Understanding Uncertainty in Microstructure Evolution and Constitutive Properties in Additive Process Modeling
Abstract
:1. Introduction
2. Background
3. Materials and Methods
3.1. Workflow Description
3.2. CA Model Description
3.3. CA Data Analysis
3.4. Crystal Plasticity Model
4. Results
4.1. Baseline Uncertainty in CA Microstructures
4.2. CA Predictions with Varied Mean Substrate Grain Diameter
4.3. CA Predictions with Varied Nucleation Density
4.4. ExaConstit Model of Constitutive Properties with Varied Mean Substrate Grain Diameter and Nucleation Density
4.5. CA Predictions Using Extremes in Substrate Initial Conditions
5. Discussion
- Mean grain area () as a function of build height (z) was plotted for fixed nucleation density and substrate, while varying the random number generator seeds used to generate statistically equivalent sets of nucleation and substrate data. The resulting curves slowly became independent of additional layer deposition (i.e., z), with spreads in the steady-state values of 7%–8% from statistical error due to the random number generation processes. The same was true for mean weighted grain area ().
- Statistical error resulting from substrate generation and nucleation data generation appeared to contribute to the spread in predicted and equally. The average of the curves was within 10% of its 65 layer value, and the average of the curves was within 15% of its 65 layer value, after around 500 m of build (or about 23 layers).
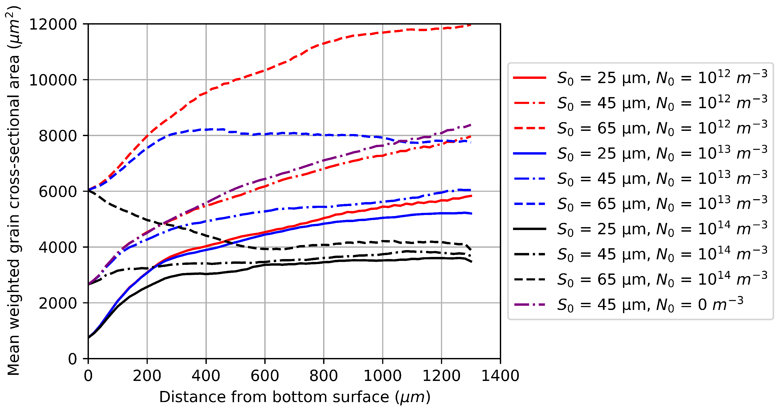
- Examining and curves with ±20 m from the default mean substrate grain diameter = 45 m, it was found that curves with smaller tended to converge more quickly than those at larger , and reach steady-state values more quickly than those at larger . The spread of these curves with > 45 m after 1.2 mm of simulated build remained significant relative to the uncertainty in and due to random number generation alone.
- Steady-state values of as a function of z were much more readily reached at large , regardless of ; at = 1014 m−3, this steady state appeared to be reached after 0.6 mm of simulated microstructure. As was reduced to 1012 m−3, had a much larger impact on the curves, and was still increasing as a function of z after 1.2 mm of simulated microstructure.
- While differences due to and were seen throughout the simulated builds (simulations with smaller and larger tending to have smaller grains and reach the steady state more quickly than those with larger and smaller ), the simulated microstructures were qualitatively similar. The strengths of the 001 and 110 textures, as well as the tall and narrow grain shapes, were similar across all simulations, though it was noted that nucleated grains tended to be more likely than epitaxial grains to have 110 textures.
- Using RVEs from different regions of these simulated microstructures as input to ExaConstit calculations, it was found that similar stress–strain behavior and stress triaxiality distributions resulted from RVEs using various permutations of and , and yield stress values were within ±6% of each other. Only minor differences were noted in macroscopic mechanical responses between RVEs taken from layers 15 through 39 and RVEs taken from layers 40 through 64, despite differences in of up to 3x between the RVEs with the smallest and largest grain areas.
