Optimization of 3D Printing Parameters on Deformation by BP Neural Network Algorithm
Abstract
1. Introduction
2. Experimental Method
2.1. Design of the Print Model
2.2. Design of the Orthogonal Test
2.3. Design of the BP Neural Network
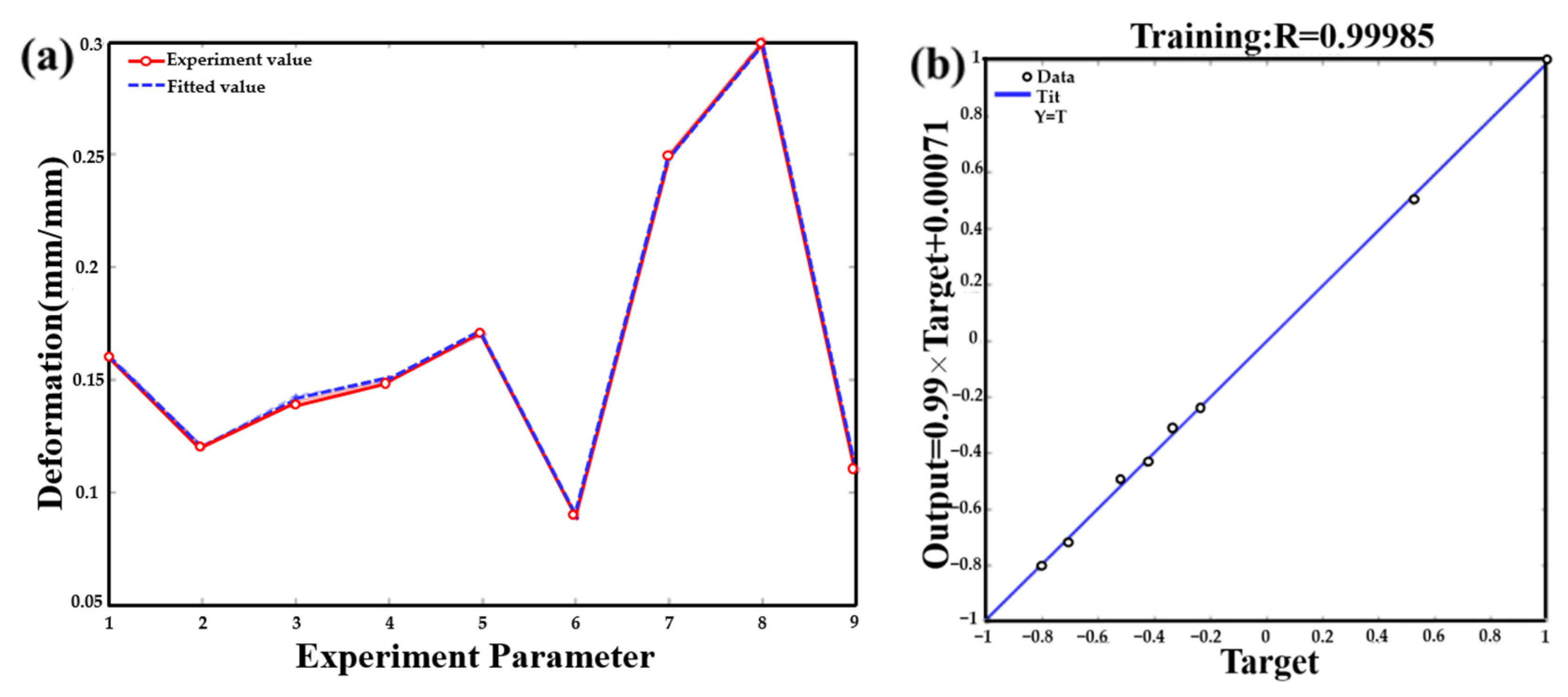
3. Results and Discussion
4. Conclusions
Author Contributions
Funding
Data Availability Statement
Conflicts of Interest
References
- Jaksic, N.I.; Desai, P.D. Characterization of 3D-printed capacitors created by fused filament fabrication using electrically-conductive filament. Procedia Manuf. 2019, 38, 33–41. [Google Scholar] [CrossRef]
- Allen, M.; Chen, W.; Wang, C. 3D printing standards and verification services. Appl. Innov. Rev. 2016, 2, 34–44. [Google Scholar]
- Gopinathan, J.; Noh, I. Recent trends in bioinks for 3D printing. Biomater. Res. 2018, 22, 1–15. [Google Scholar] [CrossRef] [PubMed]
- Monzón, M.D.; Ortega, Z.; Martínez, A.; Ortega, F. Standardization in additive manufacturing: Activities carried out by international organizations and projects. Int. J. Adv. Manuf. Technol. 2015, 76, 1111–1121. [Google Scholar] [CrossRef]
- Bak, D. Rapid prototyping or rapid production? 3D printing processes move industry towards the latter. Assem. Autom. 2003, 23, 340–345. [Google Scholar] [CrossRef]
- Starosolski, Z.A.; Kan, J.H.; Rosenfeld, S.D.; Krishnamurthy, R.; Annapragada, A. Application of 3-D printing (rapid prototyping) for creating physical models of pediatric orthopedic disorders. Pediatr. Radiol. 2013, 44, 216–221. [Google Scholar] [CrossRef]
- Junk, S.; Kuen, C. Review of open source and freeware CAD systems for use with 3D-printing. Procedia CIRP 2016, 50, 430–435. [Google Scholar] [CrossRef]
- Gaikwad, V.; Ghose, A.; Cholake, S.; Rawal, A.; Iwato, M.; Sahajwalla, V. Transformation of E-waste plastics into sustainable filaments for 3D printing. ACS Sustain. Chem. Eng. 2018, 6, 14432–14440. [Google Scholar] [CrossRef]
- Sutton, J.T.; Rajan, K.; Harper, D.P.; Chmely, S.C. Lignin-containing photoactive resins for 3D printing by stereolithography. ACS Appl. Mater. Interfaces 2018, 10, 36456–36463. [Google Scholar] [CrossRef]
- Park, J.-M.; Ahn, J.-S.; Cha, H.-S.; Lee, J.-H. Wear resistance of 3D printing resin material opposing zirconia and metal antagonists. Materials 2018, 11, 1043. [Google Scholar] [CrossRef]
- Rayna, T.; Striukova, L. From rapid prototyping to home fabrication: How 3D printing is changing business model innovation. Technol. Forecast. Soc. Chang. 2016, 102, 214–224. [Google Scholar] [CrossRef]
