Next Article in Journal
Numerical Investigation on the Effects of Impeller Structures in Hot Metal Desulfurization Processes by Mechanical Stirring
Previous Article in Journal
Metallic Materials and Their Applications in Aerospace and Advanced Technologies
 
 
Font Type:
Arial Georgia Verdana
Font Size:
Aa Aa Aa
Line Spacing:
Column Width:
Background:
Article

Structural and Magnetic Properties of Yb0.5Ce0.5Ni5

by
Andrea Dzubinska
1,
Mauro Giovannini
2,*,
Jesús Rodríguez Fernández
3,
Kumar Arun
4,
Rastislav Varga
1,
Marian Reiffers
5 and
José Carlos Goméz Sal
3
1
Center for Progressive Materials-Technology and Innovation Park, University of Pavol Jozef Safarik, Tr. SNP 1, 040 11 Kosice, Slovakia
2
Department of Chemistry, University of Genova, 16146 Genova, Italy
3
Department of Earth Sciences and Condensed Matter Physics, University of Cantabria, Av. de los Castros s/n, 39005 Santander, Spain
4
Intermetallics and Non-Linear Optics Laboratory, Department of Physics, National Institute of Technology, Tiruchirappalli 620015, India
5
Faculty of Humanities and Natural Sciences, University of Presov, Ul. 17. Novembra 1, 080 01 Presov, Slovakia
*
Author to whom correspondence should be addressed.
Metals 2022, 12(2), 230; https://doi.org/10.3390/met12020230
Submission received: 28 December 2021 / Revised: 19 January 2022 / Accepted: 20 January 2022 / Published: 26 January 2022

Abstract

:
The rare-earth magnetism in the intermetallic compound Yb0.5Ce0.5Ni5 was studied using X-ray diffraction, magnetization, heat capacity, and electrical resistivity measurements. The effect of spin fluctuations (SF) was observed in M(T) at ~40 K. The measurement of thermal and transport properties supported the results obtained from magnetic measurements. Collected experimental data showed that Yb/Ce substitution shifts the maximum temperature for spin fluctuations to a lower temperature compared to that for pure CeNi5. Moreover, at low temperatures, an anomaly in the heat capacity of possible magnetic origin arising from Yb3+ was detected. Ce atoms seemed to remain in a non-magnetic valence state at almost 4+.

1. Introduction

The systematic investigation of rare-earth intermetallic compounds has brought new knowledge to the field of condensed matter [1,2,3,4]. A strong correlation between electrons, due to the hybridization of f-electrons and conduction electrons, can cause a number of outstanding low-temperature features. Among the rare-earth elements, a large variety of these phenomena have been found for Yb- and Ce-based intermetallics. One of the most fascinating issues in the study of these compounds is the quantum phase transitions that take place in heavy fermions. In this case, this kind of transition results from the competition between the Kondo effect, which acts to screen the Ce (or Yb) magnetic moments, and long-range RKKY interactions, which favor an ordered magnetic state [5,6,7,8]. Compared to heavy fermions, far fewer studies have been dedicated to the transition between enhanced paramagnetic behavior, on the verge of itinerant magnetism, and ferromagnetic order. This is the case for CeNi5 and YbNi5 compounds. Both compounds crystallize in a hexagonal CaCu5 form, and therefore they are prone to form a continuous solid solution (Ce,Yb)Ni5.
CeNi5 is a Stoner-enhanced paramagnet with a spin fluctuation contribution [9], whereas YbNi5 orders ferromagnetically at 0.55 K, with magnetic properties dominated by Yb3+ ions and a negligible contribution from the Ni atoms [10]. It is worth noting that the magnetic susceptibility of CeNi5 does not follow the Curie–Weiss law, showing a broad maximum around 100 K. This maximum originates from spin fluctuations due to hybridization, which are characteristic of systems close to the onset of magnetism. In fact, in a detailed investigation of polarized-neutron scattering, it was found that magnetization was localized exclusively on the Ni atoms, whereas Ce was found to be non-magnetic, almost in the 4+ valence state [11,12].
The effect of alloying on the ground state of CeNi5 has been investigated in both Ce and Ni sites. Regarding the Ce site, the substitution of Ce for Pr or Nd suppresses the contribution of spin fluctuation to the electrical resistivity [13].
In this work, we focus on the Yb/Ce substitution in the Ce site, which drives the competition between spin fluctuations and magnetically ordered states. In particular, this paper presents the results of an experimental investigation on the structural and physical properties of the Yb0.5Ce0.5Ni5 compound, which is located midway between a compound on the verge of itinerant magnetism (CeNi5) and a compound where magnetism is dominated by 4f electrons (YbNi5).

