Effects of Annealing Temperatures on Mechanical Behavior and Penetration Characteristics of FeNiCoCr High-Entropy Alloys
Abstract
1. Introduction
2. Experimental Methods
2.1. Mechanical Properties Test of FeNiCoCr HEAs Annealed at Different Temperatures
2.1.1. Experimental Materials
2.1.2. Quasi-Static Compression Test
2.1.3. Dynamic Compression Test
2.2. Penetration Experiments of FeNiCoCr HEAs LRPs at Different Annealing Temperatures
3. Results and Discussion
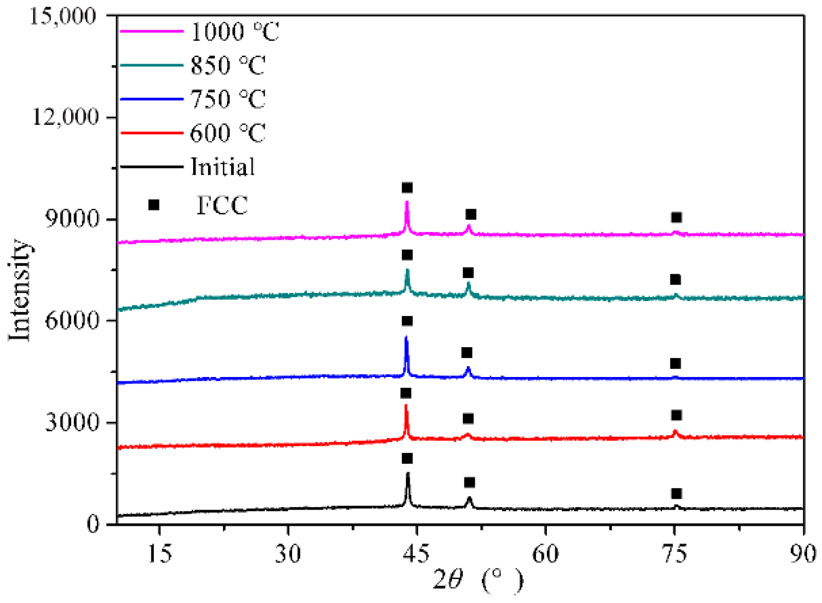
3.1. Initial Microstructure at Different Annealing Temperature
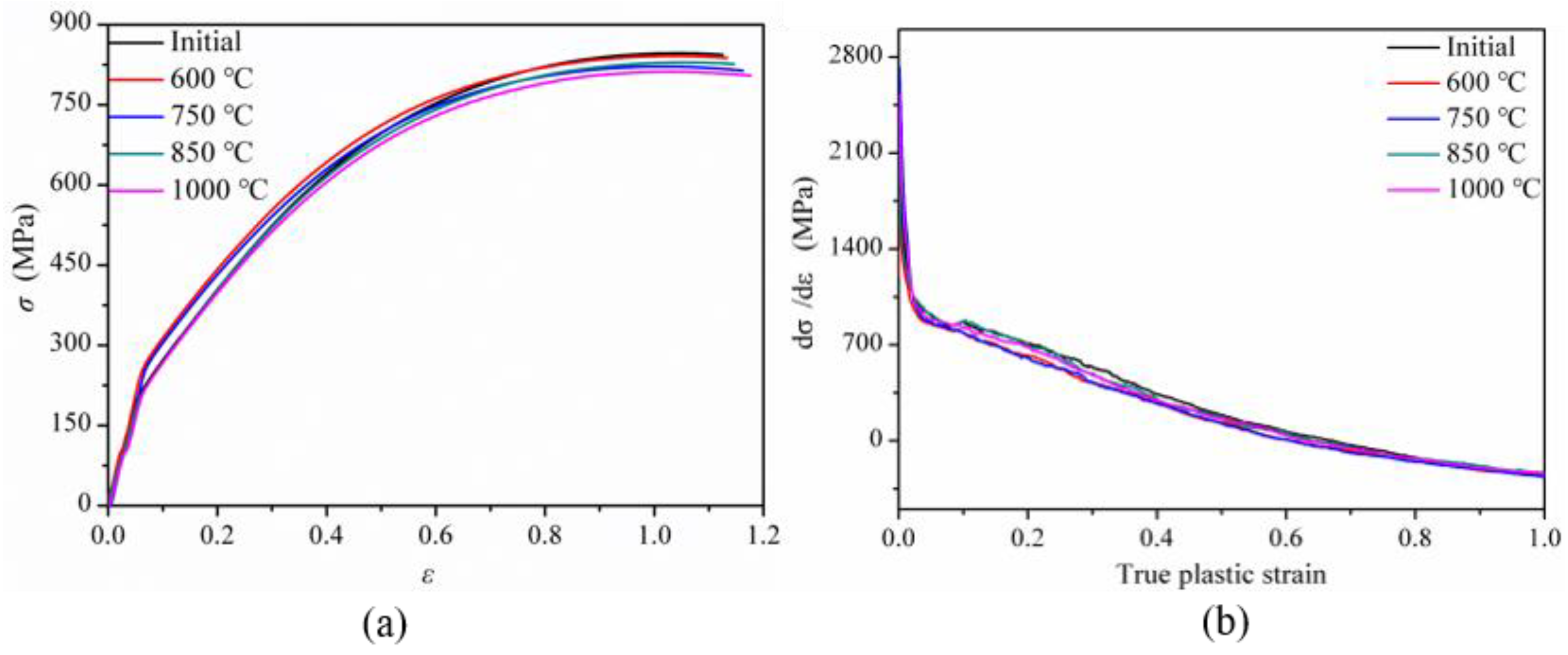
3.2. Static and Dynamic Mechanical Properties
3.3. Penetration Process of LRPs into Steel Targets
3.4. Penetration Results and Ballistic Characteristics
3.5. Microstructural Evolution and Deformation Behaviors
4. Conclusions
- (1)
- Compared with the initial FeNiCoCr HEA, the strengths of four kinds of annealed FeNiCoCr HEAs improved due to the increasing twins and refined grain during the annealing process. Among them, the alloy annealed at 600 °C had the strongest strength, with a 39% increase in strength.
- (2)
- The penetration performance of the FeNiCoCr HEA annealed at 600 °C exceeded all other experimental materials. Compared with those of the steel LRPs, the DOP and the VOC of the LRPs of alloys annealed at 600 °C increased by 43% and 78%, respectively. Impact velocity played a more significant role in the penetration performance of the FeNiCoCr HEAs annealed at 1000 °C than FeNiCoCr HEAs with other annealing temperatures, while the penetration performance of the FeNiCoCr HEA LRPs annealed at 850 °C is similar to that of the steel LRPs.
- (3)
- The penetration performance of the FeNiCoCr HEAs was elevated by adiabatic shear, recrystallizations, and twins. The FeNiCoCr HEAs with different annealing temperatures did not undergo any phase changes at high strain rates. The FeNiCoCr projectiles were deformed primarily by twins.
Author Contributions
Funding
Data Availability Statement
Conflicts of Interest
References
- Chen, X.W.; Wei, L.M.; Li, J.C. Experimental research on the long rod penetration of tungsten-fiber/Zr-based metallic glassmatrix composite into Q235 steel target. Int. J. Impact Eng. 2015, 79, 102–116. [Google Scholar] [CrossRef]
