Preparation and Preliminary Evaluation of Silver-Modified Anodic Alumina for Biomedical Applications
Abstract
:1. Introduction
2. Materials and Methods
2.1. Anodic Alumina Oxide Preparation
2.2. Chemical Deposition of Silver
2.3. Silver Amount Determination
2.4. Microstructure Characterization of the Silver-Modified Structures
2.5. Electrochemical Analysis
2.6. Cell Lines and In Vitro Cultivation Conditions
2.7. Biocompatibility Evaluations
2.8. Cell Morphology Analysis
2.9. Statistics
3. Results and Discussion
3.1. Scanning Electron Microscope Observations
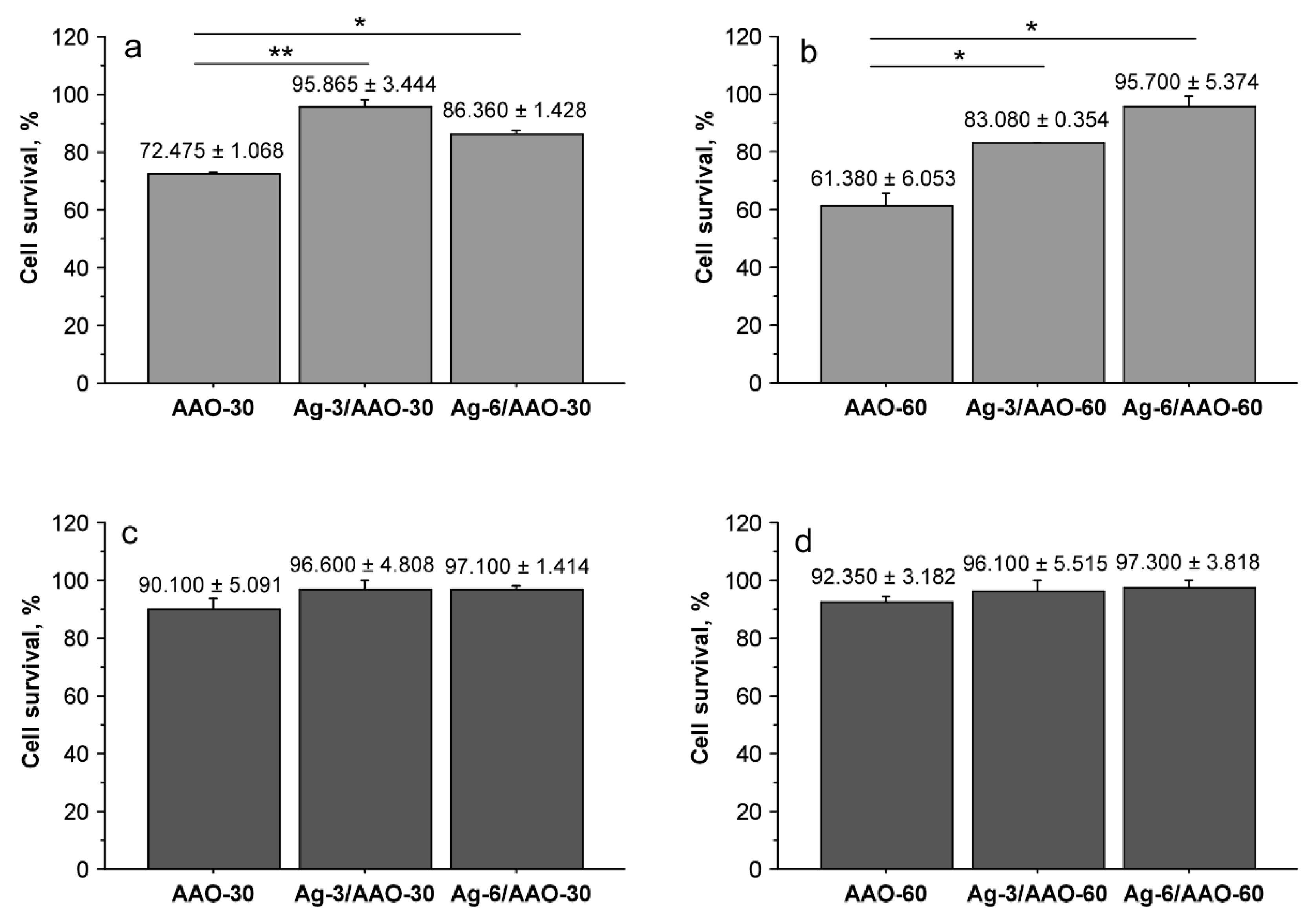
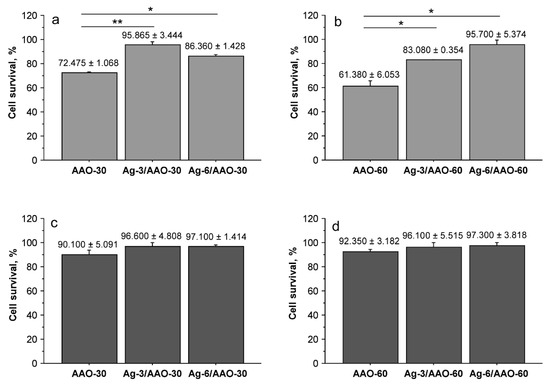
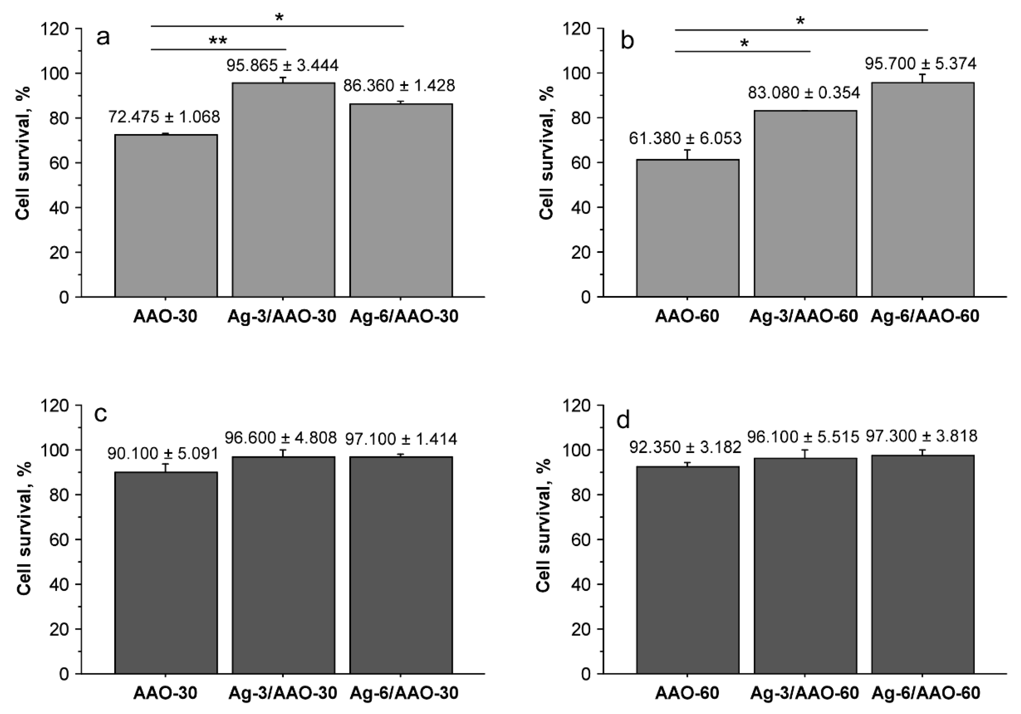
3.2. Biocompatibility of Silver-Modified Alumina Substrates
4. Conclusions
Author Contributions
Funding
Data Availability Statement
Conflicts of Interest
References
- Manivasagam, G.; Dhinasekaran, D.; Rajamanickam, A. Biomedical Implants: Corrosion and Its Prevention-A Review. Recent Patents Corros. Sci. 2010, 2, 40–54. [Google Scholar] [CrossRef] [Green Version]
- Polmear, I.; StJohn, D.; Nie, J.-F.; Qian, M. (Eds.) Wrought Aluminium Alloys. In Light Alloys; Butterworth-Heinemann: Oxford, UK, 2017; pp. 157–263. [Google Scholar] [CrossRef]
- Langley, A.; Dameron, C.T. Modern Metal Implant Toxicity and Anaesthesia. Australas. Anaesth. 2015, 57–65. [Google Scholar] [CrossRef]
- Christel, P.; Meunier, A.; Dorlot, J.M.; Crolet, J.M.; Witvoet, J.; Sedel, L.; Boutin, P. Biomechanical Compatibility and Design of Ceramic Implants for Orthopedic Surgery. Ann. N. Y. Acad. Sci. 1988, 523, 234–256. [Google Scholar] [CrossRef] [PubMed]
- Yasakau, K.A.; Zheludkevich, M.L.; Ferreira, M.G.S. Role of Intermetallics in Corrosion of Aluminum Alloys. Smart Corrosion Protection. In Intermetallic Matrix Composites; Mitra, R., Ed.; Elsevier: Amsterdam, The Netherlands, 2018; pp. 425–462. [Google Scholar] [CrossRef]