2. Experimental Details

The polycrystalline sample was prepared using the induction melting technique. Stoichiometric amounts of the elements with the purities Yb, 99.99 wt.%; Ce, 99.99 wt.%; and Ni, 99.999 wt.% were enclosed in small tantalum crucibles and sealed by arc welding under pure argon. The samples were melted in an induction furnace (homemade) under a stream of pure argon. To ensure homogeneity during the melting process, the crucible was continuously shaken. After that, the sample was annealed at 700 °C for ten days in a quartz ampule sealed in a vacuum and quenched at room temperature in cold water.
The crystal structure was studied using an X-ray Bruker D8 Advance diffractometer (Bruker Corporation, Billerica, MA, USA) located at Department of Earth Sciences and Condensed Matter Physics at University of Cantabria equipped with a Lynxeye multidetector (Bruker Corporation, Billerica, MA, USA) which uses a solid-state array, and the data were recorded between 20° and 100° with a 2θ increment of 0.02° at high resolution with the wavelength of 0.15418 nm, corresponding to Cu Kα radiation. The surface analysis was performed with the scanning electron microscope EVO MA 15. (Carl Zeiss, Oberkochen, Germany) The electron acceleration voltage reached 30 kV, and the magnification varied between ×7 and ×106. The system was equipped with an X-ray energy dispersive spectroscopy system (EDX).
Magnetic measurements were performed using a Magnetic Property Measurement System (MPMS) commercial device (Quantum Design, San Diego, CA, USA), SQUID, in the temperature range 2–300 K with an applied magnetic field of up to 5 T. Heat capacity, electrical resistivity, and magnetoresistivity were measured with DynaCool (Quantum Design, San Diego, CA, USA)) and the Helium-3 refrigerator PPMS (Quantum Design, San Diego, CA, USA) in the temperature range 400 mK–300 K with an applied magnetic field of up to 9 T.

