Buckling Analysis of Corroded Pipelines under Combined Axial Force and External Pressure
Abstract
:1. Introduction
2. Theoretical Development
3. Experimental Study
3.1. Material Test
3.2. Full-Scale Buckling Test of Steel Pipeline
4. Establishment and Verification of the Finite Element Model
4.1. Establishment of the Finite Element Model
4.2. Validation of the Finite Element Model
5. Parametric Analysis for Pipelines with Corrosion Defects
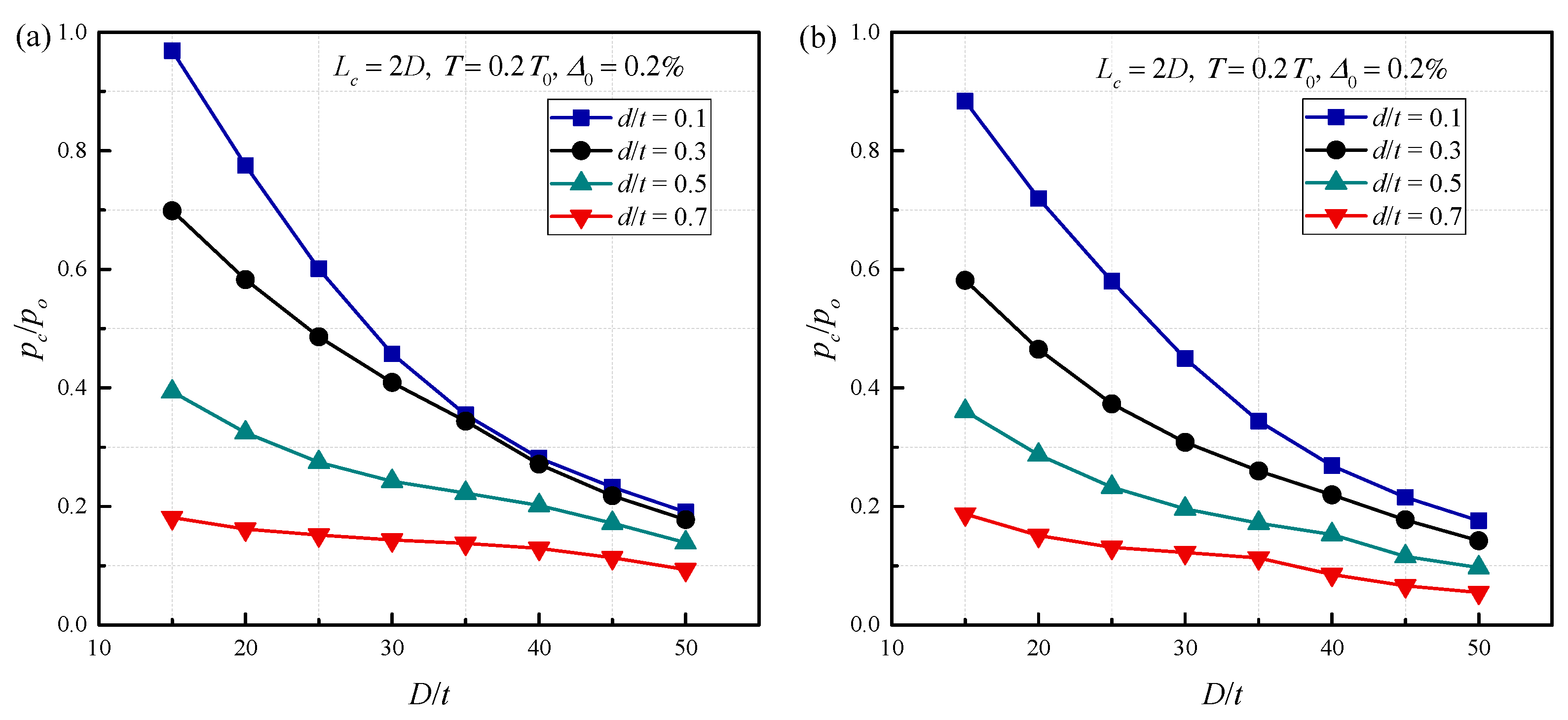
5.1. Influence of Diameter Thickness Ratio on the Buckling Responses of Pipelines
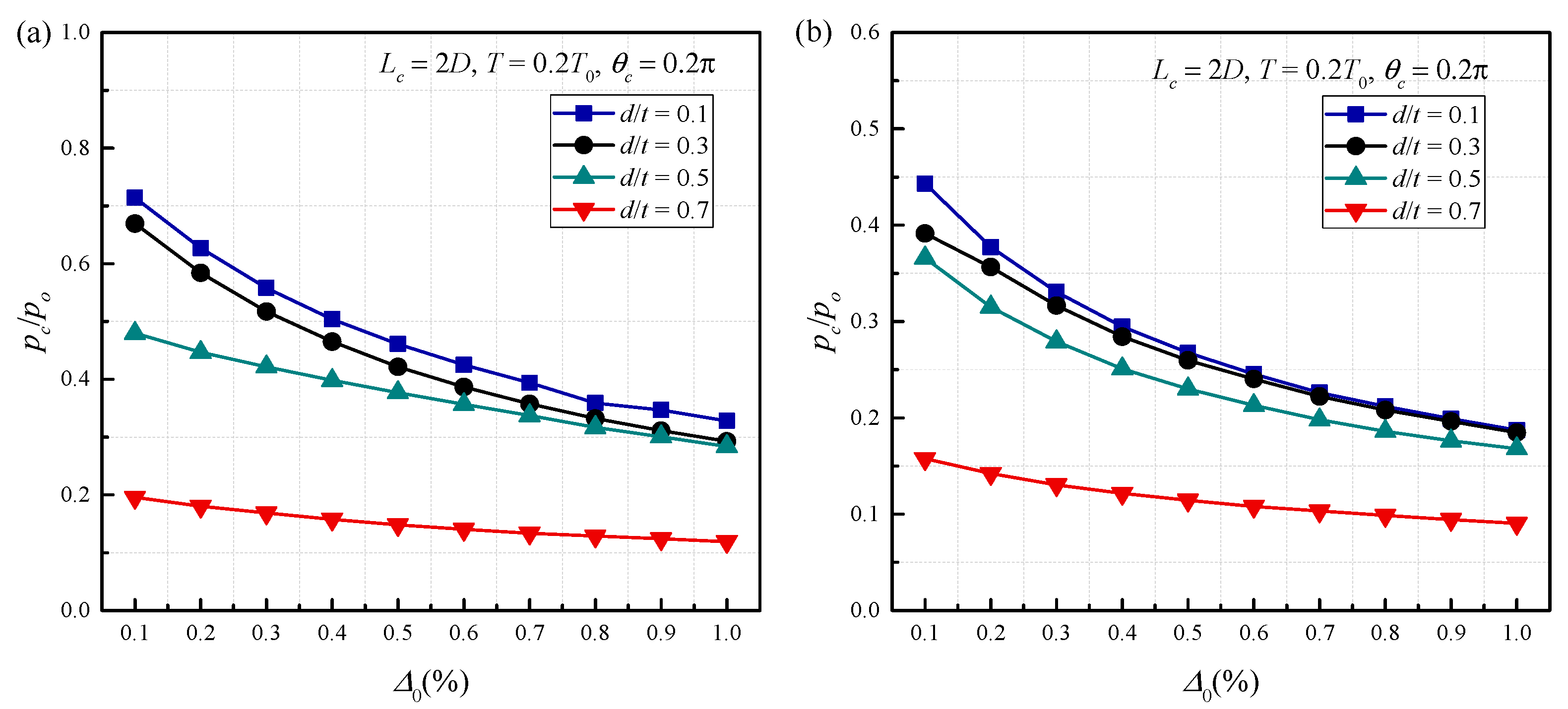
5.2. Influence of Initial Ovality on the Buckling Responses of Steel Pipelines
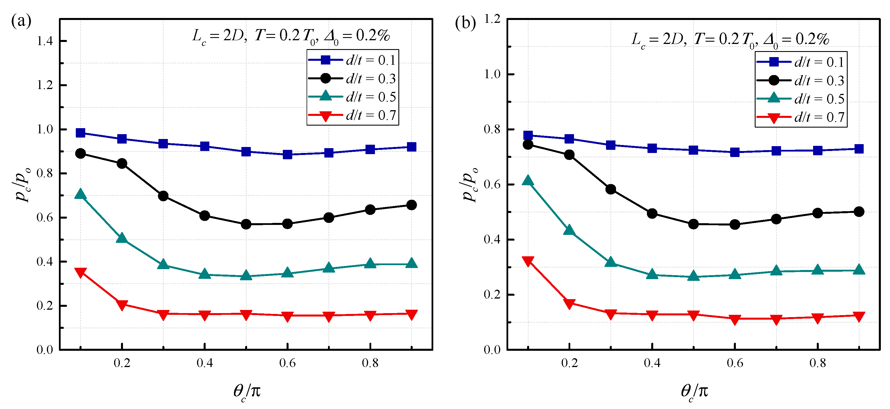
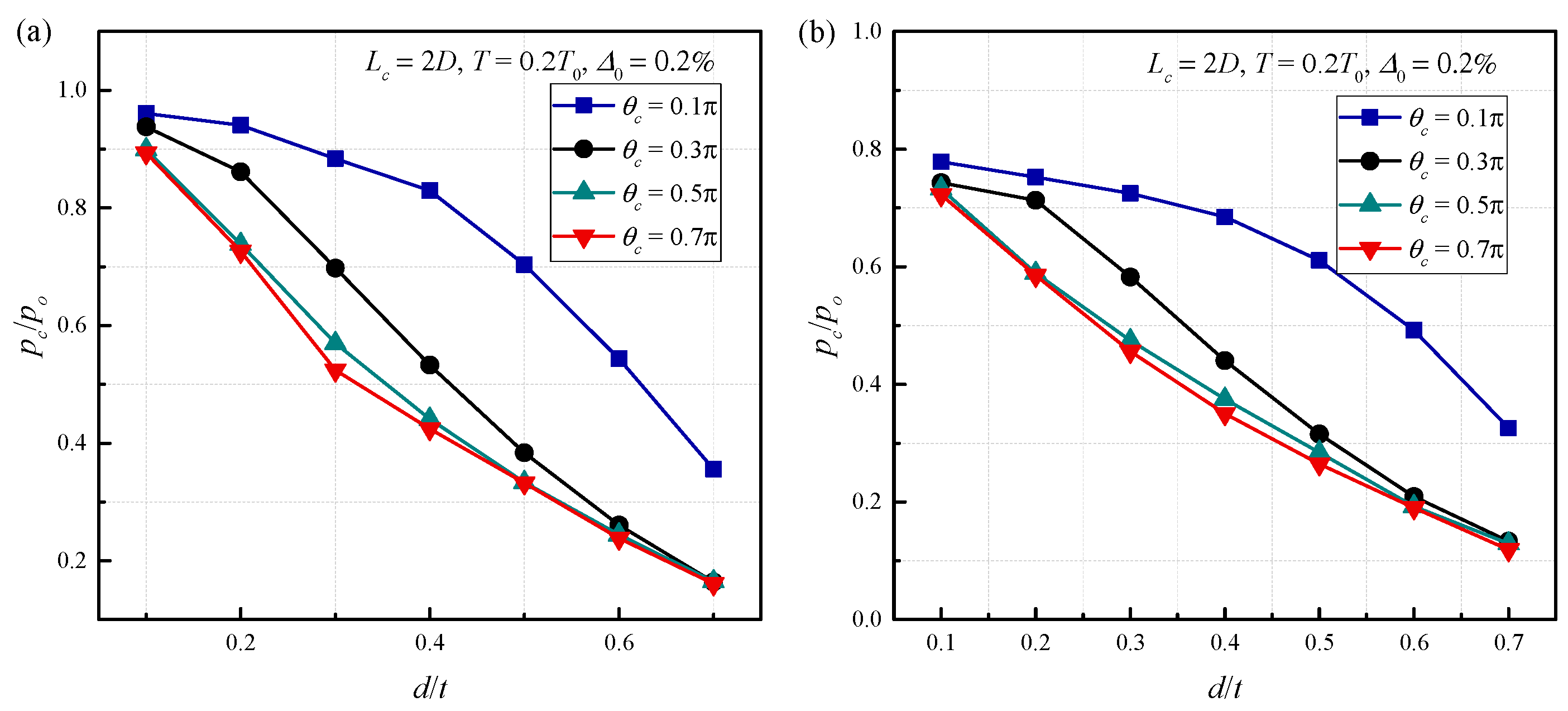