- Tomassi, P.; Nanostructures, Z.B. Aluminum Anodic Oxide AAO as a Template for Formation of Metal Nanostructures. In Electroplating of Nanostructures; Mahmood, A., Ed.; InTech: London, UK, 2015; pp. 75–102. [Google Scholar] [CrossRef]
- Darouiche, R.O. State-Of-The-Art Clinical Anti-Infective Efficacy of Silver-Coated Medical Prostheses. Epidemiology 2011, 29, 1371–1377. [Google Scholar] [CrossRef] [Green Version]
- Aina, V.; Cerrato, G.; Martra, G.; Bergandi, L.; Costamagna, C.; Ghigo, D.; Malavasi, G.; Lusvardi, G.; Menabue, L. Gold-Containing Bioactive Glasses: A Solid-State Synthesis to Produce Alternative Biomaterials for Bone Implantations. J. R. Soc. Interface 2013, 10, 20121040. [Google Scholar] [CrossRef] [PubMed] [Green Version]
- Hauser, A.R.; Mecsas, J.; Moir, D.T. Beyond Antibiotics: New Therapeutic Approaches for Bacterial Infections. Clin. Infect. Dis. 2016, 63, 89–95. [Google Scholar] [CrossRef] [Green Version]
- Chi, G.J.; Yao, S.W.; Fan, J.; Zhang, W.G.; Wang, H.Z. Antibacterial Activity of Anodized Aluminum with Deposited Silver. Surf. Coatings Technol. 2002, 157, 162–165. [Google Scholar] [CrossRef]
- Jagminas, A.; Žalnėravičius, R.; Rėza, A.; Paškevičius, A.; Selskienė, A. Design, Optical and Antimicrobial Properties of Extremely Thin Alumina Films Colored with Silver Nanospecies. Dalt. Trans. 2015, 44, 4512–4519. [Google Scholar] [CrossRef] [PubMed]
- Marambio-Jones, C.; Hoek, E.M.V. A Review of the Antibacterial Effects of Silver Nanomaterials and Potential Implications for Human Health and the Environment. J. Nanoparticle Res. 2010, 12, 1531–1551. [Google Scholar] [CrossRef]
- Kędziora, A.; Speruda, M.; Krzyżewska, E.; Rybka, J.; Łukowiak, A.; Bugla-Płoskońska, G. Similarities and Differences between Silver Ions and Silver in Nanoforms as Antibacterial Agents. Int. J. Mol. Sci. 2018, 19, 444. [Google Scholar] [CrossRef] [PubMed] [Green Version]
- Haider, A.; Kang, I.-K. Preparation of Silver Nanoparticles and Their Industrial and Biomedical Applications: A Comprehensive Review. Adv. Mater. Sci. Eng. 2015, 2015, 1–15. [Google Scholar] [CrossRef] [Green Version]