3. Results and Discussion

Figure 1a shows the experimental X-ray powder diffraction pattern and the Rietveld refinement performed for Yb0.5Ce0.5Ni5 compound with the FULLPROF suite package (version September 2020, open source software) [14] under the WinPlotr shell (version April 2019, open source software) [15]. The Bragg diffraction reflections were correctly identified and indexed based on the hexagonal CaCu5 crystal structure (space group P6/mmm), while the lattice parameters obtained were a = b = 0.4869 nm and c = 0.3985 nm. These parameters were located between those of CeNi5 and YbNi5. Only a couple of very weak extra peaks in the low theta range were observed. The reliability factors obtained from the Rietveld refinement were Rf = 13.05%, RB = 15.13%, and Chi2 = 2.48. In Table 1, the atomic coordinates are displayed.
The morphological analysis of the studied sample is presented in Figure 1b. From more than 10 EDX spectra (not shown) collected from the sample surface, it was determined that, within the experimental error (0.1 at. %), the small discrepancies between the synthesis compositions and the measured compositions may be due to the presence of traces of some spurious phases, as evidenced by the very weak extra peaks present in the XRD at low angles.
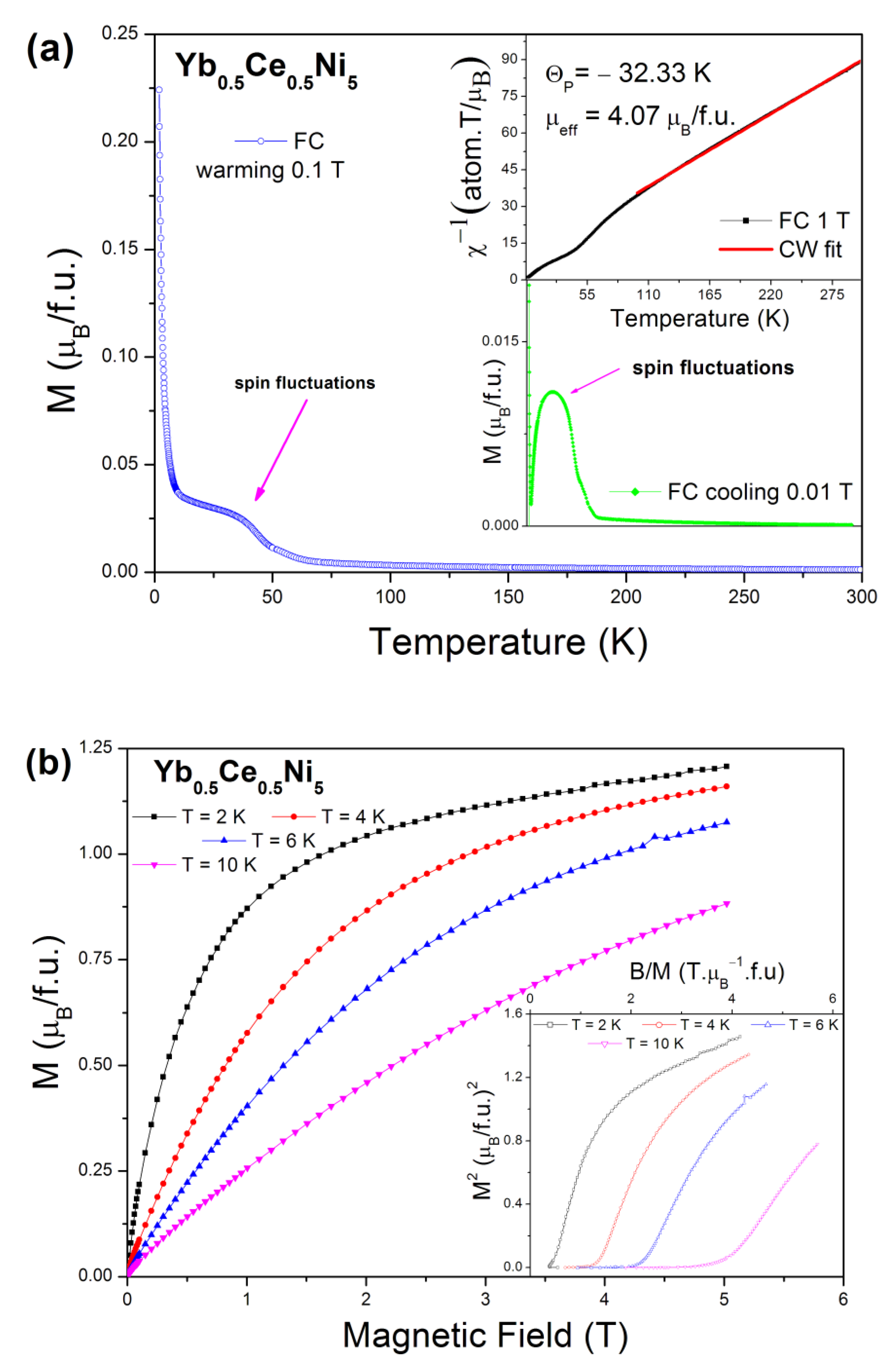
The temperature dependence of the magnetization in the applied magnetic fields (B = 0.1 T and B = 0.01 T) is displayed in Figure 2a. The broad maximum connected with spin fluctuations is visible at around T = 40 K. At lower temperatures, an upturn of magnetization occurs, which, in the case of CeNi5, was interpreted in different ways. Some authors believe that it is associated with the intrinsic properties of the material, which is on the verge of ferromagnetism [16,17]. On the other hand, it is known that even small concentrations (in the order of tens of ppm) of magnetic impurities can cause such an upturn. Earlier investigations of CeNi5 material do not show low-temperature upturns in magnetic susceptibility measurements [18,19,20,21], indicating that this effect does not arise from intrinsic properties but from ferromagnetic impurities. Instead, the broad maximum at 100 K in the magnetic susceptibility for pure CeNi5 is an intrinsic property mediated by spin fluctuations. The shifting of this maximum to lower temperatures observed in magnetization in Yb0.5Ce0.5Ni5 may be related to the competition of magnetic order and spin fluctuation which is present in this sample, which was prepared midway between CeNi5 and ferromagnetic YbNi5 [10]. By applying increasing magnetic fields, the temperature where the maximum occurs was not shifted, but its intensity decreased. From the Curie–Weiss law and its higher temperature fit, a paramagnetic Curie temperature θP = −32.33 K and an effective paramagnetic moment of μeff = 4.07 μB/f.u were obtained (Figure 2a in the inset at the top). The negative value of the paramagnetic Curie temperature indicates a dominating antiferromagnetic exchange interaction in a high temperature range. The value of the effective paramagnetic moment (4.07 μB/f.u.) is slightly smaller than the free Yb3+ ion value (4.54 μB/f.u.).