- Cantor, B.; Chang, I.T.H.; Knight, P.; Vincent, A.J.B. Microstructural development in equiatomic multicomponent alloys. Mater. Sci. Eng. A 2004, 375–377, 213–218. [Google Scholar] [CrossRef]
- Yeh, J.-W.; Chen, S.K.; Lin, S.-J.; Gan, J.-Y.; Chin, T.-S.; Shun, T.-T.; Tsau, C.-H.; Chang, S.-Y. Nanostructured High-Entropy Alloys with Multiple Principal Elements: Novel Alloy Design Concepts and Outcomes. Adv. Eng. Mater. 2004, 6, 299–303. [Google Scholar] [CrossRef]
- Zhang, Y.; Zuo, T.T.; Tang, Z.; Gao, M.C.; Dahmen, K.A.; Liaw, P.K.; Lu, Z.P. Microstructures and properties of high-entropy alloys. Prog. Mater. Sci. 2014, 61, 1–93. [Google Scholar] [CrossRef]
- Gao, M.C.; Yeh, J.W.; Liaw, P.K.; Zhang, Y. High-Entropy Alloys: Fundamentals and Applications; Springer: Cham, Switzerland, 2016. [Google Scholar]
- Thurston, K.V.; Gludovatz, B.; Yu, Q.; Laplanche, G.; George, E.P.; Ritchie, R.O. Temperature and load-ratio dependent fatigue-crack growth in the CrMnFeCoNi high-entropy alloy. J. Alloys Compd. 2019, 794, 525–533. [Google Scholar] [CrossRef]
- Oses, C.; Toher, C.; Curtarolo, S. High-entropy ceramics. Nat. Rev. Mater. 2020, 5, 295–309. [Google Scholar] [CrossRef]
- Yao, M.; Pradeep, K.; Tasan, C.; Raabe, D. Raabe. A novel, single phase, non-equiatomic FeMnNiCoCr high-entropy alloy with exceptional phase stability and tensile ductility. Scr. Mater. 2014, 72, 5–8. [Google Scholar] [CrossRef]
- Senkov, O.N.; Wilks, G.B.; Miracle, D.B.; Chuang, C.P.; Liaw, P.K. Refractory high-entropy alloys. Intermetallics 2010, 18, 1758–1765. [Google Scholar] [CrossRef]
- Miracle, D.B.; Senkov, O.N. A critical review of high entropy alloys and related concepts. Acta Mater. 2017, 122, 448–511. [Google Scholar] [CrossRef]
- Chou, H.P.; Chang, Y.S.; Chen, S.K.; Yeh, J.W. Microstructure, thermophysical and electrical properties in AlxCoCrFeNi (0 ≤ x ≤ 2) high-entropy alloys. Mater. Sci. Eng. B 2009, 163, 184–189. [Google Scholar] [CrossRef]
- Tsai, K.Y.; Tsai, M.H.; Yeh, J.W. Sluggish diffusion in Co–Cr–Fe–Mn–Ni high-entropy alloys. Acta Mater. 2013, 61, 4887–4897. [Google Scholar] [CrossRef]
- Gludovatz, B.; Hohenwarter, A.; Catoor, D.; Chang, E.H.; George, E.P.; Ritchie, R.O. A fracture-resistant high-entropy alloy for cryogenic applications. Science 2014, 345, 1153–1158. [Google Scholar] [CrossRef] [PubMed]
- Zhang, Z.; Zhang, H.; Tang, Y.; Ye, Y.; Li, S.; Bai, S. Microstructure, mechanical properties and energetic characteristics of a novel high entropy alloy HfZrTiTa0.53. Mater. Des. 2017, 133, 435–443. [Google Scholar] [CrossRef]