Author Contributions
Funding
Institutional Review Board Statement
Informed Consent Statement
Data Availability Statement
Acknowledgments
Conflicts of Interest
References
- Zhang, W.; Lei, Y.; Meng, W.; Ma, Q.; Yin, X.; Guo, L. Effect of deposition sequence on microstructure and properties of 316L and Inconel 625 bimetallic structure by wire arc additive manufacturing. J. Mater. Eng. Perform. 2021, 30, 8972–8983. [Google Scholar] [CrossRef]
- Calleja-Ochoa, A.; Barrio-Gonzalez, H.; López de Lacalle, N.; Martínez, S.; Albizuri, J.; Lamikiz, A. A new approach in the design of microstructured ultralight components to achieve maximum functional performance. Materials 2021, 14, 1588. [Google Scholar] [CrossRef] [PubMed]
- Collins, P.; Brice, D.; Samimi, P.; Ghamarian, I.; Fraser, H. Microstructural Control of Additively Manufactured Metallic Materials. Annu. Rev. Mater. Res. 2016, 46, 63–91. [Google Scholar] [CrossRef]
- DebRoy, T.; Wei, H.; Zuback, J.; Mukherjee, T.; Elmer, J.; Milewski, J.; Bese, A.M.; Wilson-Heid, A.; De, A.; Zhang, W. Additive manufacturing of metallic components—Process, structure and properties. Prog. Mater. Sci. 2018, 92, 112–224. [Google Scholar] [CrossRef]
- Zhang, X.; Yocom, C.J.; Mao, B.; Liao, Y. Microstructure evolution during selective laser melting of metallic materials: A review. J. Laser Appl. 2019, 31, 031201. [Google Scholar] [CrossRef]
- Oliveira, J.; LaLonde, A.; Ma, J. Processing parameters in laser powder bed fusion metal additive manufacturing. Mater. Des. 2020, 193, 108762. [Google Scholar] [CrossRef]
- Sing, S.; Huang, S.; Goh, G.; Goh, G.; Tey, C.; Tan, J.; Yeong, W. Emerging metallic systems for additive manufacturing: In-situ alloying and multi-metal processing in laser powder bed fusion. Prog. Mater. Sci. 2021, 119, 100795. [Google Scholar] [CrossRef]
- Wan, H.; Zhou, Z.; Li, C.; Chen, G.; Zhang, G. Effect of scanning strategy on grain structure and crystallographic texture of Inconel 718 processed by selective laser melting. J. Mater. Sci. Technol. 2018, 34, 1799–1804. [Google Scholar] [CrossRef]
- Roehling, T.T.; Shi, R.; Khairallah, S.A.; Roehling, J.D.; Guss, G.M.; McKeown, J.T.; Matthews, M.J. Controlling grain nucleation and morphology by laser beam shaping in metal additive manufacturing. Mater. Des. 2020, 195, 109071. [Google Scholar] [CrossRef]
- Lu, Y.; Wu, S.; Gan, Y.; Huang, T.; Yang, C.; Junjie, L.; Lin, J. Study on the microstruture, mechanical property and residual stress of SLM Inconel-718 alloy manufactured by different island scanning strategy. Opt. Laser Technol. 2015, 75, 197–206. [Google Scholar] [CrossRef]
- Raghavan, N.; Simunovic, S.; Dehoff, R.; Plotkowski, A.; Turner, J.; Kirka, M.; Babu, S. Localized melt-scan strategy for site specific control of grain size and primary dendrite arm spacing in electron beam additive manufacturing. Acta Mater. 2017, 140, 375–387. [Google Scholar] [CrossRef]
- Knapp, G.; Raghavan, N.; Plotkowski, A.; DebRoy, T. Experiments and simulations on solidification microstructure for Inconel 718 in powder bed fusion electron beam additive manufacturing. Addit. Manuf. 2019, 25, 511–521. [Google Scholar] [CrossRef]