- Martínez-Castañón, G.A.; Niño-Martínez, N.; Martínez-Gutierrez, F.; Martínez-Mendoza, J.R.; Ruiz, F. Synthesis and Antibacterial Activity of Silver Nanoparticles with Different Sizes. J. Nanoparticle Res. 2008, 10, 1343–1348. [Google Scholar] [CrossRef]
- Rashid, M.U.; Bhuiyan, M.K.H.; Quayum, M.E. Synthesis of Silver Nano Particles (Ag-NPs) and Their Uses for Quantitative Analysis of Vitamin C Tablets. Dhaka Univ. J. Pharm. Sci. 2013, 12, 29–33. [Google Scholar] [CrossRef]
- Guzmán, M.G.; Dille, J.; Godet, S. Synthesis of Silver Nanoparticles by Chemical Reduction Method and Their Antibacterial Activity. Int. J. Mater. Metall. Eng. 2008, 2, 91–98. [Google Scholar] [CrossRef]
- Kulkarni, N.; Muddapur, U. Biosynthesis of Metal Nanoparticles: A Review. J. Nanotechnol. 2014, 2014. [Google Scholar] [CrossRef] [Green Version]
- Thorat, S.; Diaspro, A.; Scarpellini, A.; Povia, M.; Salerno, M. Comparative Study of Loading of Anodic Porous Alumina with Silver Nanoparticles Using Different Methods. Materials 2013, 6, 206–216. [Google Scholar] [CrossRef] [PubMed] [Green Version]
- Toccafondi, C.; Dante, S.; Reverberi, A.P.; Salerno, M. Biomedical Applications of Anodic Porous Alumina. Curr. Nanosci. 2015, 11, 572–580. [Google Scholar] [CrossRef]
- Pornnumpa, N.; Jariyaboon, M. Antibacterial and Corrosion Resistance Properties of Anodized AA6061 Aluminum Alloy. Eng. J. 2019, 23, 171–181. [Google Scholar] [CrossRef]
- Kozhukharov, S.; Girginov, C.; Kiradzhiyska, D.; Tsanev, A.; Avdeev, G. Evaluation of the Electrochemical Performance of Ag Containing AAO Layers after Extended Exposure to a Model Corrosive Medium. J. Electrochem. Sci. Eng. 2020, 10, 317–334. [Google Scholar] [CrossRef]
- Strober, W. Trypan Blue Exclusion Test of Cell Viability. Curr. Protoc. Immunol. 2015, 111, A3.B.1–A3.B.3. [Google Scholar] [CrossRef] [PubMed]