If we consider the trends of lattice parameters from YbNi5 (a = 0.4841–0.4850 nm, c = 0.3957–0.3968 nm) and CeNi5 (a = 0.4870–0.4890 nm, c = 0.4000–0.4013 nm), it can be determined that the lattice parameters of Yb0.5Ce0.5Ni5 are in between the narrow range of parameters of the two binary compounds. This fact seems to indicate a scenario where Ce and Yb valences are unchanged in the solid solution compared to the binary compounds—i.e., almost 4+ for Ce and 3+ for Yb ions. In fact, with Ce3+ being larger than Ce4+, a change in Ce valence would increase the lattice parameters of Yb0.5Ce0.5Ni5. To verify this, one should investigate this compound using spectroscopic techniques such as XPS. On the other hand, we observed a possible magnetic order at low temperatures (see the section on heat capacity), which should correspond to Yb in the magnetic 3+ state. In fact, it is well known that if the valence of Yb decreased to, e.g., 2.9, this would be sufficient for the magnetic order to vanish. Finally, the slightly lower value of the effective moment obtained with respect to the free Yb3+ ion value may be due to the contribution of the “almost” 4+ valence state of Ce.
The isothermal magnetization is plotted in Figure 2b as a function of the applied magnetic field up to 5 T at different temperatures. The tendency towards saturation is evident, and the ordering temperature is expected to be below 2 K. The Arrott plot for Yb0.5Ce0.5Ni5 is presented as the inset in Figure 2b. The nature of the magnetic transition can be obtained by analyzing the Arrott isotherms giving M2 as a function of B/M. The “S” shape of the Arrott plot is typical for temperatures above the critical temperature. According to the Banerjee criterion [22], this method allows us to determine the nature of the magnetic transition depending on the slope of the M2 vs. (B/M) plots at high magnetic fields. Indeed, a positive slope indicates a second-order magnetic transition. The Banerjee criterion shows that these curves present a positive slope at high magnetic fields, implying that this compound exhibits a second-order phase transition.
The heat capacity measurement of Yb0.5Ce0.5Ni5 up to 300 K (not plotted) shows a typical metallic behavior and, in the high-temperature range, it follows the Dulong–Petit law 3nR~150 J/mol·K. From the C(T)/T vs. T2 dependence (shown in Figure 3), at 6 T the magnetic order is suppressed, and it is possible to estimate the electronic Sommerfeld γ coefficient as γ6T~200 mJ/mol·K2.
In Figure 4, the low temperature dependence of the heat capacity is shown for various values of applied magnetic fields up to 6 T. We observe at around 0.8 K a sharp anomaly in the zero magnetic field. By increasing the magnetic fields, this anomaly evolves, with its intensity increasing, shifting to higher temperatures, and becoming broader, similar to the trends observed in other Yb systems [23]. The sharp anomaly at 0.8 K may be associated with a magnetic order, but this should be confirmed by magnetic measurements below 1 K.
Figure 5 shows the electrical resistivity between 0.5 K and 300 K for different magnetic fields. The measurements detect a typical metal behavior.