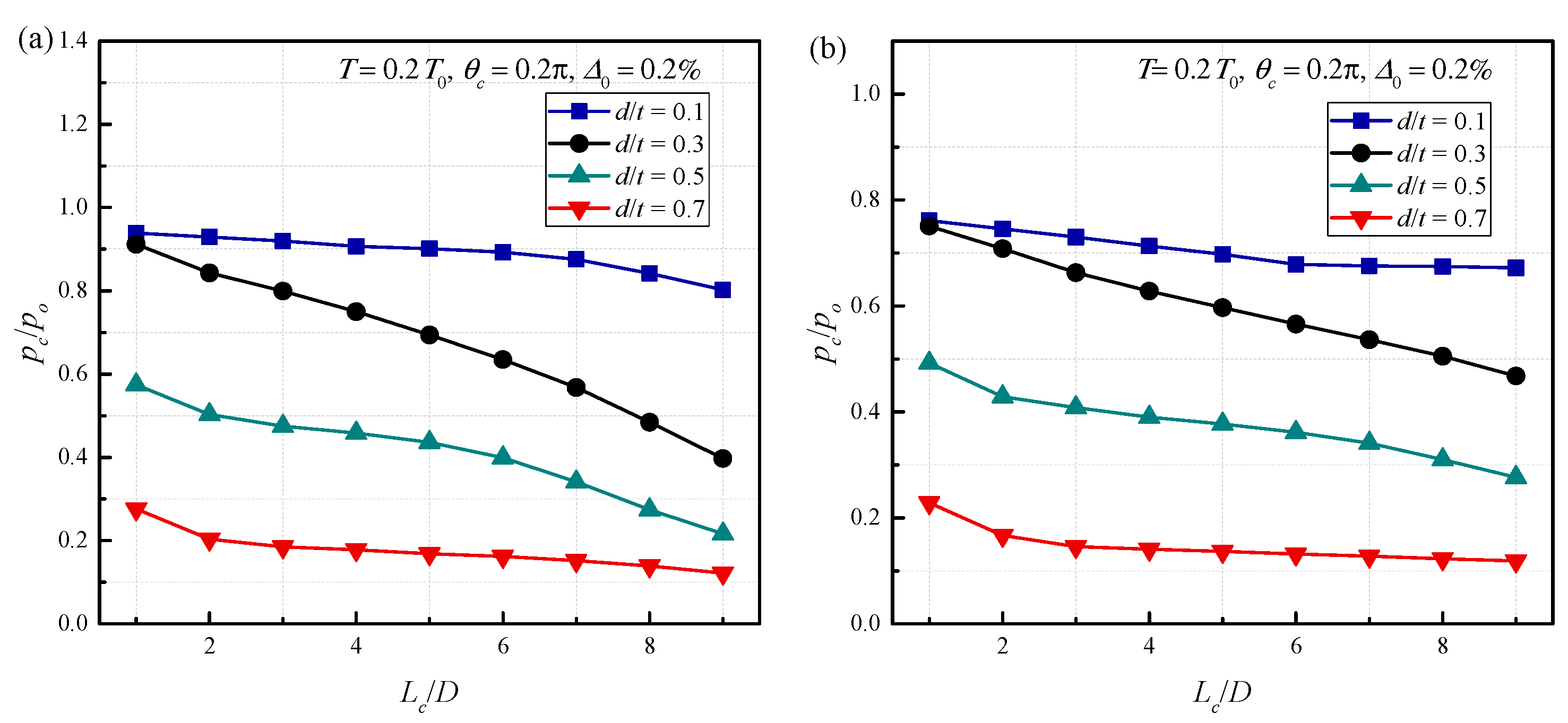
5.3. Influence of Defect Size on the Buckling Responses of Steel Pipelines
5.4. Influence of Axial Force on the Buckling Responses of Steel Pipelines
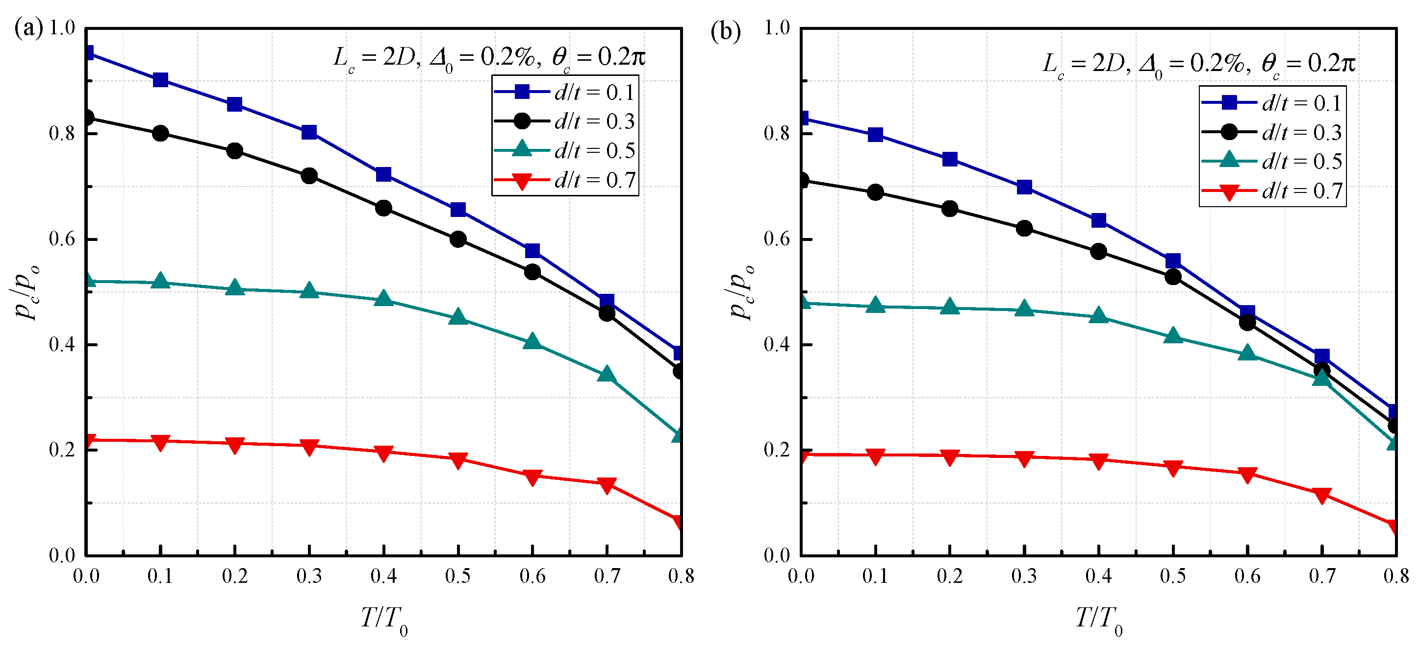
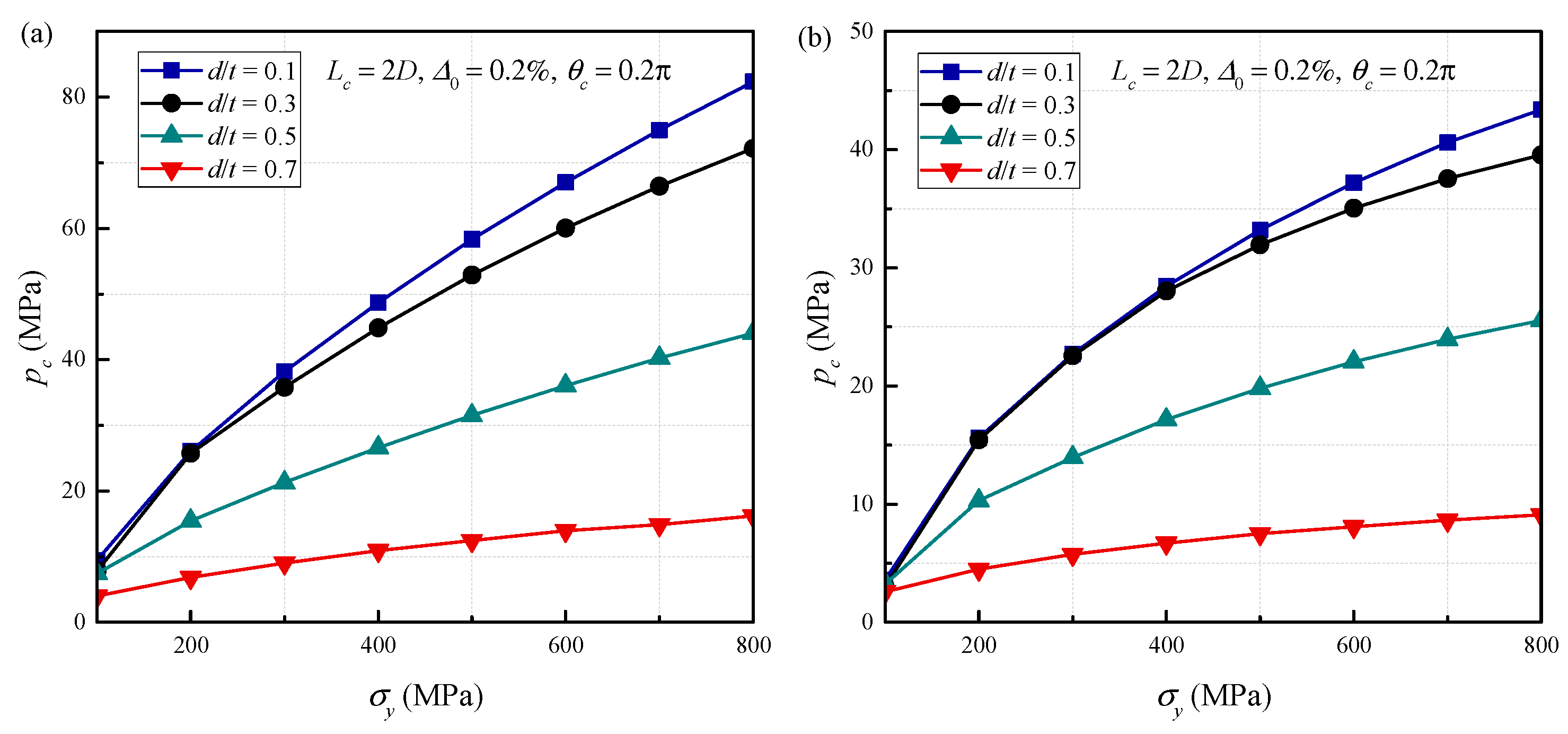
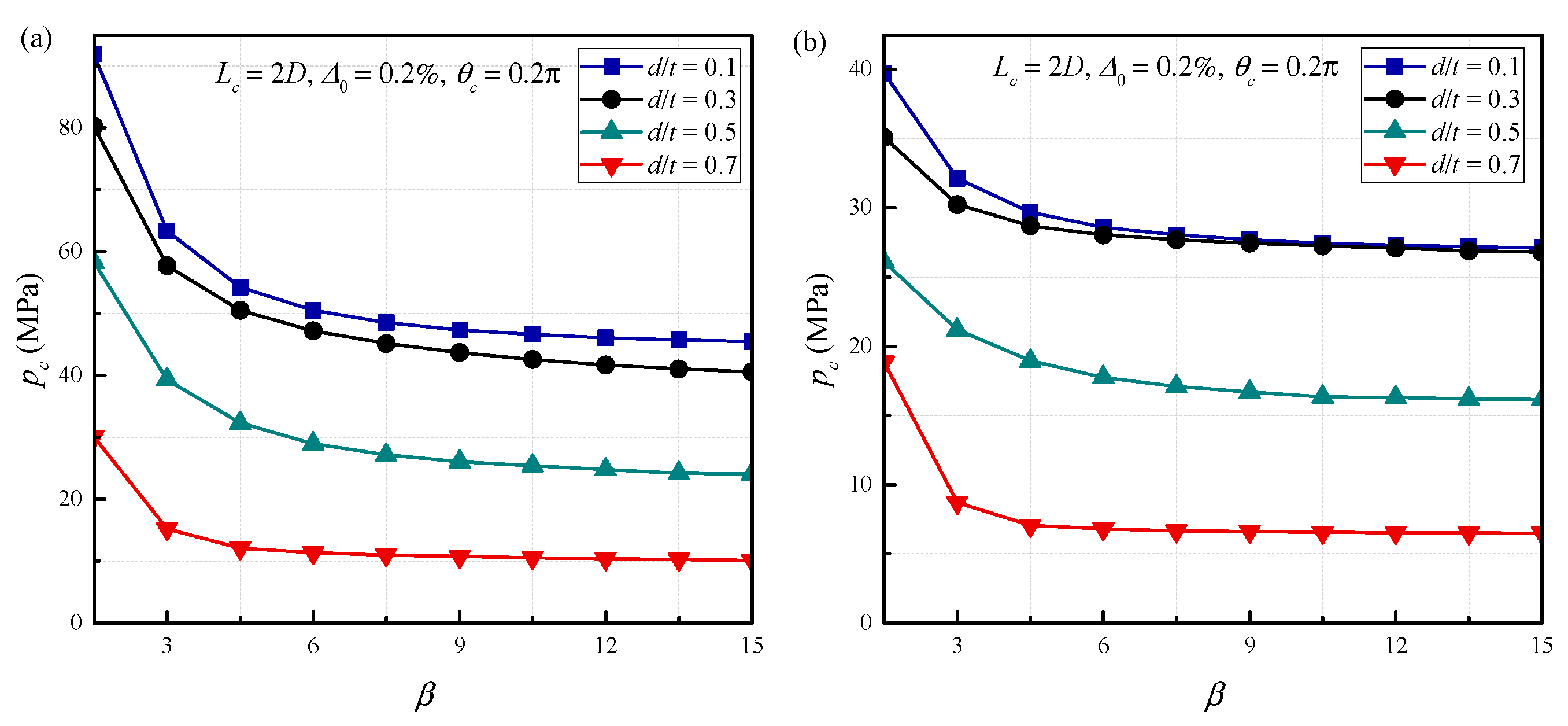
5.5. Influence of Material Properties on the Buckling Responses of Steel Pipelines
6. The Formula for the Collapse Pressure of Corroded Pipelines
7. Conclusions
- (1)
- Axial force, initial imperfections, material properties and defect size have significant effects on the collapse response of a pipeline. Compared with deep corrosion defects, the influences of various parameters on the collapse pressure of pipelines with shallow corrosion (d/t < 0.3) defects are more obvious. When d/t ≥ 0.7, the effects of D/t, Δ0 and Lc on the collapse pressure can be ignored. As the size of the defect, i.e. in length, width or depth, decreases, the collapse pressure decreases. In the case of θc = 0.1, the collapse pressure decreases gradually faster as d/t increases; for the case of θc ≥ 0.5, the collapse pressure decreases approximately linearly.
