures and grain sizes together affect the hydrogen embrittlement sensitivity of materials.
Author Contributions
Funding
Data Availability Statement
Conflicts of Interest
References
- Artola, G.; Aldazabal, J. Hydrogen Assisted Fracture of 30MnB5 High Strength Steel: A Case Study. Metals 2020, 10, 1613. [Google Scholar] [CrossRef]
- Castens, M.; Hoja, S.; Surm, H.; Hoffmann, F.; Fechte-Heinen, R.; Steinbacher, M. Hydrogen Absorption during Case Hardening of Steels EN20MnCr5 (SAE5120) and EN18CrNiMo7-6 (SAE4820). Metals 2022, 12, 6. [Google Scholar] [CrossRef]
- Fan, J.K.; Chen, H.T.; Zhao, W.; Yan, L. Study on Flake Formation Behavior and Its Influence Factors in Cr5 Steel. Materials 2018, 11, 690. [Google Scholar] [CrossRef] [PubMed] [Green Version]
- Jiang, J.J.; Lin, Z.Y.; Feng, M.L.; Meng, X.-Q.; Cai, X.-J.; Liu, F. Experimental study on temperature influence to fracture toughness of Cr5 cold roll steel. Forg. Stamp. Technol. 2012, 37, 135–139. [Google Scholar]
- Michler, T.; Naumann, J. Microstructural aspects upon hydrogen environment embrittlement of various bcc steels. Int. J. Hydrogen Energy. 2010, 35, 821–832. [Google Scholar] [CrossRef]
- Bechtle, S.; Kumar, M.; Somerday, B.P.; Launey, M.E.; Ritchie, R.O. Grain-boundary engineering markedly reduces susceptibility to intergranular hydrogen embrittlement in metallic materials. Acta Mater. 2009, 57, 4148–4157. [Google Scholar] [CrossRef] [Green Version]
- Ji, S.K.; You, H.L.; Lee, D.L.; Park, K.T.; Chong, S.L. Microstructural influences on hydrogen delayed fracture of high strength steels. Mater. Sci. Eng. A 2009, 505, 105–110. [Google Scholar]
- Kimura, Y.; Takagi, S.; Hara, T.; Terasaki, S.; Tsuzaki, K. Hydrogen-induced delayed fracture of a martensitic steel with fine prior-austenite grain size. J. Phys. IV 2003, 112, 403–406. [Google Scholar] [CrossRef]
- Jeffrey, V.; Zhou, Q.J.; Liu, Q.L.; Li, H.X.; Zhang, M.X.; Matthew, D.; Andrel, A. The influence of microstructure on the hydrogen embrittlement susceptibility of martensitic advanced high strength steels. Mater. Today Commun. 2018, 17, 1–14. [Google Scholar]
- Cong, Z.; Murata, Y. Dislocation Density of Lath Martensite in 10Cr-5W Heat-Resistant Steels. Mater. Trans. 2011, 52, 2151–2154. [Google Scholar] [CrossRef] [Green Version]
- Bollinger, A.; Murakami, T.; Findley, K.; Emmanuel, D.M.; Speer, J. The Influence of Microstructural Variations on Hydrogen Absorbance and Tensile Properties at Elevated Hydrogen Levels for TRIP-Aided Bainitic Ferrite Steels. Corrosion 2018, 75, 888–897. [Google Scholar] [CrossRef]
- Martin, M.L.; Fenske, J.A.; Liu, G.S.; Sofronis, P.; Robertson, I.M. On the formation and nature of quasi-cleavage fracture surfaces in hydrogen embrittled steels. Acta Mater. 2011, 59, 1601–1606. [Google Scholar] [CrossRef]
- Hejazi, D.; Haq, A.J.; Yazdipour, N.; Dunne, D.P.; Calka, A.; Barbaro, F.; Pereloma, E.V. Effect of manganese content and microstructure on the susceptibility of X70 pipeline steel to hydrogen cracking. Mater. Sci. Eng. A 2012, 551, 40–49. [Google Scholar] [CrossRef] [Green Version]
- Marchi, C.S.; Ronevich, J.A.; Sabisch, J.E.C.; Sugar, J.D.; Somerday, B.P. Effect of microstructural and environmental variables on ductility of austenitic stainless steels. Int. J. Hydrog. Energy 2021, 46, 12338–12347. [Google Scholar] [CrossRef]
- Hughes, L.A.; Somerday, B.P.; Balch, D.K.; Marchi, C.S. Hydrogen compatibility of austenitic stainless steel tubing and orbital tube welds. Int. J. Hydrog. Energy 2014, 39, 20585–20590. [Google Scholar] [CrossRef]