- Ghayoor, M.; Lee, K.; He, Y.; Chang, C.h.; Paul, B.K.; Pasebani, S. Selective laser melting of 304L stainless steel: Role of volumetric energy density on the microstructure, texture and mechanical properties. Addit. Manuf. 2020, 32, 101011. [Google Scholar] [CrossRef]
- Cheng, M.; Xiao, X.; Luo, G.; Song, L. Integrating control of molten pool technology and solidification texture by adjusting pulse duration in laser additive manufacturing of Inconel 718. Opt. Laser Technol. 2021, 142, 107137. [Google Scholar] [CrossRef]
- Wang, Y.; Chen, X.; Shen, Q.; Su, C.; Zhang, Y.; Jayalakshmi, S.; Singh, R.A. Effect of magnetic field on the microstructure and mechanical properties of inconel 625 superalloy fabricated by wire arc additive manufacturing. J. Manuf. Process. 2021, 64, 10–19. [Google Scholar] [CrossRef]
- Todaro, C.; Easton, M.; Qiu, D.; Zhang, D.; Bermingham, M.; Lui, E.; Brandt, M.; StJohn, D.; Qian, M. Grain structure control during metal 3D printing by high-intensity ultrasound. Nat. Commun. 2020, 11, 142. [Google Scholar] [CrossRef]
- Ma, Q.; Chen, H.; Ren, N.; Zhang, Y.; Hu, L.; Meng, W.; Yin, X. Effects of ultrasonic vibration on microstructure, mechanical properties, and fracture mode of Inconel 625 parts fabricated by cold metal transfer arc additive manufacturing. J. Mater. Eng. Perform. 2021, 30, 6808–6820. [Google Scholar] [CrossRef]
- Pérez-Ruiz, J.D.; Martin, F.; Martínez, S.; Lamikiz, A.; Urbaikain, G.; López de Lacalle, L.N. Stiffening near-net-shape functional parts of Inconel 718 LPBF considering material anisotropy and subsequent machining issues. Mech. Syst. Process. 2022, 168, 108675. [Google Scholar] [CrossRef]
- Köhen, P.; Ewald, S.; Schleifenbaum, J.H.; Belyakov, A.; Haase, C. Controlling microstructure and mechanical properties of additively manufactured high-strength steels by tailored solidification. Addit. Manuf. 2020, 35, 101389. [Google Scholar]
- Bermingham, M.; StJohn, D.; Krynen, J.; Tedman-Jones, S.; Dargusch, M. Promoting the columnar to equiaxed transtion and grain refinement of titanium alloys during additive manufacturing. Acta Mater. 2019, 168, 261–274. [Google Scholar] [CrossRef]
- Tang, Y.T.; Panwisawas, C.; Ghoussoub, J.N.; Gong, Y.; Clark, J.W.; Nemeth, A.A.; McCartney, D.G.; Reed, R.C. Alloys-by-design: Application to new superalloys for additive manufacturing. Acta Mater. 2021, 202, 417–436. [Google Scholar] [CrossRef]
- Turner, J.A.; Belak, J.; Barton, N.; Bement, M.; Carlson, N.; Carson, R.; DeWitt, S.; Fattebert, J.L.; Hodge, N.; Jibben, Z.; et al. ExaAM: Metal additive manufacturing simulation at the fidelity of the microstructure. Int. J. High Perform. Comput. Appl. 2022, 36, 13–39. [Google Scholar] [CrossRef]
- OpenFOAM. 2021. Available online: https://github.com/OpenFOAM (accessed on 7 February 2022).
- Coleman, J.; Plotkowski, A.; Stump, B.; Raghavan, N.; Sabau, A.; Krane, M.; Heigel, J.; Ricker, R.; Levine, L.; Babu, S. Sensitivity of Thermal Predictions to Uncertain Surface Tension Data in Laser Additive Manufacturing. J. Heat Transf. 2020, 142, 122201. [Google Scholar] [CrossRef]
- Rolchigo, M.; Reeve, S.; Stump, J. ExaCA. 2021. Available online: https://github.com/LLNL/ExaCA (accessed on 7 February 2022).