- (2)
- The formula for the collapse pressure of a corroded steel pipeline under the combined action of external pressure and axial force was established, and the accuracy of the formula was verified by comparison with the finite element results.
- (3)
- A formula was further proposed to conservatively calculate the collapse pressure of a steel pipeline with multiple corrosion defects.
Author Contributions
Funding
Institutional Review Board Statement
Informed Consent Statement
Data Availability Statement
Conflicts of Interest
Nomenclature
| A | cross-sectional area of the steel pipeline |
| c | arc length of defect |
| d | depth of corrosion defects |
| D | outer diameters of the steel pipeline |
| Dmax | maximum outer diameters of the steel pipeline |
| Dmin | minimum outer diameters of the steel pipeline |
| E | elastic modulus |
| ΔF | relative resistance |
| L | length of the steel pipeline |
| Lb | gauge length |
| Lc | length of defect |
| p | external pressure |
| pc | collapse pressure |
| pco | buckling pressure of intact pipeline |
| pca | collapse pressure of experimental |
| pcb | collapse pressure of finite element |
| py | yield pressure |
| r | notch radius of tensile specimen |
| R | mean radius of steel pipeline |
| SC | axial spacing between two defects |
| SL | circumferential spacing between two defects |
| t | wall thickness |
| T | axial force |
| T0 | yield axial force |
| ΔT | temperature difference |
| w0 | radial displacement |
| α | material coefficients |
| β | strain hardening parameter |
| Δ0 | initial ovality |
| ε | uniaxial strain |
| Δε | relative strain average |
| θ | polar angle |
| θc | polar angle of corrosion defects |
| λ | temperature expansion coefficient of the steel pipeline material |
| σ | uniaxial stress |
| σy | yield stress |
| μ | poisson’s ratio |
References
- Chen, Y.; Zhang, H.; Zhang, J.; Li, X.; Zhou, J. Failure analysis of high strength pipeline with single and multiple corrosions. Mater. Design 2015, 67, 552–557. [Google Scholar] [CrossRef]
- Chen, Y.; Zhang, H.; Zhang, J.; Liu, X.; Li, X.; Zhou, J. Failure assessment of X80 pipeline with interacting corrosion defects. Eng. Fail. Anal. 2015, 47, 67–76. [Google Scholar] [CrossRef]
- Zhao, H.; Lie, S.; Zhang, Y. Fatigue assessment of cracked pipes with weld misalignment by using stress intensity factors. Int. J. Fatigue 2018, 116, 192–209. [Google Scholar] [CrossRef]
- Zhao, H.; Lie, S.; Zhang, Y. Elastic-plastic fracture analyses for misaligned clad pipeline containing a canoe shape surface crack subjected to large plastic deformation. Ocean Eng. 2017, 146, 87–100. [Google Scholar] [CrossRef]
- Sun, M.; Zhao, H.; Li, X.; Liu, J.; Xu, Z. A new evaluation method for burst pressure of pipeline with colonies of circumferentially aligned defects. Ocean Eng. 2021, 222, 108628. [Google Scholar] [CrossRef]
- Li, X.; Bai, Y.; Su, C.; Li, M. Effect of interaction between corrosion defects on failure pressure of thin wall steel pipeline. Int. J. Press. Vessel. Pip. 2016, 138, 8–18. [Google Scholar] [CrossRef]
- Sun, M.; Zhao, H.; Li, X.; Liu, J.; Xu, Z. New evaluation method of failure pressure of steel pipeline with irregular-shaped defect. Appl. Ocean Res. 2021, 110, 102601. [Google Scholar] [CrossRef]
- Ramasamy, R.; Tuan, Y. Nonlinear finite element analysis of collapse and post-collapse behaviour in dented submarine pipelines. Appl. Ocean Res. 2014, 46, 116–123. [Google Scholar] [CrossRef]
- Smienk, H. Extending the Limits for Thick Walled Pipe (D/t < 20) for External Pressure and Combined Loading. In Proceedings of the ASME 2017 36th International Conference on Ocean, Offshore and Arctic Engineering; American Society of Mechanical Engineers Digital Collection, Trondheim, Norway, 25 June–1 July 2017. [Google Scholar]
- Zhao, H.; Lie, S.; Zhang, Y. Strain-based J-estimation scheme for fracture assessment of misaligned clad pipelines with an interface crack. Marine Struct. 2018, 61, 238–255. [Google Scholar] [CrossRef]
- Zhao, H.; Lie, S.; Zhang, Y. Fracture assessment of mismatched girth welds in oval-shaped clad pipes subjected to bending moment. Int. J. Press. Vessel. Pip. 2018, 160, 1–13. [Google Scholar] [CrossRef]
- Macek, W.; Sampath, D.; Pejkowski, Ł.; Żak, K. A Brief Note on Monotonic and Fatigue Fracture Events Investigation of Thin-Walled Tubular Austenitic Steel Specimens via Fracture Surface Topography Analysis (FRASTA). Eng. Fail. Anal. 2022, 134, 106048. [Google Scholar] [CrossRef]
