The Effect of Partitioning Temperature on Residual Austenite and Mechanical Properties of Q&P High Strength Steel during the Continuous Annealing Process
Abstract
1. Introduction
2. Experimental Procedure
3. Results
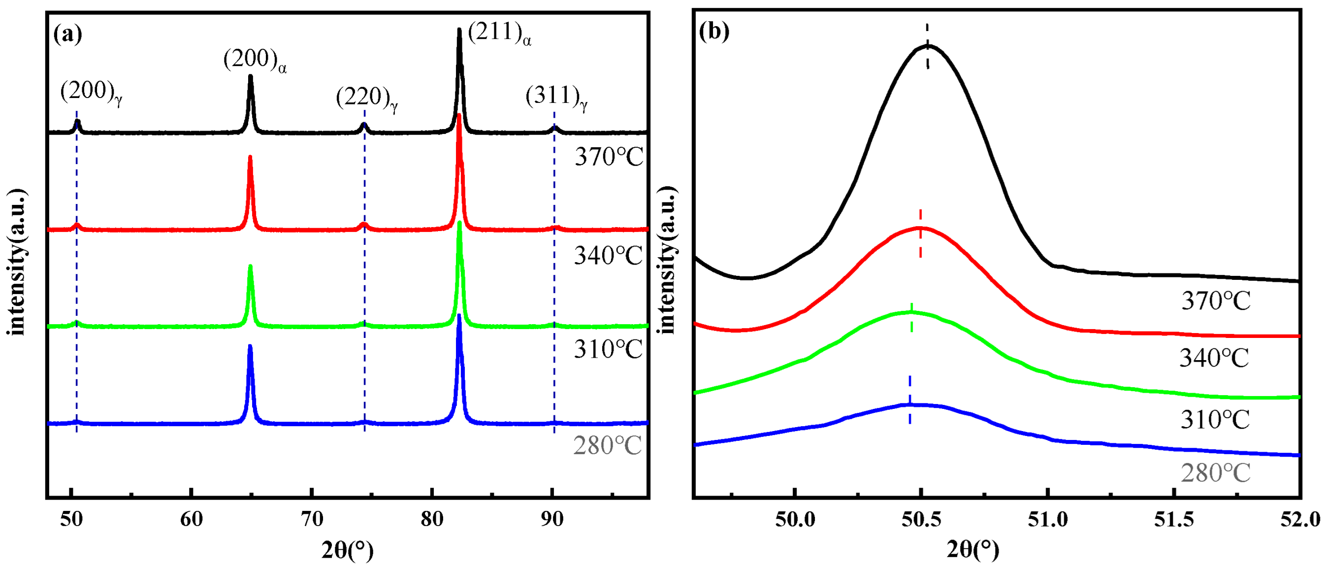
3.1. Microstructural Characterization
3.2. Mechanical Properties
4. Discussion
4.1. Effect of Partitioning Temperature on Microstructure
4.2. Effect of RA on Mechanical Properties
5. Conclusions
- (1)
- The microstructure of Q&P steel after heat treatment at different partitioning temperatures was mainly composed of F, M, and RA. The fraction of martensite decreased about 11.2% and the average size decreased by 0.12 μm with the increase in temperature from 280 °C to 370 °C.
- (2)
- The partitioning temperature played a key role in the morphology and quantity of the RA. Two forms of RA were found at higher temperatures. One was a large island of austenite, mainly distributed between the ferrite and martensite with lower dislocation density and fewer grain boundaries. The other was a smaller film and granular RA, mainly distributed between the lath martensite and massive martensite with high dislocation density and dense grain boundaries.
- (3)
- The maximum tensile strength, elongation, and residual austenite of the tested steel were 1238 MPa, 28.3%, 27.2 GPa·% and 10.2% at the temperature range from 280 to 370 °C, respectively.