4. Conclusions

Based on our knowledge of the compounds YbNi5 and CeNi5, we prepared a new polycrystalline sample Yb0.5Ce0.5Ni5 of the hexagonal CaCu5 type. Microstructure analysis, as well X-ray diffraction, confirmed the good quality of the prepared sample with desired stoichiometry. At high temperatures, Yb atoms exhibit a localized 4f electron nature with an effective paramagnetic moment close to the Yb3+ free ion value. Therefore, starting from CeNi5 and substituting Ce for Yb, we proposed a scenario where Ce atoms do not change valence, remaining in the non-magnetic valence state. Another effect of the substitution was that the maximum temperature associated with spin fluctuations shifted from 100 K to 40 K. Finally, at very low temperatures, an anomaly of possible magnetic origin in the heat capacity was observed at 0.8 K. Further measurements of magnetic properties at very low temperatures should be conducted to confirm this last point.

Author Contributions

Conceptualization, A.D., M.R. and M.G.; methodology, A.D., M.R. and M.G.; validation, A.D., M.R., M.G., R.V., J.R.F. and J.C.G.S.; formal analysis, M.G. and M.R.; investigation, A.D., M.R. and M.G.; resources, A.D., M.R. and M.G.; data curation, K.A. and A.D.; writing—original draft preparation, A.D., M.R. and M.G.; writing—review and editing, A.D., M.R. and M.G.; visualization, A.D. and M.R.; supervision, J.R.F. and J.C.G.S. and R.V.; project administration, M.R. and R.V. All authors have read and agreed to the published version of the manuscript.

Funding

This research was funded by the Slovak Grant Agency VEGA 1/0404/21 (Materials with emergent behaviour and application possibilities under extreme physical conditions influence); VEGA 1/0705/20 (Novel rare earth based intermetallic compounds - crystal structure and physical properties of their ground state); VEGA 1/0053/19 (Influence of chemical composition on unique physical properties of modern functional materials) and APVV-16-0079 (Modern amorphous and polycrystalline functional materials for sensors and actuators.

Institutional Review Board Statement

Not applicable.

Informed Consent Statement

Not applicable.

Data Availability Statement

The data that support the findings of this study are available from the corresponding author upon reasonable request.

Conflicts of Interest

The authors declare no conflict of interest.