- Shariati, M.; Mohammadi, E.; Masoudi Nejad, R. Effect of a New Specimen Size on Fatigue Crack Growth Behavior in Thick-Walled Pressure Vessels. Int. J. Press. Vessel. Pip. 2017, 150, 1–10. [Google Scholar] [CrossRef]
- Miller, A. Review of limit loads of structures containing defects. Int. J. Press. Vessel. Pip. 1988, 32, 191–327. [Google Scholar] [CrossRef]
- Jones, M.; Eshelby, J. Limit solutions for circumferentially cracked cylinders under internal pressure and combined tension and bending; Nuclear Electric Report TD/SID/REP/0032. J. Strain. Anal. Eng. Design 1990, 39, 673–683. [Google Scholar]
- Kim, Y.; Shim, D.; Nikbin, K.; Kim, Y.; Hwang, S.; Kim, J. Finite element based plastic limit loads for cylinders with part-through surface cracks under combined loading. Int. J. Press. Vessel. Pip. 2003, 80, 527–540. [Google Scholar] [CrossRef]
- Shim, D.; Han, T.; Huh, N. Finite element limit loads for non-idealized through-wall cracks in thick-walled pipe. Nucl. Eng. Design 2013, 265, 918–931. [Google Scholar] [CrossRef]
- Staat, M.; Vu, D. Limit loads of circumferentially flawed pipes and cylindrical vessels under internal pressure. Int. J. Press. Vessel. Pip. 2006, 83, 188–196. [Google Scholar] [CrossRef]
- Wang, H.; Yu, Y.; Yu, J.; Duan, J.; Zhang, Y.; Li, Z.; Wang, C. Effect of 3D random pitting defects on the collapse pressure of pipe—Part I: Experiment. Thin-Walled Struct. 2018, 129, 512–526. [Google Scholar] [CrossRef]
- Wang, H.; Yu, Y.; Yu, J.; Jin, C.; Zhao, Y.; Fan, Z.; Zhang, Y. Effect of 3D random pitting defects on the collapse pressure of pipe —Part II: Numerical analysis. Thin-Walled Struct. 2018, 129, 527–541. [Google Scholar] [CrossRef]
- Fan, Z.; Yu, J.; Sun, Z.; Wang, H. Effect of axial length parameters of ovality on the collapse pressure of offshore pipelines. Thin-Walled Struct. 2017, 116, 19–25. [Google Scholar] [CrossRef]
- Zhang, X.; Chen, B.; Guedes Soares, C. Effect of non-symmetrical corrosion imperfection on the collapse pressure of subsea pipelines. Marine Struct. 2020, 73, 102806. [Google Scholar] [CrossRef]
- Zhang, X.; Pan, G. Collapse of thick-walled subsea pipelines with imperfections subjected to external pressure. Ocean Eng. 2020, 213, 107705. [Google Scholar] [CrossRef]
- Netto, T. A simple procedure for the prediction of the collapse pressure of pipelines with narrow and long corrosion defects—Correlation with new experimental data. Appl. Ocean Res. 2010, 32, 132–134. [Google Scholar] [CrossRef]
- Netto, T. On the effect of narrow and long corrosion defects on the collapse pressure of pipelines. Appl. Ocean Res. 2009, 31, 75–81. [Google Scholar] [CrossRef]
- Netto, T.; Ferraz, U.; Botto, A. On the effect of corrosion defects on the collapse pressure of pipelines. Int. J. Solids Struct. 2007, 44, 7597–7614. [Google Scholar] [CrossRef]
- Gong, S.; Yuan, L.; Jin, W. Buckling response of offshore pipelines under combined tension, bending, and external pressure. J. Zhejiang Univ. A Sci. 2011, 12, 627–636. [Google Scholar] [CrossRef]
- Heitzer, M. Plastic limit loads of defective pipes under combined internal pressure and axial tension. Int. J. Mech. Sci. 2002, 44, 1219–1224. [Google Scholar] [CrossRef]
- Qiao, H.; Zhang, Y.; Bai, Y.; Cheng, P.; Lu, Y.; Han, P.; Tang, G. Study on reinforced thermoplastic pipe under combined tension and internal pressure. Ships Offshore Struct. 2018, 13, 86–97. [Google Scholar] [CrossRef]
- Bai, Y.; Igland, R.T.; Moan, T. Tube collapse under combined external pressure, tension and bending. Marine Struct. 1997, 10, 389–410. [Google Scholar] [CrossRef]
- Bai, Y.; Xu, W.; Cheng, P.; Wang, N.; Ruan, W. Behaviour of reinforced thermoplastic pipe (RTP) under combined external pressure and tension. Ships Offshore Struct. 2014, 9, 464–474. [Google Scholar] [CrossRef]
- Madhavan, R.; Babcock, C.D.; Singer, J. On the Collapse of Long, Thick-Walled Tubes Under External Pressure and Axial Tension. J. Press. Vessel. Technol. 1993, 115, 15–26. [Google Scholar] [CrossRef]
- Yu, J.; Han, M.; Duan, J.; Yu, Y.; Wang, H. The research on the different loading paths of pipes under combined external pressure and axial tension. Int. J. Mech. Sci. 2019, 160, 219–228. [Google Scholar] [CrossRef]
- Al-Owaisi, S.; Becker, A.; Sun, W. Analysis of shape and location effects of closely spaced metal loss defects in pressurised pipes. Eng. Fail. Anal. 2016, 68, 172–186. [Google Scholar] [CrossRef]