- Dudek, P. FDM 3D printing technology in manufacturing composite elements. Arch. Met. Mater. 2013, 58, 1415–1418. [Google Scholar] [CrossRef]
- Lee, J.Y.; Tan, W.S.; An, J.; Chua, C.K.; Tang, C.Y.; Fane, A.G.; Chong, T.H. The potential to enhance membrane module design with 3D printing technology. J. Membr. Sci. 2016, 499, 480–490. [Google Scholar] [CrossRef]
- Shahrubudin, N.; Lee, T.C.; Ramlan, R. An overview on 3D printing technology: Technological, materials, and applications. Procedia Manuf. 2019, 35, 1286–1296. [Google Scholar] [CrossRef]
- Juskova, P.; Ollitrault, A.; Serra, M.; Viovy, J.-L.; Malaquin, L. Resolution improvement of 3D stereo-lithography through the direct laser trajectory programming: Application to microfluidic deterministic lateral displacement device. Anal. Chim. Acta 2018, 1000, 239–247. [Google Scholar] [CrossRef]
- Kechagias, J.; Stavropoulos, P.; Koutsomichalis, A.; Ntintakis, I.; Vaxevanidis, N. Dimensional accuracy optimization of prototypes produced by polyJet direct 3D printing technology. Adv. Eng. Mech. Mater. 2014, 978, 61–65. [Google Scholar]
- Liu, Z.; Wang, Y.; Wu, B.; Cui, C.; Guo, Y.; Yan, C. A critical review of fused deposition modeling 3D printing technology in manufacturing polylactic acid parts. Int. J. Adv. Manuf. Technol. 2019, 102, 2877–2889. [Google Scholar] [CrossRef]
- Simionato, G.; Hinkelmann, K.; Chachanidze, R.; Bianchi, P.; Fermo, E.; van Wijk, R.; Leonetti, M.; Wagner, C.; Kaestner, L.; Quint, S. Red blood cell phenotyping from 3D confocal images using artificial neural networks. PLoS Comput. Biol. 2021, 17, 1008934. [Google Scholar] [CrossRef]
- Masi, F.; Stefanou, I.; Vannucci, P.; Maffi-Berthier, V. Thermodynamics-based Artificial Neural Networks for constitutive modeling. J. Mech. Phys. Solids 2020, 147, 104277. [Google Scholar] [CrossRef]
- Ding, S.; Su, C.; Yu, J. An optimizing BP neural network algorithm based on genetic algorithm. Artif. Intell. Rev. 2011, 36, 153–162. [Google Scholar] [CrossRef]
- Zhao, Z.; Xin, H.; Ren, Y.; Guo, X. Application and comparison of BP neural network algorithm in MATLAB. In Proceedings of the 2010 International Conference on Measuring Technology and Mechatronics Automation, Changsha, China, 13–14 March 2010; pp. 590–593. [Google Scholar]
- Ding, S.; Jia, W.; Su, C.; Liu, X.; Chen, J. An improved BP neural network algorithm based on factor analysis. J. Converg. Inf. Technol. 2010, 5, 103–108. [Google Scholar]
- Liu, L.; Chen, J.; Xu, L. Realization and application research of BP neural network based on MATLAB. In Proceedings of the 2008 International Seminar on Future BioMedical Information Engineering, Wuhan, China, 18 December 2008; pp. 130–133. [Google Scholar]