- Carson, R.A.; Wopschall, S.R.; Bramwell, J.A. ExaConstit. 2019. Available online: https://www.osti.gov/doecode/biblio/31691 (accessed on 7 February 2022).
- Basak, A.; Das, S. Epitaxy and Microstructure Evolution in Metal Additive Manufacturing. Annu. Rev. Mater. Res. 2016, 46, 125–149. [Google Scholar] [CrossRef]
- Wang, D.; Song, C.; Yang, Y.; Bai, Y. Investigation of crystal growth mechanism during selectiv laser melting and mechanical property characterization of 316L stainless steel parts. Mater. Des. 2016, 100, 291–299. [Google Scholar] [CrossRef]
- Bai, L.; Le, G.; Liu, X.; Li, J.; Xia, S.; Li, X. Grain morphologies and microstructures of laser melting depositied V-5Cr-5Ti alloys. J. Alloys Compd. 2018, 745, 716–724. [Google Scholar] [CrossRef]
- Wei, H.; Mazumder, J.; DebRoy, T. Evolution of solidification texture during additive manufacturing. Sci. Rep. Nat. 2015, 5, 16446. [Google Scholar] [CrossRef] [Green Version]
- Pham, M.S.; Dovgyy, B.; Hooper, P.A.; Gourlay, C.M.; Piglione, A. The role of side-branching in microstructure development in laser powder-bed fusion. Nat. Commun. 2020, 11, 749. [Google Scholar] [CrossRef]
- Kok, Y.; Tan, X.; Wang, P.; Nai, M.; Loh, N.; Liu, E.; Tor, S. Anisotropy and heterogeneity of microstructure and mechanical properties in metal additive manufacturing: A critical review. Mater. Des. 2018, 139, 565–586. [Google Scholar] [CrossRef]
- Shamsaei, N.; Yadollahi, A.; Bian, L.; Thompson, S.M. An overview of Direct Laser Deposition for additive manufacturing; Part II: Mechanical behavior, process parameter optimization and control. Addit. Manuf. 2015, 8, 12–35. [Google Scholar] [CrossRef]
- Tian, Z.; Zhang, C.; Wang, D.; Liu, W.; Fang, X.; Wellman, D.; Zhao, Y.; Tian, Y. A review on laser powder bed fusion of Inconel 625 nickel-based alloy. Appl. Sci. 2020, 10, 81. [Google Scholar] [CrossRef] [Green Version]
- Li, J.; Zhou, X.; Brochu, M.; Provatas, N.; Zhao, Y.F. Solidification microstructure simulation of Ti-6Al-4V in metal additive manufacturing: A review. Addit. Manuf. 2020, 31, 100989. [Google Scholar] [CrossRef]
- Gatsos, T.; Elsayed, K.A.; Zhai, Y.; Lados, D.A. Review on Computational Modeling of Process-Microstructure-Property Relatonships in Metal Additive Manufacturing. JOM 2020, 72, 403–419. [Google Scholar] [CrossRef]
- Rappaz, M.; Gandin, C.A. Probabilistic modeling of microstructure formation in solidification processes. Acta Metall. Et Mater. 1993, 41, 345–360. [Google Scholar] [CrossRef]
- Gandin, C.A.; Rappaz, M. A coupled finite-element cellular-automaton model for the prediction of dendritic grain structures in solidification processes. Acta Metall. Mater. 1994, 42, 2233–2246. [Google Scholar] [CrossRef]
- Gandin, C.A.; Rappaz, M. A 3D cellular automaton algorithm for the prediction of dendritic grain growth. Acta Mater. 1997, 45, 2187–2195. [Google Scholar] [CrossRef]
- Zinoviev, A.; Zinovieva, O.; Ploshikhin, V.; Romanova, V.; Balokhonov, R. Evolution of grain structure during laser additive manufacturing. Simulation by a cellular automata method. Mater. Des. 2016, 106, 321–329. [Google Scholar] [CrossRef]
- Rai, A.; Markl, M.; Korner, C. A coupled Cellular Automaton-Lattice Boltzmann model for grain structure simulation during additive manufacturing. Comput. Mater. Sci. 2016, 124, 37–48. [Google Scholar] [CrossRef]