- Toribio, J.; Vergara, D.; Lorenzo, M. Hydrogen effects in multiaxial fracture of cold-drawn pearlitic steel wires. Eng. Fract. Mech. 2017, 174, 243–252. [Google Scholar] [CrossRef]
- Toribio, J.; Vergara, D. Role of microstructural anisotropy in the hydrogen-assisted fracture of pearlitic steel notched bars. Int. J. Fract. 2013, 182, 149–156. [Google Scholar] [CrossRef]
- Duan, H.Q.; Han, Y.F.; Lv, W.J.; Mao, J.W.; Wang, L.Q.; Zhang, D. Effect of solid carburization on surface microstructure and hardness of Ti-6Al-4V alloy and (TiB+La2O3)/Ti-6Al-4V composite. Trans. Nonferrous Met. Soc. 2016, 26, 1871–1877. [Google Scholar] [CrossRef]
- Skubisz, P.; Lisiecki, L. Warm-forging characteristics and microstructural response of medium-carbon high-strength steels for high-duty components. Key Eng. Mater. 2014, 611, 167–172. [Google Scholar] [CrossRef]
- Roumina, R.; Emburry, J.D.; Bouaziz, O.; Zurob, H.S. Mechanical behavior of a compositionally graded 300M steel. Mater. Sci. Eng. A 2013, 578, 140–149. [Google Scholar] [CrossRef]
- Skubisz, P.; Sinczak, J. Properties of direct-quenched aircraft forged component made of ultrahigh-strength steel 300M. Aircr. Eng. Aerosp. Tec. 2018, 90, 713–719. [Google Scholar] [CrossRef]
- Hoseiny, H.; Klement, U.; Sotskovszki, P. Comparison of the microstructures in continuous-cooled and quench-tempered pre-hardened mould steels. Mater. Des. 2011, 32, 21–28. [Google Scholar] [CrossRef]
- Luo, J.; Li, M.Q.; Liu, Y.G.; Sun, H.M. The deformation behavior in isothermal compression of 300M ultrahigh-strength steel. Mater. Sci. Eng. A 2012, 534, 314–322. [Google Scholar] [CrossRef]
- Zhu, X.; Zhang, K.; Li, W.; Jin, X.J. Effect of retained austenite stability and morphology on the hydrogen embrittlement susceptibility in quenching and partitioning treated steels. Mater. Sci. Eng. A 2016, 658, 400–408. [Google Scholar] [CrossRef]
- Pola, A.; Vecchia, G.M.L.; Zola, F. Computer simulation of the heat treatment process applied to a forged shaft. Metall. Ital. 2010, 102, 5–11. [Google Scholar]
- Zhang, J.; Cui, Z.S. Investigation for measuring heat transfer coefficient on contact surface of hot forgings. J. Plast. Eng. 2015, 22, 32–39. [Google Scholar]
- Yang, X.; Sun, F.; Li, Q.; Zhu, R.; Liu, Z.; Du, C.; Li, X. Effect of Hydrogen Charging on the Stress Corrosion Cracking Behavior of X70 Steel in Simulated Deep Seawater Environment. Metals 2022, 12, 334. [Google Scholar] [CrossRef]
- Toribio, J.; Vergara, D.; Lorenzo, M. Influence of Loading Rate on the Hydrogen-Assisted Micro-Damage in Bluntly Notched Samples of Pearlitic Steel. Metals 2016, 6, 11. [Google Scholar] [CrossRef] [Green Version]
- Wang, M.Q.; Akiyamaa, E.J.; Tsuzakia, K. Crosshead speed dependence of the notch tensile strength of a high strength steel in the presence of hydrogen. Scr. Mater. 2005, 53, 713–718. [Google Scholar] [CrossRef]
- Gao, X.Z.; Yue, F.L.; Xu, B.; He, X. Quality control of local loading forming for a large aviation aluminum alloy forging. Forg. Stamp. Technol. 2017, 42, 1–5. [Google Scholar]
- Chen, Y.S.; Lu, H.; Liang, J.; Rosenthal, A.; Liu, H.; Sneddon, G.; Mccarroll, I.; Zhao, Z.; Li, W.; Guo, A. Observation of hydrogen trapping at dislocations, grain boundaries and precipitates. Science 2020, 367, 171–175. [Google Scholar] [CrossRef]
- Wan, K.K.; Koh, S.U.; Yang, B.Y.; Kim, K.Y. Effect of environmental and metallurgical factors on hydrogen induced cracking of HSLA steels. Corros. Sci. 2018, 50, 3336–3342. [Google Scholar]
- Chen, S.; Zhao, M.; Rong, L. Effect of grain size on the hydrogen embrittlement sensitivity of a precipitation strengthened Fe-Ni based alloy. Mater. Sci. Eng. A 2014, 594, 98–102. [Google Scholar] [CrossRef]