- Panahizadeh, V.; Ghasemi, A.H.; Asl, Y.D.; Davoudi, M. Optimization of LB-PBF process parameters to achieve best relative density and surface roughness for Ti6Al4V samples: Using NSGA-II algorithm. Rapid Prototyp. J. 2022. ahead-of-print. [Google Scholar] [CrossRef]
- Cheng, W.; Fuh, J.Y.H.; Nee, A.Y.C.; Wong, Y.S.; Loh, H.T.; Miyazawa, T. Multi-objective optimization of part-building orientation in stereolithography. Rapid Prototyp. J. 1995, 1, 12–23. [Google Scholar] [CrossRef]
- Cheng, L.; Zhang, P.; Biyikli, E.; Bai, J.; Robbins, J.; To, A. Efficient design optimization of variable-density cellular structures for additive manufacturing: Theory and experimental validation. Rapid Prototyp. J. 2017, 23, 660–677. [Google Scholar] [CrossRef]
- Chen, H.; Zhao, Y.F. Process parameters optimization for improving surface quality and manufacturing accuracy of binder jetting additive manufacturing process. Rapid Prototyp. J. 2016, 22, 527–538. [Google Scholar] [CrossRef]
- Modi, Y.K.; Sanadhya, S. Design and additive manufacturing of patient-specific cranial and pelvic bone implants from computed tomography data. J. Braz. Soc. Mech. Sci. Eng. 2018, 40, 503. [Google Scholar] [CrossRef]
- Ruijiang, L.; Yewang, Z.; Chongwei, W.; Tang, J. Study on the design and analysis methods of orthogonal experiment. Exp. Technol. Manag. 2010, 9, 52–55. [Google Scholar]
- Feng, Z.K.; Niu, W.J.; Cheng, C.T.; Liao, S.L. Hydropower system operation optimization by discrete differential dynamic programming based on orthogonal experiment design. Energy 2017, 126, 720–732. [Google Scholar] [CrossRef]
- Morelli, E.; DeLoach, R. Wind tunnel database development using modern experiment design and multivariate orthogonal functions. In Proceedings of the 41st Aerospace Sciences Meeting and Exhibit, Reno, Nevada, 6–9 January 2003; p. 653. [Google Scholar]
- Sun, W.; Tian, M.; Zhang, P.; Wei, H.; Hou, G.; Wang, Y. Optimization of plating processing, microstructure and properties of Ni–TiC coatings based on BP artificial neural networks. Trans. Indian Inst. Met. 2016, 69, 1501–1511. [Google Scholar] [CrossRef]
- Dong, R.H.; Xiao, B.H.; Fang, Y.S. The theoretical analysis of orthogonal test designs. J. Anhui Inst. Archit. 2004, 6, 29. [Google Scholar]
- Nelder, J.A. The analysis of randomized experiments with orthogonal block structure. II. Treatment structure and the general analysis of variance. Proc. R. Soc. Lond. Ser. A Math. Phys. Sci. 1965, 283, 163–178. [Google Scholar]