- Zinovieva, O.; Zinoviev, A.; Ploshikhin, V. Three-dimensional modeling of the microstructure evolution during metal additive manufacturing. Comput. Mater. Sci. 2018, 141, 207–220. [Google Scholar] [CrossRef]
- Akram, J.; Chalavadi, P.; Pal, D.; Stucker, B. Understanding grain evolution in additive manufacturing through modeling. Addit. Manuf. 2018, 21, 255–268. [Google Scholar] [CrossRef]
- Koepf, J.A.; Goterbarm, M.R.; Markl, M.; Körner, C. 3D multi-layer grain structure simulation of powder bed fusion additive manufacturing. Acta Mater. 2018, 152, 119–126. [Google Scholar] [CrossRef]
- Liu, D.R.; Wang, S.; Yan, W. Grain structure evolution in transition-mode melting in direct energy deposition. Mater. Des. 2020, 194, 108919. [Google Scholar] [CrossRef]
- Wang, Z.; Lin, X.; Kang, N.; Hu, Y.; Chen, J.; Huang, W. Strength-ductility synergy of selective laser melted Al-Mg-Sc-Zr alloy with a heterogenous grain structure. Addit. Manuf. 2020, 34, 101260. [Google Scholar]
- Yang, J.; Yu, H.; Yang, H.; Li, F.; Wang, Z.; Zeng, X. Prediction of microstructure in selective laser melted Ti-6Al-4V alloy by cellular automaton. J. Alloys Compd. 2018, 748, 281–290. [Google Scholar] [CrossRef]
- Li, M.; Li, J.M.; Zheng, Q.; Wang, G.; Zhang, M.X. Effect of solutes on grain refinement of as-cast Fe-4Si alloy. Metall. Mater. Trans. A 2018, 49A, 2235–2247. [Google Scholar] [CrossRef]
- Lian, Y.; Gan, Z.; Yu, C.; Kats, D.; Liu, W.K.; Wagner, G.J. A cellular automaton finite volume method for microstructure evolution during additive manufacturing. Mater. Des. 2019, 169, 107672. [Google Scholar] [CrossRef]
- Mohebbi, M.S.; Ploshikhin, V. Implementation of nucleation in cellular automaton simulation of microstructural evolution during additive manufacturing of Al alloys. Addit. Manuf. 2020, 36, 101726. [Google Scholar] [CrossRef]
- Dezfoli, A.R.A.; Lo, Y.L.; Raza, M.M. Prediction of epitaxial grain growth in single-track laser melting of IN718 using integrated finite element and cellular automaton approach. Materials 2021, 14, 5202. [Google Scholar] [CrossRef]
- Xiong, F.; Huang, C.; Kafka, O.L.; Lian, Y.; Yan, W.; Chen, M.; Fang, D. Grain growth prediction in selective electron beam melting of Ti-6Al-4V with a cellular automaton method. Mater. Des. 2021, 199, 109410. [Google Scholar] [CrossRef]
- Anderson, T.D.; DuPont, J.N.; DebRoy, T. Origin of stray grain formation in single-crystal superalloy weld pools from heat transfer and fluid flow modeling. Acta Mater. 2010, 58, 1441–1454. [Google Scholar] [CrossRef]
- Wang, T.; Zhu, Y.; Zhang, S.; Tang, H.; Wang, H. Grain morphology evolution during behavior of titanium alloy components during laser melting deposition additive manufacturing. J. Alloys Compd. 2015, 632, 505–513. [Google Scholar] [CrossRef]
- Sabau, A.S.; Yuan, L.; Raghavan, N.; Bement, M.; Simunovic, S.; Turner, J.A.; Gupta, V.K. Fluid dynamics effects on microstructure predition in single-laser tracks for additive manuacturing of IN625. Metall. Trans. B 2020, 51, 1263–1281. [Google Scholar] [CrossRef] [Green Version]
- Liu, Y.; Liu, Z.; Jiang, Y.; Wang, G.; Yang, Y.; Zhang, L. Gradient in microstructure and mechanical property of selective laser melted AlSi10Mg. J. Alloys Compd. 2018, 735, 1414–1421. [Google Scholar] [CrossRef]
