Towards Understanding the Cathode Process Mechanism and Kinetics in Molten LiF–AlF3 during the Treatment of Spent Pt/Al2O3 Catalysts
Abstract
:1. Introduction
- Improve the understanding of the mechanism and kinetic parameters of different electroactive ions (of monovalent and trivalent aluminum) in the LiF–AlF3 melts of various compositions;
- Fill the gap in knowledge of diffusion coefficients of Al ions in the LiF–AlF3 melts and the LiF–AlF3–Al2O3 melts with two compositions (85–15 mol.% and 64–36 mol.%), at two concentrations of spent catalyst (2.5 and 5.0 wt.%) and four temperatures (740, 760, 780 and 800 °C);
- Tighten the connection between the experimental data and theoretical representation of electrochemical processes in molten salts.
2. Experiment
2.1. Laboratory Setup
2.2. Electrolyte Preparation
3. Results and Discussion
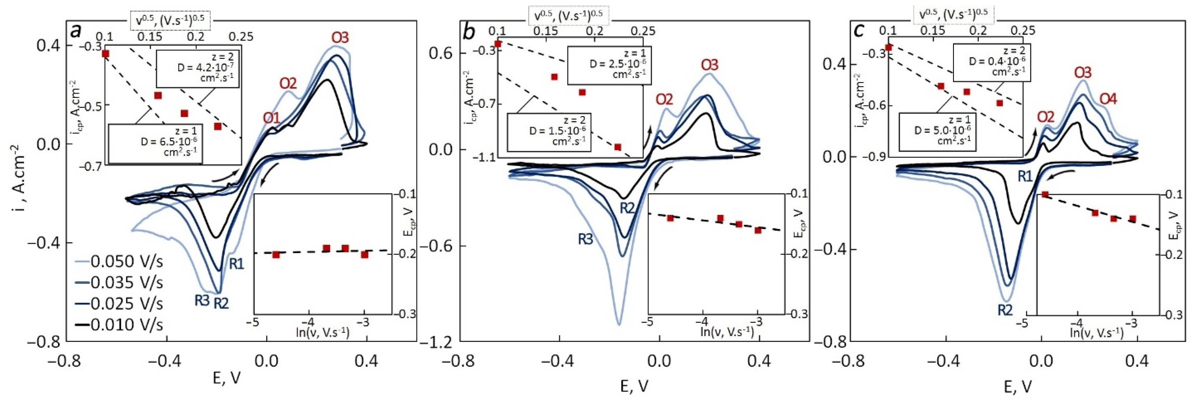
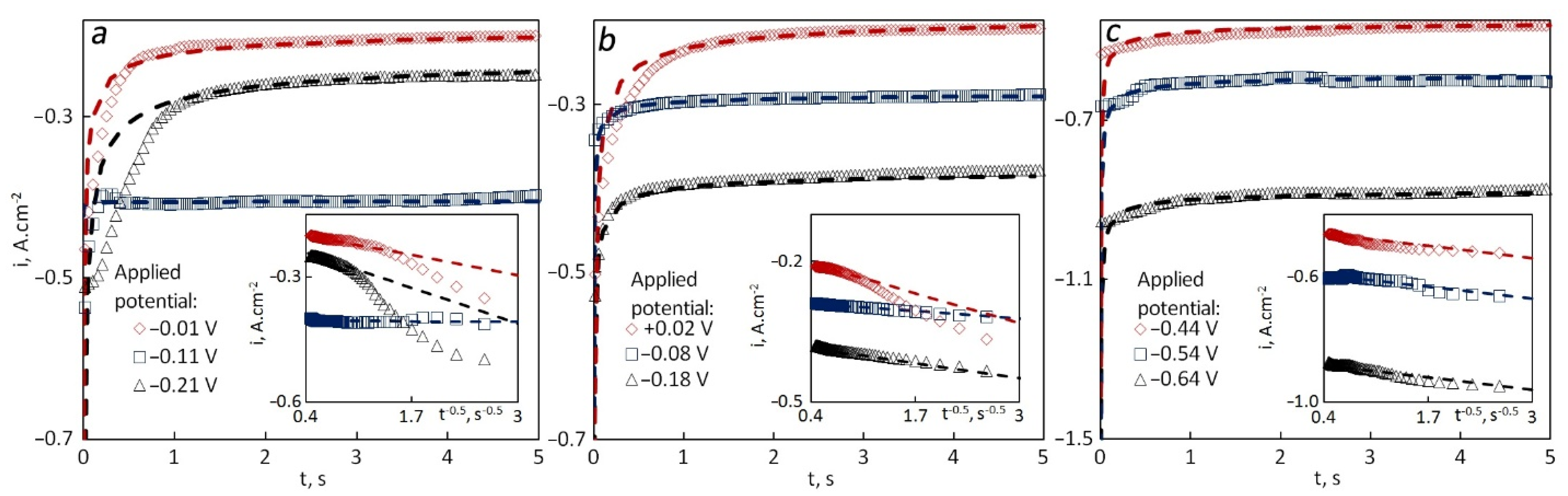
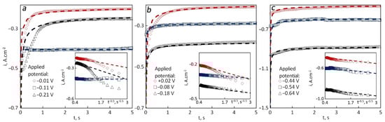
3.1. Effect of Catalyst Content
3.2. Effect of Temperature
3.3. Effect of Electrolyte Composition
3.4. Final Remarks
4. Conclusions
- The aluminum reduction in the LiF–AlF3 melts is a diffusion-controlled two-step process;
- Both the one-electron and the two-electron steps occur simultaneously at close potentials, which affects the cyclic voltammograms where only one clear cathodic peak may be observed;
- In most cases, the diffusion coefficients of electroactive species for the one-electron process were (2.20–6.50) × 10–6 cm2·s–1, and for the two-electron process, they were (0.15–2.20)–6 cm2·s–1;
- In most cases, the averaged diffusion coefficients obtained by the chronoamperometry were (0.17–2.70)–6 cm2·s–1;
- The numbers of electrons used for calculations in chronoamperometry were in the range from 1.06 to 1.90 and connected to the partial current densities of two parallel processes;
- The 64LiF–36AlF3 melt with about 2.5 wt.% of the spent catalysts seems a better electrolyte for the catalyst treatment in terms of cathodic process and alumina solubility, while the range of temperatures from 780 to 800 °C is applicable.
Author Contributions
Funding
Institutional Review Board Statement
Informed Consent Statement
Data Availability Statement
Conflicts of Interest
References
- Sie, S.T. Past Present and Future Role of Microporous Catalysts in the Petroleum Industry. Stud. Surf. Sci. Catal. 1994, 85, 587–631. [Google Scholar]
- Che Lah, N.A. Late transition metal nanocomplexes: Applications for renewable energy conversion and storage. Renew. Sustain. Energy Rev. 2021, 145, 111103. [Google Scholar] [CrossRef]