- Bai, Y.; Momotani, Y.; Chen, M.C.; Shibata, A.; Tsuji, N. Effect of grain refinement on hydrogen embrittlement behaviors of high-Mn TWIP steel. Mater. Sci. Eng. A 2016, 651, 935–944. [Google Scholar] [CrossRef] [Green Version]
- Park, I.J.; Lee, S.M.; Jeon, H.H.; Lee, Y.K. The advantage of grain refinement in the hydrogen embrittlement of Fe-18Mn-0.6C twinning-induced plasticity steel. Corros. Sci. 2015, 93, 63–69. [Google Scholar] [CrossRef]
- Tsay, L.W.; Lu, H.L.; Chen, C. The effect of grain size and aging on hydrogen embrittlement of a maraging steel. Corros. Sci. 2008, 50, 2506–2511. [Google Scholar] [CrossRef]
- Mine, Y.; Horita, N.; Horita, Z.; Takashima, K. Effect of ultrafine grain refinement on hydrogen embrittlement of metastable austenitic stainless steel. Int. J. Hydrog. Energy 2017, 42, 15415–15425. [Google Scholar] [CrossRef]


















| Elements | C | Si | Mn | Cr | Mo | V | Fe |
|---|---|---|---|---|---|---|---|
| Contents (wt%) | 0.56 | 0.46 | 0.69 | 5.12 | 0.47 | 0.14 | Balance |
| Temperature (K) | Coefficient of Linear Expansion (10−6/K) | Specific Heat Capacity (J/g·K) | Elastic Modulus (GPa) | Shear Modulus (GPa) | Thermal Conductivity (W/m·K) | Density (Kg/m3) |
|---|---|---|---|---|---|---|
| 300 | 14.6 | 0.528 | 189 | 73.5 | 41.67 | 7763 |
| 400 | 14.1 | 0.599 | 184 | 70.6 | 37.62 | 7745 |
| 500 | 15 | 0.698 | 172 | 66.6 | 34.17 | 7718 |
| 600 | 14.9 | 0.805 | 139 | - | 31.38 | 7691 |
| 700 | 14.9 | 0.993 | 93.3 | - | 29.45 | 7664 |
| 800 | 15.4 | 0.945 | 81.3 | - | 26.86 | - |
| 900 | 30.2 | 0.734 | 41.7 | - | - | - |
| 1000 | 26.2 | 0.747 | 29.9 | - | - | - |
| 1100 | 24.1 | 0.587 | 17.4 | - | - | - |
| - | A | B | C | D | E |
|---|---|---|---|---|---|
| Non-hydrogen charging (%) | 23.38 | 26.91 | 29.61 | 27.75 | 27.74 |
| Hydrogen charging (%) | 9.03 | 17.58 | 13.74 | 15.80 | 15.81 |
| - | A | B | C | D | E |
|---|---|---|---|---|---|
| Non-hydrogen charging (%) | 17.77 | 14.69 | 10 | 14.52 | 16.88 |
| Hydrogen charging (%) | 1.08 | 6.03 | 1.27 | 3.89 | 4.82 |
| - | A | B | C | D | E |
|---|---|---|---|---|---|
| (%) | 93.9 | 58.95 | 87.3 | 73.2 | 71.44 |
| (%) | 61.38 | 34.67 | 53.60 | 43.06 | 43.01 |
Publisher’s Note: MDPI stays neutral with regard to jurisdictional claims in published maps and institutional affiliations. |
© 2022 by the authors. Licensee MDPI, Basel, Switzerland. This article is an open access article distributed under the terms and conditions of the Creative Commons Attribution (CC BY) license (https://creativecommons.org/licenses/by/4.0/).
Share and Cite
Li, L.; Liu, J.; Wang, Y.; Zhang, G.; Du, F. Study on the Effect of Microstructure Gradients Caused by Heat Gradients on Hydrogen Embrittlement Sensitivity in Heavy Forgings. Metals 2022, 12, 610. https://doi.org/10.3390/met12040610
Li L, Liu J, Wang Y, Zhang G, Du F. Study on the Effect of Microstructure Gradients Caused by Heat Gradients on Hydrogen Embrittlement Sensitivity in Heavy Forgings. Metals. 2022; 12(4):610. https://doi.org/10.3390/met12040610
Chicago/Turabian StyleLi, Lingxiao, Jiyan Liu, Yuhao Wang, Guozhu Zhang, and Fengshan Du. 2022. "Study on the Effect of Microstructure Gradients Caused by Heat Gradients on Hydrogen Embrittlement Sensitivity in Heavy Forgings" Metals 12, no. 4: 610. https://doi.org/10.3390/met12040610
APA StyleLi, L., Liu, J., Wang, Y., Zhang, G., & Du, F. (2022). Study on the Effect of Microstructure Gradients Caused by Heat Gradients on Hydrogen Embrittlement Sensitivity in Heavy Forgings. Metals, 12(4), 610. https://doi.org/10.3390/met12040610