- Li, Z.; Chen, J.; Sui, S.; Zhong, C.; Lu, X.; Lin, X. The microstructure evolution and tensile properties of Inconel 718 fabricated by high-deposition-rate laser directed energy deposition. Addit. Manuf. 2020, 31, 100941. [Google Scholar] [CrossRef]
- Dinda, G.; Dasgupta, A.; Mazumder, J. Evolution of microstructure in laser depositied Al-11.28%Si alloy. Surf. Coat. Technol. 2012, 206, 2152–2160. [Google Scholar] [CrossRef]
- Al-Bermani, S.S.; Blackmore, M.L.; Zhang, W.; Todd, I. The Origin of Microstructural Diversity, Texture, and Mechanical Properties in Electron Beam Melted Ti-6Al-4V. Metall. Mater. Trans. A-Phys. Metall. Mater. Sci. 2010, 41, 3422–3434. [Google Scholar] [CrossRef]
- Kergassner, A.; Koepf, J.A.; Markl, M.; Korner, C.; Mergheim, J.; Steinmann, P. A novel approach to predict the process-induced mechanical behavior of additively manufactured materials. J. Mater. Eng. Perform. 2021, 30, 5235–5246. [Google Scholar] [CrossRef]
- Lim, H.; Abdeljawad, F.; Owen, S.J.; Hanks, B.W.; Foulk, J.W.; Battaile, C.C. Incorporating physically-based microstructures in materials modeling: Bridging phase field and crystal plasticity frameworks. Model. Simul. Mater. Sci. Eng. 2016, 24, 045016. [Google Scholar] [CrossRef]
- Kergassner, A.; Mergheim, J.; Steinmann, P. Modeling of additively manufactured materials using gradient-enhances crystal plasticity. Comput. Math. Appl. 2019, 78, 2338–2350. [Google Scholar] [CrossRef]
- Romanova, V.; Balokhonov, R.; Zinovieva, O.; Emelianova, E.; Dymnich, E.; Pisarev, M.; Zinoviev, A. Micromechanical simulations of additive manufactured aluminum alloys. Comput. Struct. 2021, 244, 106412. [Google Scholar] [CrossRef]
- Yan, W.; Lian, Y.; Yu, C.; Kafka, O.L.; Liu, Z.; Liu, W.K.; Wagner, G.J. An integrated process-structure-property modeling framework for additive manufacturing. Comput. Methods Appl. Mech. Eng. 2018, 339, 184–204. [Google Scholar] [CrossRef]
- Heo, T.W.; Khairallah, S.A.; Shi, R.; Berry, J.; Perron, A.; Calta, N.P.; Martin, A.A.; Barton, N.A.; Roehling, J.; Roehling, T.; et al. A mesoscopic digital twin that bridges length and time scales for control of additively manufactured metal microstructures. J. Phys. Mater. 2021, 4, 034012. [Google Scholar] [CrossRef]
- Rolchigo, M.; Stump, B.; Belak, J.; Plotkowski, A. Sparse thermal data for cellular automata modeling of grain structure in additive manufacturing. Model. Simul. Mater. Sci. Eng. 2020, 28, 065003. [Google Scholar] [CrossRef]
- Bragard, J.; Karma, A.; Lee, Y. Linking Phase-Field and Atomistic Simulations to Model Dendritic Solidification in Highly Undercooled Melts. Interface Sci. 2002, 10, 121–126. [Google Scholar] [CrossRef]
- Teferra, K.; Rowenhorst, D.J. Optimizing the cellular automata finite element model for additive manufacturing to simulate large microstructures. Acta Mater. 2021, 213, 116930. [Google Scholar] [CrossRef]
- MacKenzie, J. Second paper on statistics associated with the random disorientation of cubes. Biometrika 1958, 45, 229–240. [Google Scholar] [CrossRef]
- Barton, N.R.; Carson, R.A.; Wopschall, S.R. ECMech. 2018. Available online: https://www.osti.gov/doecode/biblio/28720 (accessed on 7 February 2022).