Author Contributions
Funding
Conflicts of Interest
References
- Zijie, F.; Liangjin, G.; Ruiyi, S. Research and development of automotive lightweight technology. J. Automot. Saf. Energy 2014, 5, 1–16. [Google Scholar]
- Daneshpour, S.; Riekehr, S.; Kocak, M.; Gerritsen, C.H.J. Mechanical and fatigue behaviour of laser and resistance spot welds in advanced high strength steels. Sci. Technol. Weld. Join. 2015, 14, 20–25. [Google Scholar] [CrossRef]
- Mao, Y.F.; Chen, M.; Wiedmamn, H.; Feng, X. Effects of multi-disciplinary and intercultural engineering education in automotive engineering/service at CDHAW of Tong Ji University. Adv. Mater. Res. 2010, 156–157, 177–184. [Google Scholar]
- Chiang, J.; Lawrence, B.; Boyd, J.D.; Pilkey, A.K. Effect of microstructure on residual austenite stability and work hardening of TRIP steels. Mater. Sci. Eng. A 2011, 528, 4516–4521. [Google Scholar] [CrossRef]
- Caballero, F.G.; Allain, S.; Cornide, J.; Velásquez, J.P.; Garcia-Mateo, C.; Miller, M.K. Design of cold rolled and continuous annealed carbide-free bainitic steels for automotive application. Mater. Des. 2013, 49, 667–680. [Google Scholar] [CrossRef]
- Speer, J.G.; Assuncao, F.C.R.; Matlock, D.K.; Edmonds, D.V. The “quenching and partitioning” process: Background and recent progress. Mater. Res. 2005, 8, 417–423. [Google Scholar] [CrossRef]
- Speer, J.; Matlock, D.K.; De Cooman, B.C.; Schroth, J.G. Carbon partitioning into austenite after martensite transformation. Acta Mater. 2003, 51, 2611–2622. [Google Scholar] [CrossRef]
- Speer, J.G.; Edmonds, D.V.; Rizzo, F.C.; Matlock, D.K. Partitioning of carbon from supersaturated plates of ferrite, with application to steel processing and fundamentals of the bainite transformation. Curr. Opin. Solid State Mater. Sci. 2004, 8, 219–237. [Google Scholar] [CrossRef]
- Speer, J.G.; Hackenberg, R.E.; Decooman, B.C.; Matlock, D.K. Influence of interface migration during annealing of martensite/austenite mixtures. Philos. Mag. Lett. 2007, 87, 379–382. [Google Scholar] [CrossRef]
- Speer, J.G.; De Moor, E.; Clarke, A.J. Critical assessment 7: Quenching and partitioning. Mater. Sci. Technol. 2015, 31, 3–9. [Google Scholar] [CrossRef]
- Chen, B.; Liang, J.; Kang, T.; Cao, R.; Li, C.; Liang, J.; Li, F.; Zhao, Z.; Tang, D. A study of the optimum quenching temperature of steels with various hot rolling microstructures after cold rolling, quenching and partitioning treatment. Metals 2018, 8, 579. [Google Scholar] [CrossRef]
- Liu, L.; He, B.B.; Cheng, G.J.; Yen, H.W.; Huang, M.X. Optimum properties of quenching and partitioning steels achieved by balancing fraction and stability of residual austenite. Scr. Mater. 2018, 150, 1–6. [Google Scholar] [CrossRef]
- Xiong, X.C.; Chen, B.; Huang, M.X.; Wang, J.F.; Wang, L. The effect of morphology on the stability of residual austenite in a quenched and partitioned steel. Scr. Mater. 2013, 68, 321–324. [Google Scholar] [CrossRef]
- Ryu, J.H.; Kim, D.I.; Kim, H.S.; Bhadeshia, H.K.D.H.; Suh, D.W. Strain partitioning and mechanical stability of residual austenite. Scr. Mater. 2010, 63, 297–299. [Google Scholar] [CrossRef]
- Pereloma, E.V.; Zhang, L.C.; Liss, K.D.; Garbe, U.; Almer, J.; Schambron, T.; Beladi, H.; Timokhina, I.B. Effect of thermomechanical processing on the microstructure and residual austenite stability during in situ tensile testing using synchrotron X-ray diffraction of Nb-Mo-Al TRIP steel. Solid State Phenom. 2011, 172–174, 741. [Google Scholar]