References

  1. Dzubinska, A.; Reiffers, M.; Espeso, J.I.; Rodriguez Fernandez, J. Magnetic and heat capacity study of the new Gd1-xCexNi5 series. Acta Phys. Pol. A 2017, 131, 997–999. [Google Scholar] [CrossRef]
  2. Rashid, T.P.; Arun, K.; Curlik, I.; Ilkovic, S.; Reiffers, M.; Dzubinska, A.; Nagalakshmi, R. Influence of spin fluctuations on the magnetocaloric behavior of Gd2Co3Al9 compound. J. Magn. Magn. Mater. 2018, 466, 283–288. [Google Scholar] [CrossRef]
  3. Sereni, J.G.; Curlik, I.; Giovannini, M.; Strydom, A.; Reiffers, M. Physical properties of the magnetically frustrated very-heavy-fermion compound YbCu4Ni. Phys. Rev. B 2018, 98, 094420. [Google Scholar] [CrossRef] [Green Version]
  4. Bajorek, A.; Chelkowska, G.; Andrejewski, B. Magnetic properties, crystal and electronic structure of GdNi5−xCux series. J. Alloys Compd. 2011, 509, 578–584. [Google Scholar] [CrossRef]
  5. Carretta, P.; Giovannini, M.; Horvatic, M.; Papinutto, N.; Rigamonti, A. Dynamical susceptibility and magnetic-field effect at the quantum critical point in CeCu6−xAux from Cu NQR-NMR relaxation. Phys. Rev. B 2003, 68, 220404. [Google Scholar] [CrossRef]
  6. Gegenwart, P.; Si, Q.; Steglich, F. Quantum criticality in heavy-fermion metals. Nat. Phys. 2008, 4, 186–197. [Google Scholar] [CrossRef]
  7. Von Lohneysen, H.; Rosch, A.; Vojta, M.; Wolfle, P. Fermi-liquid instabilities at magnetic quantum phase transitions. Rev. Mod. Phys. 2007, 79, 1015. [Google Scholar] [CrossRef] [Green Version]
  8. Custers, J.; Gegenwart, P.; Wilhelm, H.; Neumaier, K.; Tokiwa, Y.; Trovarelli, O.; Geibel, C.; Steglich, F.; Pepin, C.; Coleman, P. The break-up of heavy electrons at quantum critical point. Nature 2003, 424, 524. [Google Scholar] [CrossRef] [Green Version]
  9. Gignoux, D.; Givord, F.; Lemaire, R.; Tasset, F. Intermediate valence state of cerium in CeNi. J. Less Common Met. 1983, 94, 165–172. [Google Scholar] [CrossRef]
  10. Hodges, J.A.; Bonville, P.; Ocio, P. Magnetic properties of YbNi5 from 170Yb Mossbauer and magnetisation measurements. Eur. Phys. J. B 2007, 6, 365–370. [Google Scholar] [CrossRef]
  11. Gignoux, D.; Givord, F.; Lemaire, R.; Tasset, F. Thermal dependence of the susceptibility densities in CeNi5. J. Phys. Colloq. 1982, 43, C7. [Google Scholar] [CrossRef] [Green Version]
  12. Gignoux, D.; Givord, F.; Lemaire, R.; Tasset, F. Spatial distribution of the induced magnetization in CeNi. J. Magn. Magn. Mater. 1985, 50, 53–58. [Google Scholar] [CrossRef]
  13. Reiffers, M.; Della Mea, M.; Bauer, E.; Pristas, G.; Vasilova, M. Pressure and Field Effects on Spin Fluctuations in Ce0.8RE0.2Ni5 (RE = Pr, Nd). J. Phys. Soc. Jpn. 2007, 76, 68–69. [Google Scholar] [CrossRef] [Green Version]
  14. Rodriguez-Carvajal, J. Recent advances in magnetic structure determination by neutron powder diffraction. Physica B 1993, 192, 55–69. [Google Scholar] [CrossRef]
  15. Roisnel, T.; Rodriguez-Carvajal, J. WinPLOTR: A windows tool for powder diffraction patterns analysis. In Proceedings of the Seventh European Powder Diffraction Conference (EPDIC 7), Materials Science Forum, Barcelona, Spain, 20–23 May 2000; pp. 118–123. [Google Scholar]
  16. Nasu, S.; Neumann, H.; Marzouk, N.; Craig, R.S.; Wallace, W.E. Specific heats of LaNi5, CeNi5, PrNi5, NdNi5 and GdNi5 between 1.6 and 4 K. J. Phys. Chem. Solids 1971, 32, 2779–2783. [Google Scholar] [CrossRef]
  17. Tang, J.; Li, L.; O’Connor, C.J.; Lee, Y.S. Strongly enhanced paramagnetism in CeNi5—xGax and LaNi3Ga2. J. Alloys Compd. 1994, 207, 241–244. [Google Scholar] [CrossRef]
  18. Reiffers, M.; Della Mea, M.; Bauer, E.; Pristas, G. Pressure and field effects on spin fluctuations on CeNi5. J. Magn. Magn. Mater. 2004, 272–276, 605–607. [Google Scholar] [CrossRef]
  19. Musil, O.; Svoboda, P.; Divis, M.; Sechovsky, V. Specific-heat and magnetization studies in Ce(NixCu1-x)5 heavy-fermion compounds. Czechoslov. J. Phys. 2004, 54, 311–314. [Google Scholar] [CrossRef]
  20. Coldea, M.; Andreica, D.; Bitu, M.; Crisan, V. Spin fluctuations in YNi5 and CeNi5. J. Magn. Magn. Mater. 1996, 157, 627–628. [Google Scholar] [CrossRef]
  21. Zapotokova, M.; Curlik, I.; Giovannini, M.; Reiffers, M. Study on effect of Ge doping on CeNi5. Eur. Phys. J. B 2013, 86, 129. [Google Scholar] [CrossRef]
  22. Banerjee, B.K. On a generalised approach to first and second order magnetic transitions. Phys. Lett. 1964, 12, 16–17. [Google Scholar] [CrossRef]
  23. Curlik, I.; Reiffers, M.; Giovannini, M.; Gazo, E.; Sebek, J.; Santava, E. Strong electronic correlations in a new Yb-based compound: YbCu4Ni. Acta Phys. Pol. A 2010, 118, 919–921. [Google Scholar] [CrossRef]
Figure 1. (a) Rietveld refinement and collected experimental data of the room-temperature X-ray powder diffraction patterns of Yb0.5Ce0.5Ni5 compound. (b) The Yb0.5Ce0.5Ni5 SEM micrograph of the studied sample with the table of obtained EDX analysis data of atomic % for required elements.
Figure 1. (a) Rietveld refinement and collected experimental data of the room-temperature X-ray powder diffraction patterns of Yb0.5Ce0.5Ni5 compound. (b) The Yb0.5Ce0.5Ni5 SEM micrograph of the studied sample with the table of obtained EDX analysis data of atomic % for required elements.
Metals 12 00230 g001
Figure 2. (a) Temperature dependence of the magnetization at 0.1 T and 0.01 T (down inset). Maximum at T = 40 K connected with spin fluctuation is visible. The top inset presents the inverse of the magnetic susceptibility fitted to the Curie-Weiss law. (b) Characteristic behavior of the magnetic field dependence at very low temperatures of magnetization for the Yb0.5Ce0.5Ni5 compound. The inset shows Arrott plots of M2 vs. B/M for the studied material.
Figure 2. (a) Temperature dependence of the magnetization at 0.1 T and 0.01 T (down inset). Maximum at T = 40 K connected with spin fluctuation is visible. The top inset presents the inverse of the magnetic susceptibility fitted to the Curie-Weiss law. (b) Characteristic behavior of the magnetic field dependence at very low temperatures of magnetization for the Yb0.5Ce0.5Ni5 compound. The inset shows Arrott plots of M2 vs. B/M for the studied material.
Metals 12 00230 g002
Figure 3. Low-temperature detail of the heat capacity measurement of Yb0.5Ce0.5Ni5 compound vs. T2 for B = 0 and 6 T.
Figure 3. Low-temperature detail of the heat capacity measurement of Yb0.5Ce0.5Ni5 compound vs. T2 for B = 0 and 6 T.
Metals 12 00230 g003
Figure 4. Low-temperature detail of the heat capacity measurement of Yb0.5Ce0.5Ni5 compound with a transition temperature of 0.8 K.
Figure 4. Low-temperature detail of the heat capacity measurement of Yb0.5Ce0.5Ni5 compound with a transition temperature of 0.8 K.
Metals 12 00230 g004
Figure 5. Electrical resistivity of Yb0.5Ce0.5Ni5 compound in different applied magnetic fields of 0–9 T (normalized to 2 K).
Figure 5. Electrical resistivity of Yb0.5Ce0.5Ni5 compound in different applied magnetic fields of 0–9 T (normalized to 2 K).
Metals 12 00230 g005
Table 1. The atomic coordinates and occupancies of Yb0.5Ce0.5Ni5.
Table 1. The atomic coordinates and occupancies of Yb0.5Ce0.5Ni5.
AtomSiteXYZOcc.
Yb1a0001/2
Ce1a0001/2
Ni2c1/32/301
Ni3g1/201/21
Publisher’s Note: MDPI stays neutral with regard to jurisdictional claims in published maps and institutional affiliations.