- Al-Owaisi, S.; Becker, A.; Sun, W.; Al-Shabibi, A.; Al-Maharbi, M.; Pervez, T.; Al-Salmi, H. An experimental investigation of the effect of defect shape and orientation on the burst pressure of pressurised pipes. Eng. Fail. Anal. 2018, 93, 200–213. [Google Scholar] [CrossRef]
- Fraldi, M.; Freeman, R.; Slater, S.; Walker, A.; Guarracino, F. An improved formulation for the assessment of the capacity load of circular rings and cylindrical shells under external pressure. Part 2. A comparative study with design codes prescriptions, experimental results and numerical simulations. Thin-Walled Struct. 2011, 49, 1062–1070. [Google Scholar] [CrossRef]
- Timoshenko, S.; Gere, J. Theory of Elastic Stability; McGraw-Hill: New York, NY, USA, 1961. [Google Scholar]
- Peng, Z.; Zhao, H.; Li, X. New ductile fracture model for fracture prediction ranging from negative to high stress triaxiality. Int. J. Plast. 2021, 145, 103057. [Google Scholar] [CrossRef]
- Ramberg, W.; Osgood, W. Description of Stress-Strain Curves by Three Parameters; NACA: Washington, DC, USA, 1943. [Google Scholar]
- Ren, Y.; Vengatesan, V.; Shi, W. Dynamic analysis of a multi-column TLP floating offshore wind turbine with tendon failure scenarios. Ocean Eng. 2022, 245, 110472. [Google Scholar] [CrossRef]
- Wang, Y.; Shi, W.; Michailides, C.; Wan, L.; Kim, H.; Li, X. WEC shape effect on the motion response and power performance of a combined wind-wave energy converter. Ocean Eng. 2022; accepted. [Google Scholar]
- Wu, H.; Zhao, H.; Li, X.; Feng, X. Elastic-plastic buckling of pipes with asymmetric dual corrosion defects subject to external pressure. Ocean Eng. 2021, 240, 109975. [Google Scholar] [CrossRef]
- Wu, H.; Zhao, H.; Li, X.; Feng, X. A semi-analytical approach to elastic-plastic buckling analysis of pipes with asymmetric local wall thinning. Thin-Walled Struct. 2021, 162, 107615. [Google Scholar] [CrossRef]
- Zhao, H.; Lie, S. Determination of dimensionless stress intensity factor of plate-to-plate butt welds between axially aligned members of different thickness. Eng. Fract. Mech. 2017, 172, 90–105. [Google Scholar] [CrossRef]
- Zhao, H.; Lie, S.; Zhang, Y. Stress intensity factors for semi-elliptical surface cracks in plate-to-plate butt welds with parallel misalignment of same thickness. Marine Struct. 2017, 53, 148–163. [Google Scholar] [CrossRef]
- Lie, S.; Zhao, H. Fracture analysis of load-carrying cruciform fillet welded joints with multiple cracks. Eng. Fract. Mech. 2018, 193, 32–46. [Google Scholar] [CrossRef]
- Zhao, H.; Li, X.; Lie, S. Strain-based fracture assessment for an interface crack in clad pipes under complicated loading conditions. Ocean Eng. 2020, 198, 106992. [Google Scholar] [CrossRef]

























| Specimen | Aligned Type | LC (mm) | c (mm) | d (mm) | SL (mm) | SC (mm) |
|---|---|---|---|---|---|---|
| X65-1 | Axial | 273 | 85.7 | 6 | 273 | |
| X65-2 | Circumferential | 273 | 85.7 | 6 | - | 85.7 |
| X65-3 | Diagonal | 273 | 85.7 | 6 | 136.5 | 85.7 |
| Specimen | Aligned Type | pc a (MPa) | pcb (MPa) | Error (%) |
|---|---|---|---|---|
| X65-1 | Axial | 27.5 | 24.33 | 11.53 |
| X65-2 | Circumferential | 28.81 | 25.64 | 11.02 |
| X65-3 | Diagonal | 31.73 | 29.19 | 8.02 |
Publisher’s Note: MDPI stays neutral with regard to jurisdictional claims in published maps and institutional affiliations. |
© 2022 by the authors. Licensee MDPI, Basel, Switzerland. This article is an open access article distributed under the terms and conditions of the Creative Commons Attribution (CC BY) license (https://creativecommons.org/licenses/by/4.0/).
Share and Cite
Feng, C.; Wu, H.; Li, X. Buckling Analysis of Corroded Pipelines under Combined Axial Force and External Pressure. Metals 2022, 12, 308. https://doi.org/10.3390/met12020308
Feng C, Wu H, Li X. Buckling Analysis of Corroded Pipelines under Combined Axial Force and External Pressure. Metals. 2022; 12(2):308. https://doi.org/10.3390/met12020308
Chicago/Turabian StyleFeng, Chunjian, Hang Wu, and Xin Li. 2022. "Buckling Analysis of Corroded Pipelines under Combined Axial Force and External Pressure" Metals 12, no. 2: 308. https://doi.org/10.3390/met12020308
APA StyleFeng, C., Wu, H., & Li, X. (2022). Buckling Analysis of Corroded Pipelines under Combined Axial Force and External Pressure. Metals, 12(2), 308. https://doi.org/10.3390/met12020308
