Effect of Current Input Method and Solid Fraction on the Roundness and Mechanical Properties in Semi-Solid Processing of Aluminum Materials
Abstract
1. Introduction
2. Experimental Equipment and Material
2.1. Electromagnetic Stirrer
2.2. A356 Alloy
3. Experiment
3.1. Current Input Method for A356 Alloy
3.2. Manufacturing for Two-Cavity Lower Arm
4. Results and Discussion
5. Conclusions
- Using EMS for die-casting, it was confirmed that the optimal melting temperature of products with good castability with a solid fraction of 20–30% was 600–610 °C.
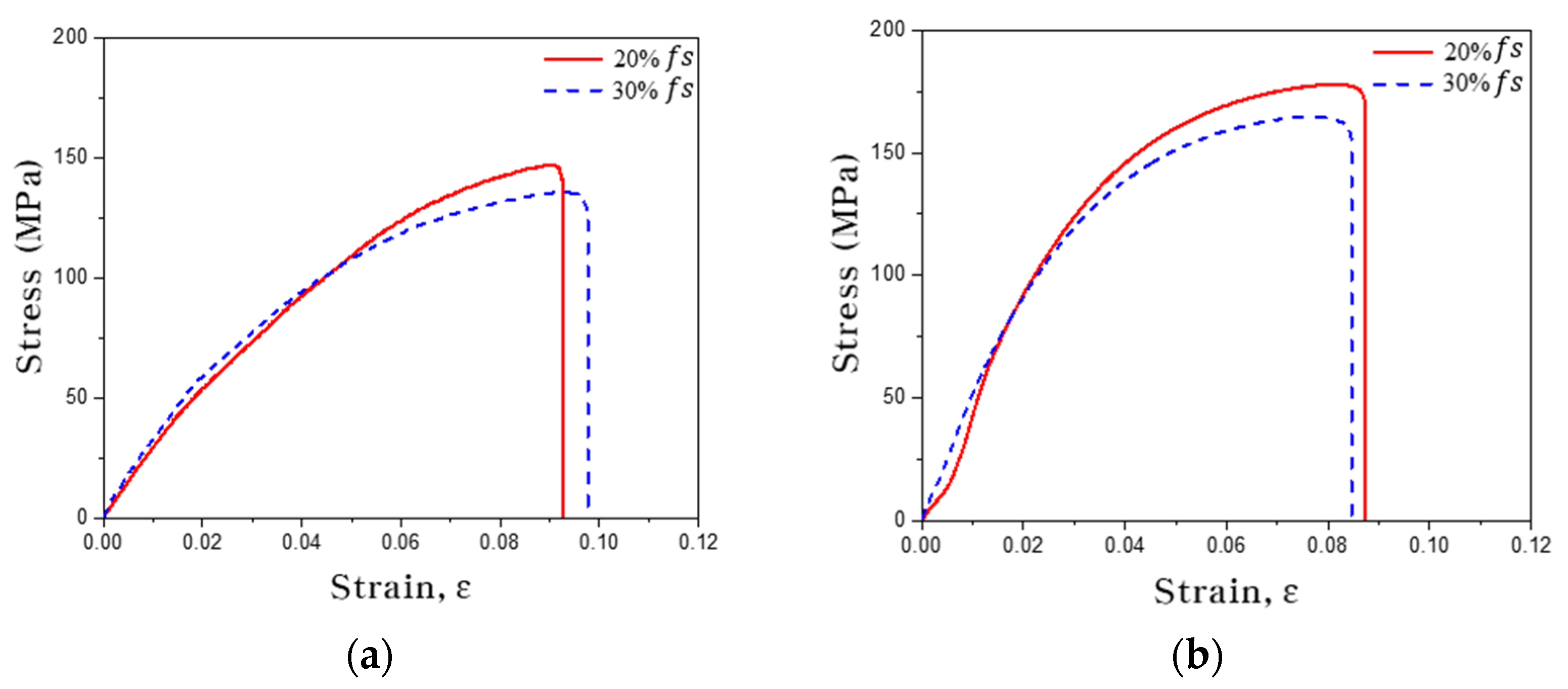
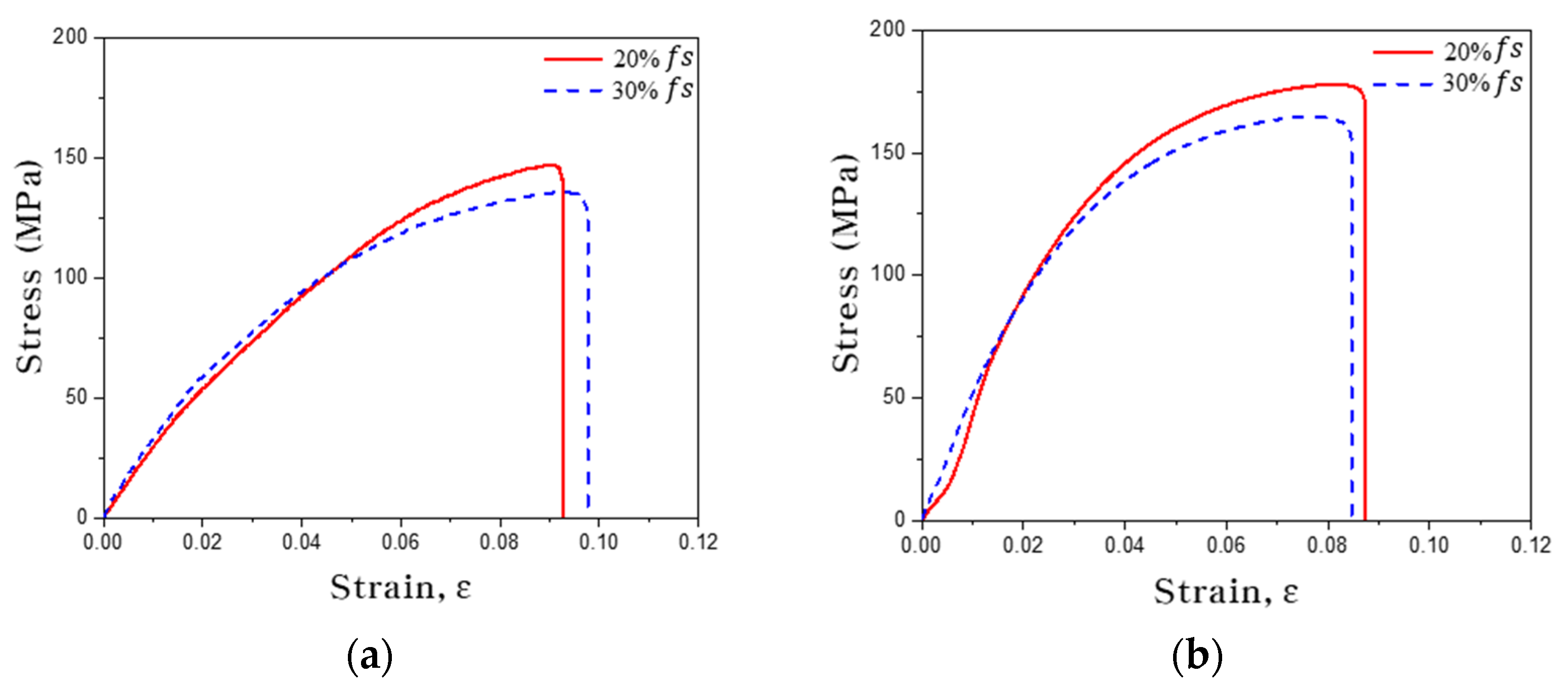
- The mechanical properties were superior when an AC was used as the current input method: the tensile strength and elongation were 177 MPa and 8.7%, respectively, compared to 147 MPa and 9.2% when the input method was a DC, confirming that the tensile strength was improved by 20%.
- The tensile strength of the material containing a solid fraction of 20% was 8% higher compared to that of the material with a solid fraction of 30%. In terms of the equivalent diameter and roundness, those of the material with a solid fraction of 20% prepared with an AC yielded the most optimal results.
- The manufactured lower arm made of 16kg molten metal under the optimal conditions at 5 kg showed good mechanical properties depending on the positions and showed 39% higher tensile strength through the T6 heat treatment.