- Timokhina, I.B.; Hodgson, P.D.; Pereloma, E.V. Effect of microstructure on the stability of residual austenite in transformation-induced-plasticity steels. Metall. Mater. Trans. A 2004, 35, 2331–2341. [Google Scholar] [CrossRef]
- Chen, H.C.; Era, H.; Shimizu, M. Effect of phosphorus on the formation of residual austenite and mechanical properties in Si-containing low-carbon steel sheet. Metall. Trans. A 1989, 20, 437–445. [Google Scholar] [CrossRef]
- Sugimoto, K.; Misu, M.; Kobayashi, M.; Shirasawa, H. Effects of second phase morphology on residual austenite morphology and tensile properties in a TRIP-aided dual-phase steel sheet. ISIJ Int. 1993, 33, 775–782. [Google Scholar] [CrossRef]
- Mishra, S.; Dalai, R. Effect of quenching and partitioning treatment on low carbon medium manganese alloyed steels-A short review. Mater. Today Proc. 2021, 43, 593–596. [Google Scholar] [CrossRef]
- Li, W.S.; Gao, H.Y.; Nakashima, H.; Hata, S.; Tian, W.H. In-situ study of the deformation-induced rotation and transformation of residual austenite in a low-carbon steel treated by the quenching and partitioning process. Mater. Sci. Eng. A 2016, 649, 417–425. [Google Scholar] [CrossRef]
- Sankaran, S.; Sangal, S.; Padmanabhan, K.A. Transmission electron microscopy studies of thermomechanically control processed multiphase medium-carbon microalloyed steel: Forged, rolled, and low-cycle fatigued microstructures. Metall. Mater. Trans. A 2006, 37, 3259–3273. [Google Scholar] [CrossRef]
- Diego-Calderon, I.D.; Knijf, D.D.; Monclus, M.A.; Molina-Aldareguia, J.M.; Sabirov, I.; Föjer, C.; Petrov, R.H. Global and local deformation behavior and mechanical properties of individual phases in a quenched and partitioned steel. Mater. Sci. Eng. A 2015, 630, 27–35. [Google Scholar] [CrossRef]
- Hetzner, D.W. Microindentation Hardness Testing of Materials Using ASTM E384. Microsc. Microanal. 2003, 9 (Suppl. 2), 708–709. [Google Scholar] [CrossRef]
- Seo, E.J.; Cho, L.; De Cooman, B.C. Application of Quenching and Partitioning (Q&P) Processing to Press Hardening Steel. Metall. Mater. Trans. A 2014, 45, 4022–4037. [Google Scholar]
- Wang, X.L.; Wang, Z.Q.; Huang, A.R.; Wang, J.L.; Li, X.C.; Subramanian, S.V.; Shang, C.J.; Xie, Z.J. Contribution of Grain Boundary Misorientation to Intragranular Globular Austenite Reversion and Resultant in Grain Refinement in a High-Strength Low-Alloy Steel. SSRN Electron. J. 2020, 19, 13. [Google Scholar]
- Zhang, X.; Miyamoto, G.; Kaneshita, T.; Yoshida, Y.; Toji, Y.; Furuhara, T. Growth mode of austenite during reversion from martensite in Fe-2Mn-1.5Si-0.3C alloy: A transition in kinetics and morphology. Acta Mater. 2018, 154, 1–13. [Google Scholar]
- Kohichi, S. Retained austenite characteristics and tensile properties in a TRIP typebainitic sheet steel. ISIJ Int. 2000, 40, 902908. [Google Scholar]
- Sugimoto, K.I.; Usui, N.; Kobayashi, M.; Hashimoto, S.I. Effects of volume fraction and stability of retained austenite on ductility of TRIP-aided dual-phase steels. ISIJ Int. 1992, 32, 1311–1318. [Google Scholar] [CrossRef]
- Hu, B.; Guo, H.; Misra, R.D.K.; Shang, C.J. Enhanced carbon enrichment in austenite through introducing pre-existing austenite as a ‘carbon container’ in 0.2C-2Mn steel: The significant impact on microstructure and mechanical properties. Mater. Charact. 2021, 176, 111077. [Google Scholar] [CrossRef]
- Dong, X.X.; Shen, Y.F.; Jia, N.; Zhu, Y.T. Improving mechanical properties and residual-austenite stability of a medium carbon Q&P steel by adjusting phase ratio. Mater. Sci. Eng. A 2022, 833, 142580. [Google Scholar]