- Karakovskaya, K.I.; Dorovskikh, S.I.; Vikulova, E.S.; Ilyin, I.Y.; Zherikova, K.V.; Basova, T.V.; Morozova, N.B. Volatile iridium and platinum mocvd precursors: Chemistry, thermal properties, materials and prospects for their application in medicine. Coatings 2021, 11, 78. [Google Scholar] [CrossRef]
- Haghlesan, A.; Alizadeh, R. Reactivation of an industrial spent catalyst as an environmental waste by ultrasound assisted technique for using in styrene production. Chem. Eng. Process. 2016, 110, 64–72. [Google Scholar] [CrossRef]
- Loreti, M.A.P.; Reis, M.T.A.; Ismael, M.R.C.; Staszak, K.; Wieszczycka, K. Effective Pd(II) carriers for classical extraction and pseudo-emulsion system. Sep. Purif. Technol. 2021, 265, 118509. [Google Scholar] [CrossRef]
- Thanh, L.H.V.; Liu, J.-C. Ion flotation of palladium by using cationic surfactants–Effects of chloride ions. Colloids Surf. A 2021, 616, 126326. [Google Scholar] [CrossRef]
- Monroy-Barreto, M.; Bautista-Flores, A.N.; Munguia Acevedo, N.M.; De San Miguel, E.R.; Gyves, J.D. Selective palladium(ii) recovery using a polymer inclusion membrane with tris(2-ethylhexyl) phosphate (TEHP). experimental and theoretical study. Ind. Eng. Chem. Res. 2021, 60, 3385–3396. [Google Scholar] [CrossRef]
- Cwudziński, A.; Gajda, B. Particle image velocimetry method for prediction hydrodynamic conditions during leaching process on the basis of Sn–NaOH system. Materials 2021, 14, 633. [Google Scholar] [CrossRef] [PubMed]
- Ding, Y.; Zheng, H.; Li, J.; Zhang, S.; Liu, B.; Ekberg, C.; Jian, Z. Recovery of Platinum from Spent Petroleum Catalysts: Optimization Using Response Surface Methodology. Metals 2019, 9, 354. [Google Scholar] [CrossRef] [Green Version]
- Padamata, S.K.; Yasinskiy, A.S.; Polyakov, P.V. The cathodic behavior of aluminum from Pt/Al2O3 catalysts in molten LiF-AlF3-CaF2 and implications for metal recovery from spent catalysts. J. Electrochem. Soc. 2021, 168, 013505. [Google Scholar] [CrossRef]
- Xolo, L.; Moleko-Boyce, P.; Makelane, H.; Faleni, N.; Tshentu, Z.R. Status of recovery of strategic metals from spent secondary products. Minerals 2021, 11, 673. [Google Scholar] [CrossRef]
- Dong, H.; Wu, Y.; Li, Y.; Zhao, J.; Wang, Y. Concentrating PGM from a PGM-Containing Ferroalloy by a Roast-Leach Process. Trans. Soc. Min. Metall. Explor. 2021, in press. [Google Scholar] [CrossRef]
- Viltres, H.; López, Y.C.; Leyva, C.; Gupta, N.K.; Naranjo, A.G.; Acevedo–Peña, P.; Sanchez-Diaz, A.; Bae, J.; Kim, K.S. Polyamidoamine dendrimer-based materials for environmental applications: A review. J. Mol. Liq. 2021, 334, 116017. [Google Scholar] [CrossRef]