Author Contributions
Funding
Data Availability Statement
Conflicts of Interest
References
- Kaplan, Y.; Tan, E.; Ada, H.; Aksöz, S. Comparison of the effects of B4C and SiC reinforcement in Al-Si matrix alloys produced via PM method. In Light Metals; Springer: Berlin/Heidelberg, Germany, 2019; pp. 129–134. [Google Scholar]
- Patel, J.B.; Liu, Y.Q.; Shao, G.; Fan, Z. Rheo-processing of an alloy specifically designed for semi-solid metal processing based on the Al–Mg–Si system. Mater. Sci. Eng. A 2008, 479, 341–349. [Google Scholar] [CrossRef]
- Hirsch, J. Recent development in aluminium for automotive applications. Trans. Nonferrous Met. Soc. China 2014, 24, 1995–2002. [Google Scholar] [CrossRef]
- Kim, H.H.; Lee, M.S.; Kang, C.G. Reduction in liquid segregation and microstructure improvement in a semisolid die casting process by varying injection velocity. Metall. Mater. Trans. B 2011, 42, 156–170. [Google Scholar] [CrossRef]
- Pola, A.; Tocci, M.; Kapranos, P. Microstructure and Properties of Semi-Solid Aluminum Alloys: A Literature Review. Metals 2018, 8, 181. [Google Scholar] [CrossRef]
- Kapranos, P. Current state of semi-solid net-shape die casting. Metals 2019, 9, 1301. [Google Scholar] [CrossRef]
- Irani, S.B.; Z-Hanzaki, A.; Bazaz, B.; Roosraei, A.A. Microstructure evolution and semi-solid deformation behavior of an A356 aluminum alloy processed by strain induced melt activated method. Mater. Des. 2013, 46, 579–587. [Google Scholar] [CrossRef]
- Ko, J.H.; Seo, P.K.; Kang, C.G. A Study on Rheology Forming Process of Al-7%Si Alloy with Electromagnetic Application. Trans. Mater. Processing 2006, 15, 195–205. [Google Scholar]
- Jaberi, F.S.; Cockcroft, S.L.; Maijer, D.M.; Philion, A.B. Comparison of the semi-solid constitutive behaviour of A356 and B206 aluminum foundry alloys. J. Mater. Processing Technol. 2019, 266, 37–45. [Google Scholar] [CrossRef]
- Bae, J.W.; Kim, T.W.; Kang, C.G. Experimental investigation for rheology forming process of Al–7% Si aluminum alloy with electromagnetic system. J. Mater. Processing Technol. 2007, 191, 165–169. [Google Scholar] [CrossRef]
- Kang, C.G.; Jin, C.K.; Bolouri, A. Semisolid forming of thin plates with microscale features. Procedia Eng. 2014, 81, 63–74. [Google Scholar] [CrossRef][Green Version]
- Spencer, D.B.; Mehrabian, R.; Flemings, M.C. Rheological behavior of Sn-15 pct Pb in the crystallization range. Metall. Mater. Trans. B 1972, 3, 1925–1932. [Google Scholar] [CrossRef]
- Kang, C.G.; Bae, J.W.; Kim, B.M. The grain size control of A356 aluminum alloy by horizontal electromagnetic stirring for rheology forging. J. Mater. Processing Technol. 2007, 187, 344–348. [Google Scholar] [CrossRef]
- Zoqui, E.J.; Paes, M.; Sadipi, E.E. Macro- and microstructure analysis of SSM A356 produced by electromagnetic stirring. J. Mater. Processing Technol. 2002, 120, 365–373. [Google Scholar] [CrossRef]
- Tsai, Y.C.; Chou, C.Y.; Lee, S.L.; Lin, C.K.; Lin, J.C.; Lim, S.W. Effect of trace La addition on the microstructures and mechanical properties of A356 (Al–7Si–0.35Mg) aluminum alloys. J. Alloy. Compd. 2009, 487, 157–162. [Google Scholar] [CrossRef]
- Park, C.; Kim, S.S.; Kwon, Y.N.; Lee, Y.S.; Lee, J.H. Mechanical and corrosion properties of rheocast and low-pressure cast A356-T6 alloy. Mater. Sci. Eng. A 2005, 391, 86–94. [Google Scholar] [CrossRef]