- Liu, X.F.; Tian, Z.L.; Zhang, X.F.; Chen, H.H.; Liu, T.W.; Chen, Y.; Wang, Y.J.; Dai, L.H. Self-sharpening tungsten high-entropy alloy. Acta Mater. 2020, 186, 257–266. [Google Scholar] [CrossRef]
- Geantă, V.; Voiculescu, I.; Stefănoiu, R.; Chereches, T.; Zecheru, T.; Matache, L.; Rotariu, A. Dynamic Impact Behavior of High Entropy Alloys Used in the Military Domain. In Proceedings of the IOP Conference Series: Materials Science and Engineering, Iasi, Romania, 17–18 May 2018; Volume 374, p. 12041. [Google Scholar]
- Yang, X.; Zhang, Y.; Liaw, P. Microstructure and Compressive Properties of NbTiVTaAlx High Entropy Alloys. Procedia Eng. 2012, 36, 292–298. [Google Scholar] [CrossRef]
- Liu, J.; Guo, X.; Lin, Q.; He, Z.; An, X.; Li, L.; Liaw, P.K.; Liao, X.; Yu, L.; Lin, J.; et al. Excellent ductility and serration feature of metastable CoCrFeNi high-entropy alloy at extremely low temperatures. Sci. China Mater. 2019, 62, 853–863. [Google Scholar] [CrossRef]
- Zhao, D.; Fang, H.; Jin, T.; Zhang, T.; Chen, G.; Ma, S.; Wang, Z. Constitutive modeling and strain hardening of CoCrFeNiAlx high-entropy alloys. Mater. Res. Express 2019, 6, 1065h3. [Google Scholar] [CrossRef]
- Zhang, Z.; Jiang, Z.; Xie, Y.; Chan, S.L.I.; Liang, J.; Wang, J. Multiple deformation mechanisms induced by pre-twinning in CoCrFeNi high entropy alloy. Scr. Mater. 2022, 207, 114266. [Google Scholar] [CrossRef]
- Gali, A.; George, E. Tensile properties of high- and medium-entropy alloys. Intermetallics 2013, 39, 74–78. [Google Scholar] [CrossRef]
- Lu, P.; Zhang, T.; Zhao, D.; Ma, S.; Li, Q.; Wang, Z. Mechanical behaviors and texture evolution of CoCrFeNi high-entropy alloy under shear-tension deformation. J. Alloy. Compd. 2020, 815, 152479. [Google Scholar] [CrossRef]
- Senkov, O.N.; Scott, J.M.; Senkova, S.V.; Meisenkothen, F.; Miracle, D.B.; Woodward, C.F. Microstructure and elevated temperature properties of a refractory TaNbHfZrTi alloy. J. Mater. Sci. 2012, 47, 4062–4074. [Google Scholar] [CrossRef]
- Haihua, C.; Xianfeng, Z.; Wenjie, Z.; Zhilin, G.; Chuang, L.; Mengting, T.; Wei, X.; Haiying, W.; Lanhong, D. Effect of microstructure on flow behavior during penetration of W25Fe25Ni25Mo25 high-entropy alloy projectile. Chin. J. Theor. Appl. Mech. 2022, 54, 2140–2151. [Google Scholar]