- Lanaridi, O.; Sahoo, A.R.; Limbeck, A.; Naghdi, S.; Eder, D.; Eitenberger, E.; Csendes, Z.; Schnürch, M.; Bica-Schröder, K. Toward the Recovery of Platinum Group Metals from a Spent Automotive Catalyst with Supported Ionic Liquid Phases. ACS Sustain. Chem. Eng. 2021, 9, 375–386. [Google Scholar] [CrossRef]
- Nguyen, V.T.; Riaño, S.; Aktan, E.; Deferm, C.; Fransaer, J.; Binnemans, K. Solvometallurgical Recovery of Platinum Group Metals from Spent Automotive Catalysts. ACS Sustain. Chem. Eng. 2021, 9, 337–350. [Google Scholar] [CrossRef]
- Karim, S.; Ting, Y.-P. Recycling pathways for platinum group metals from spent automotive catalyst: A review on conventional approaches and bio-processes. Resour. Conserv. Recycl. 2021, 170, 105588. [Google Scholar] [CrossRef]
- Fajar, A.T.N.; Hanada, T.; Goto, M. Recovery of platinum group metals from a spent automotive catalyst using polymer inclusion membranes containing an ionic liquid carrier. J. Membr. Sci. 2021, 629, 119296. [Google Scholar] [CrossRef]
- Nicol, G.; Goosey, E.; Yildiz, D.S.; Loving, E.; Nguyen, V.T.; Riaño, S.; Yakoumis, I.; Martinez, A.M.; Siriwardana, A.; Unzurrunzaga, A.; et al. Platinum group metals recovery using secondary raw materials (platirus): Project overview with a focus on processing spent autocatalyst. Johns. Matthey Technol. Rev. 2021, 65, 127–147. [Google Scholar]
- Martinez, A.M.; Tang, K.; Sommerseth, C.; Osen, K.S. Extraction of Platinum Group Metals from Spent Catalyst Material by a Novel Pyro-Metallurgical Process. In Rare Metal Technology Minerals, Metals and Materials Series; TMS: Pittsburgh, PA, USA, 2021; pp. 101–113. [Google Scholar]
- Yasinskiy, A.; Polyakov, P.; Varyukhin, D.Y.; Padamata, S.K. Liquid Bipolar Electrode for Extraction of Aluminium and PGM Concentrate from Spent Catalysts. In 150th Annual Meeting & Exhibition Supplemental Proceedings; TMS: Orlando, FL, USA, 2021; p. 812. [Google Scholar]
- Yasinskiy, A.; Polyakov, P.; Moiseenko, I.; Padamata, S.K. Electrochemical Reduction and Dissolution of Aluminium in a Thin-Layer Refinery Process. In Light Metals; TMS: Orlando, FL, USA, 2021; p. 519. [Google Scholar]
- Granados-Fernández, R.; Montiel, M.A.; Díaz-Abad, S.; Rodrigo, M.A.; Lobato, J. Platinum Recovery Techniques for a Circular Economy. Catalysts 2021, 11, 937. [Google Scholar] [CrossRef]
- Dubrovskii, A.R.; Makarova, O.V.; Kuznetsov, S.A. Electrodeposition of tantalum coatings on nitinol stent and composition of intermetallic compounds forming during electrolysis. J. Electrochem. Soc. 2021, 168, 046518. [Google Scholar] [CrossRef]