- Mosmann, T. Rapid Colorimetric Assay for Cellular Growth and Survival: Application to Proliferation and Cytotoxicity Assays. J. Immunol. Methods 1983, 65, 55–63. [Google Scholar] [CrossRef]
- Edmondson, J.M.; Armstrong, L.S.; Martinez, A.O. A Rapid and Simple MTT-Based Spectrophotometric Assay for Determining Drug Sensitivity in Monolayer Cultures. J. Tissue Cult. Methods 1988, 11, 15–17. [Google Scholar] [CrossRef]
- Osahor, A.; Deekonda, K.; Lee, C.-W.; Sim, E.U.-H.; Radu, A.; Narayanan, K. Rapid Preparation of Adherent Mammalian Cells for Basic Scanning Electron Microscopy (SEM) Analysis. Anal. Biochem. 2017, 534, 46–48. [Google Scholar] [CrossRef]
- Kiradzhiyska, D.; Batsalova, T.; Dzhambazov, B.; Mancheva, R. In Vitro Biocompatibility Evaluation of Anodic Alumina Substrates with Electrochemically Embedded Silver. Rev. Chim. 2020, 71, 81–88. [Google Scholar] [CrossRef]
- Zhang, X.-F.; Shen, W.; Gurunathan, S. Silver Nanoparticle-Mediated Cellular Responses in Various Cell Lines: An in Vitro Model. Int. J. Mol. Sci. 2016, 17, 1603. [Google Scholar] [CrossRef] [Green Version]
- Kozhukharov, S.; Girginov, C.; Tsanev, A.; Petrova, M. Elucidation of the Anodization and Silver Incorporation Impact on the Surface Properties of AA1050 Aluminum Alloy. J. Electrochem. Soc. 2019, 166, C231. [Google Scholar] [CrossRef]
- Ofoegbu, S.U.; Fernandes, F.A.O.; Pereira, A.B. The Sealing Step in Aluminum Anodizing: A Focus on Sustainable Strategies for Enhancing Both Energy Efficiency and Corrosion Resistance. Coatings 2020, 10, 226. [Google Scholar] [CrossRef] [Green Version]






| Sample Groups Abbreviation | Corresponding Surface Treatments | ||
|---|---|---|---|
| Preliminary Treatments | Anodization Time, (min) | Silver Deposition, (min) | |
| AA | preliminary treated EN AW 1050A coupons | 0 | 0 |
| AAO-30 | 30 | 0 | |
| AAO-60 | 60 | 0 | |
| Ag-3/AAO-30 | 30 | 3 | |
| Ag-6/AAO-30 | 30 | 6 | |
| Ag-3/AAO-60 | 60 | 3 | |
| Ag-6/AAO-60 | 60 | 6 | |
| Sample Groups | Corrosion Potential | Polarization Resistance | Corrosion Current Density |