- Peng, F.; Xu, Y.B.; Han, D.T.; Gu, X.; Li, J.; Wang, X. Influence of pre-tempering treatment on microstructure and mechanical properties in quenching and partitioning steels with ferrite-martensite start structure. Mater. Sci. Eng. A 2019, 756, 248–257. [Google Scholar] [CrossRef]
- Ghaheri, A.; Shafyei, A.; Honarmand, M. Effects of inter-critical temperatures on martensite morphology, volume fraction and mechanical properties of dual-phase steels obtained from direct and continuous annealing cycles. Mater. Des. 2014, 62, 305–319. [Google Scholar] [CrossRef]
- Li, J.Y.; Xu, Y.B.; Lu, B.; Yu, Y.; Jing, Y.; Sun, W. Improvement of strength-ductility combination in ultra-high-strength medium-Mn Q&P steel by tailoring the characteristics of martensite/residual austenite constituents. J. Mater. Res. Technol. 2022, 18, 352–369. [Google Scholar]
- Prawoto, Y.; Jasmawati, N.; Sumeru, K. Effect of Prior Austenite Grain Size on the Morphology and Mechanical Properties of Martensite in Medium Carbon Steel. J. Mater. Sci. Technol. 2012, 28, 461–466. [Google Scholar] [CrossRef]
- Zhang, F.; Ruimi, A.; Wo, P.C.; Field, D.P. Morphology and partition of martensite in dual phase (DP980) steel and its relation to the multiscale mechanical behavior. Mater. Sci. Eng. A 2016, 659, 93–103. [Google Scholar] [CrossRef]
- Li, S.; Guo, C.; Hao, L.; Kang, Y.; An, Y. In-situ EBSD study of deformation behavior of 600 MPa grade dual phase steel during uniaxial tensile tests. Mater. Sci. Eng. A 2019, 759, 624–632. [Google Scholar] [CrossRef]
- Ebner, S.; Schnitzer, R.; Suppan, C.; Stark, A.; Liu, H.; Hofer, C. Characterization of carbides in Q&P steels using a combination of high-resolution methods. Mater. Charact. 2020, 163, 110242. [Google Scholar]











| Partitioning Temperature (°C) | RA (%) | Rm (MPa) | A (%) | Rm·A (MPa·%) | 
|---|---|---|---|---|
| 280 | 6.7 | 1238 | 19.4 | 24,017.2 | 
| 310 | 7.2 | 1126 | 22.9 | 25,785.4 | 
| 340 | 8.7 | 1029 | 25.8 | 26,548.2 | 
| 370 | 10.2 | 963 | 28.3 | 27,252.9 | 
| Publisher’s Note: MDPI stays neutral with regard to jurisdictional claims in published maps and institutional affiliations. | 
© 2022 by the authors. Licensee MDPI, Basel, Switzerland. This article is an open access article distributed under the terms and conditions of the Creative Commons Attribution (CC BY) license (https://creativecommons.org/licenses/by/4.0/).
Share and Cite
Liu, L.; Li, H.; Xu, H.; Dai, X.; Tian, Y.; Chen, L. The Effect of Partitioning Temperature on Residual Austenite and Mechanical Properties of Q&P High Strength Steel during the Continuous Annealing Process. Metals 2022, 12, 2165. https://doi.org/10.3390/met12122165
Liu L, Li H, Xu H, Dai X, Tian Y, Chen L. The Effect of Partitioning Temperature on Residual Austenite and Mechanical Properties of Q&P High Strength Steel during the Continuous Annealing Process. Metals. 2022; 12(12):2165. https://doi.org/10.3390/met12122165
Chicago/Turabian StyleLiu, Lin, Hongbin Li, Haiwei Xu, Xin Dai, Yaqiang Tian, and Liansheng Chen. 2022. "The Effect of Partitioning Temperature on Residual Austenite and Mechanical Properties of Q&P High Strength Steel during the Continuous Annealing Process" Metals 12, no. 12: 2165. https://doi.org/10.3390/met12122165
APA StyleLiu, L., Li, H., Xu, H., Dai, X., Tian, Y., & Chen, L. (2022). The Effect of Partitioning Temperature on Residual Austenite and Mechanical Properties of Q&P High Strength Steel during the Continuous Annealing Process. Metals, 12(12), 2165. https://doi.org/10.3390/met12122165
 
        

 
       