- Nikolaev, A.Y.; Suzdaltsev, A.V.; Zaikov, Y.P. Cathode process in the KF–AlF3–Al2O3 melts. J. Electrochem. Soc. 2019, 166, D784–D791. [Google Scholar] [CrossRef]
- Suzdaltsev, A.V.; Nikolaev, A.Y.; Zaikov, Y.P. Towards the Stability of Low-Temperature Aluminum Electrolysis. J. Electrochem. Soc. 2021, 168, 046521. [Google Scholar] [CrossRef]
- Wei, Z.; Peng, J.; Wang, Y.; Liu, K.; Di, Y.; Sun, T. Cathodic process of aluminum deposition in NaF-AlF3-Al2O3 melts with low cryolite ratio. Ionics 2019, 25, 1735–1745. [Google Scholar] [CrossRef]
- Zhu, T.; Huang, W.; Gong, Y. Electrochemical separation of uranium from lanthanide (La, Eu, Gd) fluorides in molten LiCl-KCl. Sep. Purif. Technol. 2020, 235, 116227. [Google Scholar] [CrossRef]
- Li, J.; Ren, H.; Guo, F.; Lu, J.; Li, J.; Yang, Y. Research on the Electrochemical Behavior of Si(IV) on the Tungsten Electrode in CaCl2–CaF2–CaO Molten Melt. Russ. J. Non-Ferr. Met. 2018, 59, 486–492. [Google Scholar]
- Tao, S.; Peng, J.; Di, Y.; Liu, K.; Zhao, K.; Feng, N. Electrochemical Study of Potassium Fluoride in a Cryolite-Aluminum Oxide Molten Salt. Anal. Lett. 2015, 48, 371–381. [Google Scholar] [CrossRef]
- Li, D.; Yang, Z.; Li, W. Electrochemical Behavior of Graphite in KF–AlF3-Based Melt with Low Cryolite Ratio. J. Electrochem. Soc. 2010, 157, D417–D421. [Google Scholar] [CrossRef]
- Chen, Z.; She, C.; Zheng, H.; Huang, W.; Zhu, T.; Jiang, F.; Gong, Y.; Li, Q. Electrochemical deposition of neodymium in LiF-CaF2 from Nd2O3 assisted by AlF3. Electrochim. Acta 2018, 261, 289–295. [Google Scholar] [CrossRef]
- Li, B.; Li, S.; Kong, Y.; Chen, J.; Liu, K.; Han, Q. Dissolution Mechanism and Electrochemical Behavior of CeO2 in Molten CeF3-LiF-BaF2. Rare Met. Mater. Eng. 2020, 49, 749–754. [Google Scholar]
- Cvetković, V.S.; Vukićević, N.M.; Feldhaus, D.; Barudžija, T.S.; Stevanović, J.S.; Friedrich, B.; Jovićević, J.N. Study of Nd deposition onto W and Mo cathodes from molten oxide-fluoride electrolyte. Int. J. Electrochem. Sci. 2020, 15, 7039–7052. [Google Scholar] [CrossRef]
- Robert, E.; Olsen, J.E.; Danek, V.; Tixhon, E.; Østvold, T.; Gilbert, B. Structure and Thermodynamics of Alkali Fluoride-Aluminum Fluoride-Alumina Melts. Vapor Pressure, Solubility, and Raman Spectroscopic Studies. J. Phys. Chem. B 1997, 101, 9447–9457. [Google Scholar] [CrossRef]
- Peng, J.; Wei, Z.; Di, Y.; Wang, Y.; Sun, T. Alumina Solubility in NaF–KF–LiF–AlF3-Based Low-Temperature Melts. JOM 2020, 72, 239–246. [Google Scholar] [CrossRef]