- Xianwei, H.; Wei, X.; Haihua, C.; Xianfeng, Z.; Haiying, W.; Lanhong, D. Impact energy release and damage characteristics of two high-entropy alloys. Chin. J. Theor. Appl. Mech. 2021, 53, 2528–2540. [Google Scholar]
- Wu, S.; Xu, L.; Ma, X.; Jia, Y.; Mu, Y.; Wang, G.; Liu, C. Effect of annealing temperatures on microstructure and deformation behavior of Al0·1CrFeCoNi high-entropy alloy. Mater. Sci. Eng. A 2021, 805, 140523. [Google Scholar] [CrossRef]
- Li, Z.; Zhao, S.; Ritchie, R.O.; Meyers, M.A. Mechanical properties of high-entropy alloys with emphasis on face-centered cubic alloys. Prog. Mater. Sci. 2019, 102, 296–345. [Google Scholar] [CrossRef]
- Sajadi, S.A.; Toroghinejad, M.R.; Rezaeian, A.; Ebrahimi, G.R. Dynamic recrystallization behavior of the equiatomic FeCoCrNi high-entropy alloy during high temperature deformation. J. Mater. Res. Technol. 2022, 20, 1093–1109. [Google Scholar] [CrossRef]
- Meyers, M.A. Dynamic Behavior of Materials; John Wiley & Sons: Hoboken, NJ, USA, 1994. [Google Scholar]
- Thevamaran, R.; Lawal, O.; Yazdi, S.; Jeon, S.-J.; Lee, J.-H.; Thomas, E.L. Dynamic creation and evolution of gradient nanostructure in single-crystal metallic microcubes. Science 2016, 354, 312–316. [Google Scholar] [CrossRef]
- Liu, W.-H.; Tong, Y.; Chen, S.-W.; Xu, W.-W.; Wu, H.-H.; Zhao, Y.-L.; Yang, T.; Wang, X.-L.; Liu, X.; Kai, J.-J.; et al. Unveiling the Electronic Origin for Pressure-Induced Phase Transitions in High-Entropy Alloys. Matter 2020, 2, 751–763. [Google Scholar] [CrossRef]
- Wang, Z.; Zhang, T.; Tang, E.; Xiong, R.; Jiao, Z.; Qiao, J. Formation and deformation mechanisms in gradient nanostructured NiCoCrFe high entropy alloys upon supersonic impacts. Appl. Phys. Lett. 2021, 119, 201901. [Google Scholar] [CrossRef]
- Wang, R.; Tang, Y.; Li, S.; Bai, S. Research Progress on Deformation Mechanisms Under Dynamic Loading of High-Entropy Alloys. Mater. Rep. 2021, 35, 17001–17009. [Google Scholar]
- Kumar, N.; Ying, Q.; Nie, X.; Mishra, R.; Tang, Z.; Liaw, P.; Brennan, R.; Doherty, K.; Cho, K. High strain-rate compressive deformation behavior of the Al0.1CrFeCoNi high entropy alloy. Mater. Des. 2015, 86, 598–602. [Google Scholar] [CrossRef]
- Tian, Z.; Wang, J.; Ma, S.; Qiao, L.; Wang, Z. Dynamic Mechanical Behavior and Microstructure of the Al0.1CoCrFeNiTix High-Entropy Alloys. Adv. Eng. Mater. 2022, 24, 2101260. [Google Scholar] [CrossRef]