Share and Cite

MDPI and ACS Style

Dzubinska, A.; Giovannini, M.; Rodríguez Fernández, J.; Arun, K.; Varga, R.; Reiffers, M.; Goméz Sal, J.C. Structural and Magnetic Properties of Yb0.5Ce0.5Ni5. Metals 2022, 12, 230. https://doi.org/10.3390/met12020230

AMA Style

Dzubinska A, Giovannini M, Rodríguez Fernández J, Arun K, Varga R, Reiffers M, Goméz Sal JC. Structural and Magnetic Properties of Yb0.5Ce0.5Ni5. Metals. 2022; 12(2):230. https://doi.org/10.3390/met12020230

Chicago/Turabian Style

Dzubinska, Andrea, Mauro Giovannini, Jesús Rodríguez Fernández, Kumar Arun, Rastislav Varga, Marian Reiffers, and José Carlos Goméz Sal. 2022. "Structural and Magnetic Properties of Yb0.5Ce0.5Ni5" Metals 12, no. 2: 230. https://doi.org/10.3390/met12020230

APA Style

Dzubinska, A., Giovannini, M., Rodríguez Fernández, J., Arun, K., Varga, R., Reiffers, M., & Goméz Sal, J. C. (2022). Structural and Magnetic Properties of Yb0.5Ce0.5Ni5. Metals, 12(2), 230. https://doi.org/10.3390/met12020230

Note that from the first issue of 2016, this journal uses article numbers instead of page numbers. See further details here.

Article Metrics

Back to TopTop