- Rakhmatullin, A.; Michel, R.; Bessada, C. Structural characterization and chemistry of LiF–AlF3 melts with addition of MgO and MgF2. J. Fluor. Chem. 2021, 241, 109678. [Google Scholar] [CrossRef]
- Yasinskiy, A.; Padamata, S.K.; Stopic, S.; Feldhaus, D.; Friedrich, B.; Polyakov, P. Aluminium Recycling in Single- and Multiple-Capillary Laboratory Electrolysis Cells. Metals 2021, 11, 1053. [Google Scholar] [CrossRef]
- Yasinskiy, A.; Polyakov, P.; Yang, Y.; Wang, Z.; Suzdaltsev, A.; Moiseenko, I.; Padamata, S.K. Electrochemical reduction and dissolution of liquid aluminium in thin layers of molten halides. Electrochim. Acta. 2021, 366, 137436. [Google Scholar] [CrossRef]
- Machado, K.; Zanghi, D.; Salanne, M.; Stabrowski, V.; Bessada, C. Anionic Structure in Molten Cryolite-Alumina Systems. J. Phys. Chem. C 2018, 122, 21807–21816. [Google Scholar] [CrossRef]
- Bard, A.J.; Faulkner, R.L. Electrochemical Methods Fundamentals and Applications, 2nd ed.; John Wiley & Sons, Inc., Wiley Blackwell: Hoboken, NJ, USA, 2001; p. 864. [Google Scholar]
- Janz, G.J.; Gardner, G.L.; Krebs, U.; Tomkins, R.P.T. Molten Salts: Volume 4, Part 1, Fluorides and Mixtures Electrical Conductance, Density, Viscosity, and Surface Tension Data. J. Phys. Chem. Ref. Data 1974, 3, 1–115. [Google Scholar] [CrossRef]
- Simoes, M.C.; Hughes, K.J.; Ingham, D.B.; Ma, L.; Pourkashanian, M. Estimation of the Thermochemical Radii and Ionic Volumes of Complex Ions. Inorg. Chem. 2017, 56, 7566–7573. [Google Scholar] [CrossRef]






| Exp # | Composition, mol.% | θ, °C | SC, wt.% | , g cm−3 | CAlz+, mol·cm−3 |
|---|---|---|---|---|---|
| 1 | 85LiF–15AlF3 | 740 | 0.0 | 2.115 | 0.00916 |
| 2 | 85LiF–15AlF3 | 740 | 2.5 | 2.115 | 0.00971 |
| 3 | 85LiF–15AlF3 | 740 | 5.0 (sat.) | 2.115 | 0.01077 |
| 4 | 85LiF–15AlF3 | 760 | 5.0 (sat.) | 2.102 | 0.01070 |
| 5 | 85LiF–15AlF3 | 780 | 5.0 (sat.) | 2.088 | 0.01064 |
| 6 | 85LiF–15AlF3 | 800 | 5.0 (sat.) | 2.075 | 0.01057 |
| 7 | 64LiF–36AlF3 | 740 | 5.0 (sat.) | 2.162 | 0.01790 |
| 8 | 64LiF–36AlF3 | 760 | 5.0 (sat.) | 2.141 | 0.01773 |
| 9 | 64LiF–36AlF3 | 780 | 5.0 (sat.) | 2.120 | 0.01756 |
| 10 | 64LiF–36AlF3 | 800 | 5.0 (sat.) | 2.100 | 0.01739 |
| ν, V·s–1 | ν0.5, (V·s−1)0.5 | ln (ν) | icp, A·cm–2 | Ecp, V |
|---|---|---|---|---|
| Experiment 1 (0 wt.% of SC) | ||||
| 0.010 | 0.10 | –4.60 | –0.379 | –0.20 |
| 0.025 | 0.16 | –3.69 | –0.511 | –0.19 |
| 0.035 | 0.19 | –3.35 | –0.571 | –0.19 |
| 0.050 | 0.22 | –3.00 | –0.606 | –0.20 |
| Experiment 2 (2.5 wt.% of SC) | ||||