- Li, Y.; She, L.; Wen, L.; Zhang, Q. Sensitivity analysis of drilling parameters in rock rotary drilling process based on orthogonal test method. Eng. Geol. 2020, 270, 105576. [Google Scholar] [CrossRef]
- Zhang, W.F.; Zhu, D.; Zeng, Y.B. Study of optimizing process parameters about Ni-SiC composite electrodeposition based on BP neural network. J. Funct. Mater. 2004, 35, 383–384. [Google Scholar]
- Ning, Y.; Liu, Y.; Zhang, H.; Ji, Q. Comparison of different BP neural network models for short-term load forecasting. In Proceedings of the 2010 IEEE International Conference on Intelligent Computing and Intelligent Systems, Xiamen, China, 29–31 October 2010; pp. 435–438. [Google Scholar]
- Saini, L.; Soni, M. Artificial neural network based peak load forecasting using Levenberg–Marquardt and quasi-Newton methods. IEEE Proc. Gener. Transm. Distrib. 2020, 149, 578–584. [Google Scholar] [CrossRef]
- Selvakumar, N.; Radha, P.; Narayanasamy, R.; Davidson, M.J. Prediction of deformation characteristics of sintered aluminium preforms using neural networks. Model. Simul. Mater. Sci. Eng. 2004, 12, 611. [Google Scholar] [CrossRef]
- Liu, X.S.; Deng, Z.; Wang, T.L. Real estate appraisal system based on GIS and BP neural network. Trans. Nonferrous Met. Soc. China 2011, 21, s626–s630. [Google Scholar] [CrossRef]
- Wan, Y.; Wu, J.; Chu, R.; Miao, Z.; Fan, L.; Bai, L.; Meng, X. Prediction of BP neural network and preliminary application for suppression of low-temperature oxidation of coal stockpiles by pulverized coal covering. Can. J. Chem. Eng. 2020, 98, 2587–2598. [Google Scholar] [CrossRef]
- Shenglong, W.; Tonghui, S. The application on the forecast of steam turbine exhaust wetness fraction with GA BP neural network. World Autom. Congr. 2012, 2012, 1–4. [Google Scholar]







| Level | A (mm/s) | T (°C) | W (%) | D (mm) |
|---|---|---|---|---|
| 1 | 40 | 200 | 30 | 0.1 |
| 2 | 45 | 210 | 40 | 0.2 |
| 3 | 50 | 220 | 50 | 0.3 |
| Sample | A (mm/s) | T (°C) | W (%) | D (mm) | S (mm/mm) |
|---|---|---|---|---|---|
| 1 | 1 (40) | 1 (200) | 1 (30) | 1 (0.1) | 0.16 |
| 2 | 1 (40) | 2 (210) | 2 (40) | 2 (0.2) | 0.12 |
| 3 | 1 (40) | 3 (220) | 3 (50) | 3 (0.3) | 0.14 |
| 4 | 2 (45) | 1 (200) | 2 (40) | 3 (0.30 | 0.15 |
| 5 | 2 (45) | 2 (210) | 3 (50) | 1 (0.1) | 0.17 |
| 6 | 2 (45) | 3 (220) | 1 (30) | 2 (0.2) | 0.09 |
| 7 | 3 (50) | 1 (200) | 3 (50) | 2 (0.2) | 0.25 |
| 8 | 3 (50) | 2 (210) | 1 (30) | 3 (0.3) | 0.30 |
| 9 | 3 (50) | 3 (220) | 2 (40) | 1 (0.1) | 0.11 |
| Level | A (mm/s) | T (°C) | W (%) | D (mm) |