|---|---|---|---|
| Ecorr/(mV) vs. Ag/AgCl | Rp (kΩ cm−2) | Icorr (A cm−2) | |
| AA | −720 ± 11 | 83.01 ± 12 | (4.7 ± 0.6) × 10−8 |
| AAO-30 | −231 ± 45 | 7862 ± 900 | (2.3 ± 1.1) × 10−10 |
| AAO-60 | −162 ± 36 | 4207 ± 517 | (1.8 ± 1.1) × 10−10 |
| Ag-3/AAO-30 | −155 ± 28 | 6980 ± 723 | (1.0 ± 0.9) × 10−10 |
| Ag-6/AAO-30 | −288 ± 57 | 7000 ± 657 | (1.4 ± 1.0) × 10−10 |
| Ag-3/AAO-60 | −720 ± 11 | 83.01 ± 12 | (4.7 ± 0.6) × 10−8 |
| Ag-6/AAO-60 | −231 ± 45 | 7862 ± 900 | (2.3 ± 1.1) × 10−10 |
Publisher’s Note: MDPI stays neutral with regard to jurisdictional claims in published maps and institutional affiliations. |
© 2021 by the authors. Licensee MDPI, Basel, Switzerland. This article is an open access article distributed under the terms and conditions of the Creative Commons Attribution (CC BY) license (https://creativecommons.org/licenses/by/4.0/).
Share and Cite
Kiradzhiyska, D.; Milcheva, N.; Mancheva, R.; Batsalova, T.; Dzhambazov, B.; Zahariev, N. Preparation and Preliminary Evaluation of Silver-Modified Anodic Alumina for Biomedical Applications. Metals 2022, 12, 51. https://doi.org/10.3390/met12010051
Kiradzhiyska D, Milcheva N, Mancheva R, Batsalova T, Dzhambazov B, Zahariev N. Preparation and Preliminary Evaluation of Silver-Modified Anodic Alumina for Biomedical Applications. Metals. 2022; 12(1):51. https://doi.org/10.3390/met12010051
Chicago/Turabian StyleKiradzhiyska, Denitsa, Nikolina Milcheva, Rositsa Mancheva, Tsvetelina Batsalova, Balik Dzhambazov, and Nikolay Zahariev. 2022. "Preparation and Preliminary Evaluation of Silver-Modified Anodic Alumina for Biomedical Applications" Metals 12, no. 1: 51. https://doi.org/10.3390/met12010051
APA StyleKiradzhiyska, D., Milcheva, N., Mancheva, R., Batsalova, T., Dzhambazov, B., & Zahariev, N. (2022). Preparation and Preliminary Evaluation of Silver-Modified Anodic Alumina for Biomedical Applications. Metals, 12(1), 51. https://doi.org/10.3390/met12010051