| 0.010 | 0.10 | –4.60 | –0.304 | –0.14 |
| 0.025 | 0.16 | –3.69 | –0.547 | –0.14 |
| 0.035 | 0.19 | –3.35 | –0.663 | –0.15 |
| 0.050 | 0.22 | –3.00 | –1.091 | –0.16 |
| Experiment 3 (5.0 wt.% of SC) | ||||
| 0.010 | 0.10 | –4.60 | –0.287 | –0.10 |
| 0.025 | 0.16 | –3.69 | –0.525 | –0.13 |
| 0.035 | 0.19 | –3.35 | –0.558 | –0.14 |
| 0.050 | 0.22 | –3.00 | –0.625 | –0.14 |
| Exp # | D(z = 1)∙10–6, cm2·s–1 | D(z = 2)∙10–6, cm2·s–1 | D(AM)∙10–6, cm2·s–1 | z(AM) | CAlz+ (AM), mol·cm–3 |
|---|---|---|---|---|---|
| 1 | 6.50 | 0.40 | 0.24 | 1.65 | 0.0035 |
| 2 | 2.50 | 1.50 | 0.18 | 1.60 | 0.0020 |
| 3 | 5.00 | 0.40 | 0.04 | 1.60 | 0.0020 |
| 4 | 3.20 | 0.18 | 0.28 | 1.87 | 0.0007 |
| 5 | 3.40 | 0.22 | 0.17 | 1.33 | 0.0009 |
| 6 * | 65.00 | 3.00 | 0.30 | 1.06 | 0.0010 |
| 7 | 2.80 | 0.22 | 0.36 | 1.60 | 0.0097 |
| 8 | 2.20 | 0.15 | 0.46 | 1.87 | 0.0055 |
| 9 | 3.50 | 0.26 | 1.90 | 1.90 | 0.0013 |
| 10 | 3.80 | 2.20 | 2.70 | 1.87 | 0.0010 |
Publisher’s Note: MDPI stays neutral with regard to jurisdictional claims in published maps and institutional affiliations. |
© 2021 by the authors. Licensee MDPI, Basel, Switzerland. This article is an open access article distributed under the terms and conditions of the Creative Commons Attribution (CC BY) license (https://creativecommons.org/licenses/by/4.0/).
Share and Cite
Yasinskiy, A.; Padamata, S.K.; Stopic, S.; Feldhaus, D.; Varyukhin, D.; Friedrich, B.; Polyakov, P. Towards Understanding the Cathode Process Mechanism and Kinetics in Molten LiF–AlF3 during the Treatment of Spent Pt/Al2O3 Catalysts. Metals 2021, 11, 1431. https://doi.org/10.3390/met11091431
Yasinskiy A, Padamata SK, Stopic S, Feldhaus D, Varyukhin D, Friedrich B, Polyakov P. Towards Understanding the Cathode Process Mechanism and Kinetics in Molten LiF–AlF3 during the Treatment of Spent Pt/Al2O3 Catalysts. Metals. 2021; 11(9):1431. https://doi.org/10.3390/met11091431
Chicago/Turabian StyleYasinskiy, Andrey, Sai Krishna Padamata, Srecko Stopic, Dominic Feldhaus, Dmitriy Varyukhin, Bernd Friedrich, and Peter Polyakov. 2021. "Towards Understanding the Cathode Process Mechanism and Kinetics in Molten LiF–AlF3 during the Treatment of Spent Pt/Al2O3 Catalysts" Metals 11, no. 9: 1431. https://doi.org/10.3390/met11091431
APA StyleYasinskiy, A., Padamata, S. K., Stopic, S., Feldhaus, D., Varyukhin, D., Friedrich, B., & Polyakov, P. (2021). Towards Understanding the Cathode Process Mechanism and Kinetics in Molten LiF–AlF3 during the Treatment of Spent Pt/Al2O3 Catalysts. Metals, 11(9), 1431. https://doi.org/10.3390/met11091431