- Kurz, W.; Fisher, D.J. Fundamentals of Solidification; CRC Press: Boca Raton, FL, USA, 1984. [Google Scholar]
- Lee, M.S.; Kang, C.G. Comparative study of direct and indirect forging processes for rheological material of A356 aluminium alloy. Mater. Sci. Technol. 2011, 27, 406–415. [Google Scholar] [CrossRef]
- Kim, H.H.; Kang, C.G. Vacuum-assisted rheo-forging process of A356 aluminum alloys. Int. J. Mach. Tools Manuf. 2008, 48, 1626–1636. [Google Scholar] [CrossRef]











| Si | Mg | Ti | Fe | Sr | Zn | Pb | Ni |
|---|---|---|---|---|---|---|---|
| 7.000 | 0.350 | 0.120 | 0.080 | 0.022 | 0.020 | 0.016 | 0.010 |
| Mn | Cu | Sn | Cr | Ca | Al | TL | TS |
| 0.008 | 0.008 | 0.007 | 0.001 | 0.001 | Bal | 617 °C | 553 °C |
| No | Final Temperature (°C) /Solid Fraction (%) | Magnetic Impression Method | Stirring | Stirring Current (A) | Current Input | Hertz (Hz) |
|---|---|---|---|---|---|---|
| 1 | 614/10 | symmetry magnetic pole | Yes | 120A | direct current | - |
| 2 | 610/20 | symmetry magnetic pole | Yes | 120A | direct current | - |
| 3 | 600/30 | symmetry magnetic pole | Yes | 120A | direct current | - |
| 4 | 588/40 | symmetry magnetic pole | Yes | 120A | direct current | - |
| 5 | 614/10 | three-phase magnetic pole | Yes | - | alternating current | 45/55 |
| 6 | 610/20 | three-phase magnetic pole | Yes | - | alternating current | 45/55 |
| 7 | 600/30 | three-phase magnetic pole | Yes | - | alternating current | 45/55 |
| 8 | 588/40 | three-phase magnetic pole | Yes | - | alternating current | 45/55 |
| Final Temperature (°C) /Solid Fraction (%) | Magnetic Impression Method | Stirring | Current Input | Hertz (Hz) |
|---|---|---|---|---|
| 610/20 | three-phase magnetic pole | Yes | alternating current | 45/55 |
Publisher’s Note: MDPI stays neutral with regard to jurisdictional claims in published maps and institutional affiliations. |
© 2022 by the authors. Licensee MDPI, Basel, Switzerland. This article is an open access article distributed under the terms and conditions of the Creative Commons Attribution (CC BY) license (https://creativecommons.org/licenses/by/4.0/).
Share and Cite
Lee, W.-J.; Babu, J.-P.-S.-S.; Kang, C.-G.; Lee, M.-S. Effect of Current Input Method and Solid Fraction on the Roundness and Mechanical Properties in Semi-Solid Processing of Aluminum Materials. Metals 2022, 12, 1670. https://doi.org/10.3390/met12101670
Lee W-J, Babu J-P-S-S, Kang C-G, Lee M-S. Effect of Current Input Method and Solid Fraction on the Roundness and Mechanical Properties in Semi-Solid Processing of Aluminum Materials. Metals. 2022; 12(10):1670. https://doi.org/10.3390/met12101670
Chicago/Turabian StyleLee, Won-Jin, Janarthanan-Pillai-Sumathi-Suresh Babu, Chung-Gil Kang, and Min-Sik Lee. 2022. "Effect of Current Input Method and Solid Fraction on the Roundness and Mechanical Properties in Semi-Solid Processing of Aluminum Materials" Metals 12, no. 10: 1670. https://doi.org/10.3390/met12101670
APA StyleLee, W.-J., Babu, J.-P.-S.-S., Kang, C.-G., & Lee, M.-S. (2022). Effect of Current Input Method and Solid Fraction on the Roundness and Mechanical Properties in Semi-Solid Processing of Aluminum Materials. Metals, 12(10), 1670. https://doi.org/10.3390/met12101670