|---|---|---|---|---|
| K1 | 0.42 | 0.56 | 0.55 | 0.44 |
| K2 | 0.41 | 0.59 | 0.38 | 0.46 |
| K3 | 0.66 | 0.34 | 0.56 | 0.59 |
| Rj | 0.083 | 0.084 | 0.061 | 0.050 |
| Level | Deviation Square Sum | Degree of Freedom | F Value | Significant Level |
|---|---|---|---|---|
| A | 0.012 | 2 | 1.333 | *** |
| T | 0.013 | 2 | 1.444 | **** |
| W | 0.007 | 2 | 0.778 | ** |
| D | 0.004 | 2 | 0.444 | * |
| Error | 0.04 | 8 |
| Sample | A (mm/s) | T (°C) | W (%) | D (mm) | S (mm/mm) |
|---|---|---|---|---|---|
| 1 | 0 | 0 | 0 | 0 | 0.33 |
| 2 | 0 | 0.5 | 0.5 | 0.5 | 0.14 |
| 3 | 0 | 1 | 1 | 1 | 0.23 |
| 4 | 0.5 | 0 | 0.5 | 1 | 0.28 |
| 5 | 0.5 | 0.5 | 1 | 0 | 0.38 |
| 6 | 0.5 | 1 | 0 | 0.5 | 0 |
| 7 | 1 | 0 | 1 | 0.5 | 0.76 |
| 8 | 1 | 0.5 | 0 | 1 | 1 |
| 9 | 1 | 1 | 1.5 | 0 | 0.09 |
| Sample | Experimental Value | Fitting Value | Relative Error/×10−2 |
|---|---|---|---|
| 1 | 0.16 | 0.161 | 0.62 |
| 2 | 0.12 | 0.126 | 0.50 |
| 3 | 0.14 | 0.141 | 0.71 |
| 4 | 0.15 | 0.151 | 0.67 |
| 5 | 0.17 | 0.172 | 0.12 |
| 6 | 0.09 | 0.094 | 0.44 |
| 7 | 0.25 | 0.249 | 0.36 |
| 8 | 0.30 | 0.299 | 0.04 |
| 9 | 0.11 | 0.108 | 0.18 |
| Location | The Set Value (mm) | Measured Value (mm) | Error/×10−2 |
|---|---|---|---|
| A | 5 | 4.91 | 1.8 |
| B | 5 | 4.97 | 0.6 |
| C | 5 | 5.03 | 0.6 |
| D | 5 | 5.11 | 2.2 |
| E | 4 | 4.12 | 3.0 |
| F | 4.5 | 4.52 | 0.4 |
| G | 4.5 | 4.57 | 1.6 |
| H | 4 | 4.10 | 2.5 |
| I | 4 | 4.12 | 3.0 |
Publisher’s Note: MDPI stays neutral with regard to jurisdictional claims in published maps and institutional affiliations. |
© 2022 by the authors. Licensee MDPI, Basel, Switzerland. This article is an open access article distributed under the terms and conditions of the Creative Commons Attribution (CC BY) license (https://creativecommons.org/licenses/by/4.0/).
Share and Cite
Li, Y.; Ding, F.; Tian, W. Optimization of 3D Printing Parameters on Deformation by BP Neural Network Algorithm. Metals 2022, 12, 1559. https://doi.org/10.3390/met12101559
Li Y, Ding F, Tian W. Optimization of 3D Printing Parameters on Deformation by BP Neural Network Algorithm. Metals. 2022; 12(10):1559. https://doi.org/10.3390/met12101559
Chicago/Turabian StyleLi, Yu, Feng Ding, and Weijun Tian. 2022. "Optimization of 3D Printing Parameters on Deformation by BP Neural Network Algorithm" Metals 12, no. 10: 1559. https://doi.org/10.3390/met12101559
APA StyleLi, Y., Ding, F., & Tian, W. (2022). Optimization of 3D Printing Parameters on Deformation by BP Neural Network Algorithm. Metals, 12(10), 1559. https://doi.org/10.3390/met12101559