- Otto, F.; Dlouhý, A.; Somsen, C.; Bei, H.; Eggeler, G.; George, E.P. The influences of temperature and microstructure on the tensile properties of a CoCrFeMnNi high-entropy alloy. Acta Mater. 2013, 61, 5743–5755. [Google Scholar] [CrossRef]
- Ma, Y.; Yuan, F.; Yang, M.; Jiang, P.; Ma, E.; Wu, X. Dynamic shear deformation of a CrCoNi medium-entropy alloy with heterogeneous grain structures. In Heterostructured Materials; Jenny Stanford Publishing: Singapore, 2021; pp. 613–640. [Google Scholar]
- Yu, P.; Feng, R.; Du, J.; Shinzato, S.; Chou, J.P.; Chen, B.; Lo, Y.C.; Liaw, P.K.; Ogata, S.; Hu, A. Phase transformation assisted twinning in a face-centered-cubic FeCrNiCoAl0.36 high entropy alloy. Acta Mater. 2019, 181, 491–500. [Google Scholar] [CrossRef]
























| Annealing Temperature | Size/(mm × mm) | Force/kN | Strain Rate/s−1 | Yield Stress/MPa | 
|---|---|---|---|---|
| initial | Φ6.9 × 7.0 | 100.04 | 0.001 | 180 | 
| 600 °C | Φ7.0 × 7.3 | 100.06 | 0.001 | 250 | 
| 750 °C | Φ6.8 × 6.9 | 100.02 | 0.001 | 226 | 
| 850 °C | Φ6.8 × 7.0 | 100.04 | 0.001 | 190 | 
| 1000 °C | Φ6.8 × 6.9 | 100.02 | 0.001 | 188 | 
| Annealing Temperature | Size/(mm × mm) | Strain Rate/s−1 | Yield Stress/MPa | 
|---|---|---|---|
| Initial | Φ4.03 × 4.96 | 2964 | 215.00 | 
| Φ3.88 × 5.06 | 3515 | 283.43 | |
| Φ3.99 × 4.98 | 3614 | 287.00 | |
| 600 °C | Φ3.70 × 5.00 | 2027 | 351.71 | 
| Φ3.80 × 4.90 | 2044 | 358.91 | |
| Φ3.80 × 5.00 | 3106 | 369.21 | |
| Φ3.99 × 4.98 | 3998 | 640.56 | |
| 750 °C | Φ3.74 × 4.88 | 1870 | 266.11 | 
| Φ3.99 × 4.98 | 2981 | 315.52 | |
| Φ4.00 × 4.97 | 3866 | 318.35 | |
| 850 °C | Φ3.73 × 5.00 | 2266 | 228.81 | 
| Φ3.88 × 5.01 | 3098 | 232.41 | |
| Φ3.99 × 4.98 | 3874 | 255.54 | |
| 1000 °C | Φ3.89 × 4.99 | 2187 | 221.86 | 
| Φ3.90 × 5.02 | 3227 | 243.12 | |
| Φ3.78 × 5.01 | 3863 | 264.53 | 
| No. | Projectile | Velocity/m·s−1 | DOP/mm | Diameter of Crater/mm | VOC/mm3 | 
|---|---|---|---|---|---|
| 1 | Steel-1 | 803 | 4.37 | 15.72 | 489.38 | 
| 2 | Steel-2 | 1154 | 9.83 | 18.08 | 1832 | 
| 3 | Steel-3 | 1180 | 10.93 | 19.92 | 2063 | 
| 4 | Steel-4 | 1316 | 17.53 | 19.92 | 3759 | 
| 5 | 0-1 | 895 | 4.98 | 16.79 | 814 | 
| 6 | 0-2 | 1033 | 9.42 | 23.07 | 2031 | 
| 7 | 0-3 | 1085 | 13.24 | 22.51 | 2958 | 
| 8 | 0-4 | 1136 | 12.66 | 21.19 | 2666 | 