- MFEM: Modular Finite Element Methods Library. Available online: https://www.osti.gov/doecode/biblio/35738 (accessed on 7 February 2022).
- Marin, E.; Dawson, P. On modelling the elasto-viscoplastic response of metals using polycrystal plasticity. Comput. Methods Appl. Mech. Eng. 1998, 165, 1–21. [Google Scholar] [CrossRef]
- Moore, J.A.; Barton, N.R.; Florando, J.; Mulay, R.; Kumar, M. Crystal plasticity modeling of β phase deformation in Ti-6Al-4V. Model. Simul. Mater. Sci. Eng. 2017, 25, 075007. [Google Scholar] [CrossRef]
- Wang, Z.; Stoica, A.D.; Ma, D.; Beese, A.M. Diffraction and single-crystal elastic constants of Inconel 625 at room and elevated temperatures determined by neutron diffraction. Mater. Sci. Eng. A 2016, 674, 406–412. [Google Scholar] [CrossRef] [Green Version]
- Groeber, M.; Schwalbach, E.; Donegan, S.; Uchic, M.; Chapman, M.; Shade, P.; Musinski, W.; Miller, J.; Turner, T.; Sparkman, D.; et al. AFRL AM Modeling Challenge Series: Challenge 3 Data Package. 2018. Available online: https://acdc.alcf.anl.gov/mdf/detail/groebermichael_afrl_am_package_v1.1/ (accessed on 7 February 2022).
- Barlat, F.; Aretz, H.; Yoon, J.; Karabin, M.; Brem, J.; Dick, R. Linear transfomation-based anisotropic yield functions. Int. J. Plast. 2005, 21, 1009–1039. [Google Scholar] [CrossRef]
- Barton, N.R.; Knap, J.; Arsenlis, A.; Becker, R.; Hornung, R.D.; Jefferson, D.R. Embedded polycrystal plasticity and adaptive sampling. Int. J. Plast. 2008, 24, 242–266. [Google Scholar] [CrossRef]
- Knap, J.; Barton, N.R.; Hornung, R.D.; Arsenlis, A.; Becker, R.; Jefferson, D.R. Adaptive sampling in hierarchical simulation. Int. J. Numer. Methods Eng. 2008, 76, 572–600. [Google Scholar] [CrossRef]
- Van Houtte, P.; Yerra, S.K.; Van Bael, A. The Facet method: A hierarchical multilevel modelling scheme for anisotropic convex plastic potentials. Int. J. Plast. 2009, 25, 332–360. [Google Scholar] [CrossRef]
- Segurado, J.; Lebensohn, R.A.; LLorca, J.; Tomé, C.N. Multiscale modeling of plasticity based on embedding the viscoplastic self-consistent formulation in implicit finite elements. Int. J. Plast. 2012, 28, 124–140. [Google Scholar] [CrossRef]
- Gawad, J.; Banabic, D.; Van Bael, A.; Comsa, D.S.; Gologanu, M.; Eyckens, P.; Van Houtte, P.; Roose, D. An evolving plane stress yield criterion based on crystal plasticity virtual experiments. Int. J. Plast. 2015, 75, 141–169. [Google Scholar] [CrossRef]
- Zhang, H.; Diehl, M.; Roters, F.; Raabe, D. A virtual laboratory using high resolution crystal plasticity simulations to determine the initial yield surface for sheet metal forming operations. Int. J. Plast. 2016, 80, 111–138. [Google Scholar] [CrossRef]
- Chu, C.C.; Needleman, A. Void Nucleation Effects in Biaxially Stretched Sheets. J. Eng. Mater. Technol. 1980, 102, 249–256. [Google Scholar] [CrossRef]
















| Parameter | Value |
|---|---|
| Laser efficiency | 31% |
| Laser power | 195 W |
| Laser depth | 4.899 × 10−5 m |