| 9 | 0-5 | 1301 | 19.59 | 22.21 | 4745 | 
| 10 | 0-6 | 1429 | 19.06 | 22.34 | 4640 | 
| 11 | 600-1 | 814 | 4.77 | 18.79 | 623.67 | 
| 12 | 600-2 | 975 | 10.60 | 21.01 | 1931.04 | 
| 13 | 600-3 | 1001 | 11.89 | 21.55 | 2251.21 | 
| 14 | 600-4 | 1152 | 18.73 | 22.17 | 4212.58 | 
| 15 | 750-1 | 797 | 3.81 | 19.11 | 651.38 | 
| 16 | 750-2 | 955 | 10.38 | 21.01 | 1975.36 | 
| 17 | 750-3 | 1024 | 12.80 | 21.67 | 2806.43 | 
| 18 | 750-4 | 1108 | 14.64 | 20.53 | 2965.5 | 
| 19 | 850-1 | 798 | 4.31 | 17.25 | 462.67 | 
| 20 | 850-2 | 924 | 7.32 | 18.88 | 879.40 | 
| 21 | 850-2 | 1052 | 11.51 | 20.87 | 1817.44 | 
| 22 | 850-3 | 1071 | 13.89 | 23.12 | 2463.63 | 
| 23 | 850-4 | 1340 | 17.17 | 23.30 | 3507.23 | 
| 24 | 1000-1 | 877 | 4.38 | 18.27 | 402.69 | 
| 25 | 1000-2 | 986 | 10.01 | 20.32 | 1617.50 | 
| 26 | 1000-3 | 1039 | 12.01 | 20.92 | 2194.79 | 
| 27 | 1000-4 | 1212 | 17.90 | 22.29 | 3926.65 | 
| Publisher’s Note: MDPI stays neutral with regard to jurisdictional claims in published maps and institutional affiliations. | 
© 2022 by the authors. Licensee MDPI, Basel, Switzerland. This article is an open access article distributed under the terms and conditions of the Creative Commons Attribution (CC BY) license (https://creativecommons.org/licenses/by/4.0/).
Share and Cite
Hou, X.; Zhang, X.; Liu, C.; Chen, H.; Xiong, W.; Chen, J.; Tan, M. Effects of Annealing Temperatures on Mechanical Behavior and Penetration Characteristics of FeNiCoCr High-Entropy Alloys. Metals 2022, 12, 1885. https://doi.org/10.3390/met12111885
Hou X, Zhang X, Liu C, Chen H, Xiong W, Chen J, Tan M. Effects of Annealing Temperatures on Mechanical Behavior and Penetration Characteristics of FeNiCoCr High-Entropy Alloys. Metals. 2022; 12(11):1885. https://doi.org/10.3390/met12111885
Chicago/Turabian StyleHou, Xianwei, Xianfeng Zhang, Chuang Liu, Haihua Chen, Wei Xiong, Jie Chen, and Mengting Tan. 2022. "Effects of Annealing Temperatures on Mechanical Behavior and Penetration Characteristics of FeNiCoCr High-Entropy Alloys" Metals 12, no. 11: 1885. https://doi.org/10.3390/met12111885
APA StyleHou, X., Zhang, X., Liu, C., Chen, H., Xiong, W., Chen, J., & Tan, M. (2022). Effects of Annealing Temperatures on Mechanical Behavior and Penetration Characteristics of FeNiCoCr High-Entropy Alloys. Metals, 12(11), 1885. https://doi.org/10.3390/met12111885
 
        


 
       