| Laser radius (Gaussian beam shape) | 1.041 × 10−4 m |
| Laser velocity | 0.8 m/s |
| Laser passes per layer | 16 |
| Laser line offset | 100 m |
| Liquidus temperature | 1620 K |
| Solidus temperature | 1410 K |
| Thermal expansion coefficient for liquid | 1.25 × 10−4 K−1 |
| Dendrite arm spacing for drag force | 1 m |
| Thermocapillary coefficient | −3.08 × 10−4 N/(m · K) |
| Solid and liquid density (function of T) | 8603.74–0.68278·T kg/m3 |
| Solid heat capacity | 428.38 + 0.23638·T J/(kg·K) |
| Solid thermal conductivity | 8.9164 + 0.014743·T W/(m·K) |
| Liquid heat capacity | 725.74 J/(kg·K) |
| Liquid thermal conductivity | 8.9164 + 0.014743·T W/(m·K) |
| Latent heat of fusion | 217,540 J/kg |
| Dynamic viscosity | 0.003032 kg/(m·s) |
| Reference density for buoyancy | 7569.92 kg/m3 |
| Reference temperature for buoyancy | 1620 K |
| Spatial resolution of generated | 5 m |
| liquidus/solidus time data |
| Parameter | Symbol | Value |
|---|---|---|
| Cell size | 1.666 m | |
| Time step | 0.083 s | |
| Interfacial response fitting parameter 3rd order | A | −1.0302 × 10−7 m/(s · K3) |
| Interfacial response fitting parameter 2nd order | B | 1.0533 × 10−4 m/(s · K2) |
| Interfacial response fitting parameter 1st order | C | 2.2196 × 10−3 m/(s · K) |
| Heterogeneous nucleation density | 1013/m3 | |
| Mean nucleation undercooling | 5 K | |
| Standard deviation of nucleation undercooling | 0.5 K | |
| Mean substrate grain diameter | 45 m | |
| Offset in build direction for new layers | None | 20 m |
| Number of layers simulated | None | 65 |
| Parameter | Value |
|---|---|
| 243.3 GPa | |
| 156.7 GPa | |
| 117.8 GPa | |
| 791.0 MPa | |
| 328.5 MPa | |
| 788.0 MPa | |
| m | 0.03 |
| 0.0 | |
| 1.0 s−1 | |
| s−1 |
Publisher’s Note: MDPI stays neutral with regard to jurisdictional claims in published maps and institutional affiliations. |
© 2022 by the authors. Licensee MDPI, Basel, Switzerland. This article is an open access article distributed under the terms and conditions of the Creative Commons Attribution (CC BY) license (https://creativecommons.org/licenses/by/4.0/).
Share and Cite
Rolchigo, M.; Carson, R.; Belak, J. Understanding Uncertainty in Microstructure Evolution and Constitutive Properties in Additive Process Modeling. Metals 2022, 12, 324. https://doi.org/10.3390/met12020324
Rolchigo M, Carson R, Belak J. Understanding Uncertainty in Microstructure Evolution and Constitutive Properties in Additive Process Modeling. Metals. 2022; 12(2):324. https://doi.org/10.3390/met12020324
Chicago/Turabian StyleRolchigo, Matthew, Robert Carson, and James Belak. 2022. "Understanding Uncertainty in Microstructure Evolution and Constitutive Properties in Additive Process Modeling" Metals 12, no. 2: 324. https://doi.org/10.3390/met12020324
APA StyleRolchigo, M., Carson, R., & Belak, J. (2022). Understanding Uncertainty in Microstructure Evolution and Constitutive Properties in Additive Process Modeling. Metals, 12(2), 324. https://doi.org/10.3390/met12020324

