The Effect of Multilayer Architecture and Ta Alloying on the Mechanical Performance of Ti-Al-N Coatings under Scratching and Uniaxial Tension
Abstract
:1. Introduction
2. Materials and Methods
3. Results and Discussion
3.1. Composition, Structure, and Mechanical Properties
3.2. Scratch Testing
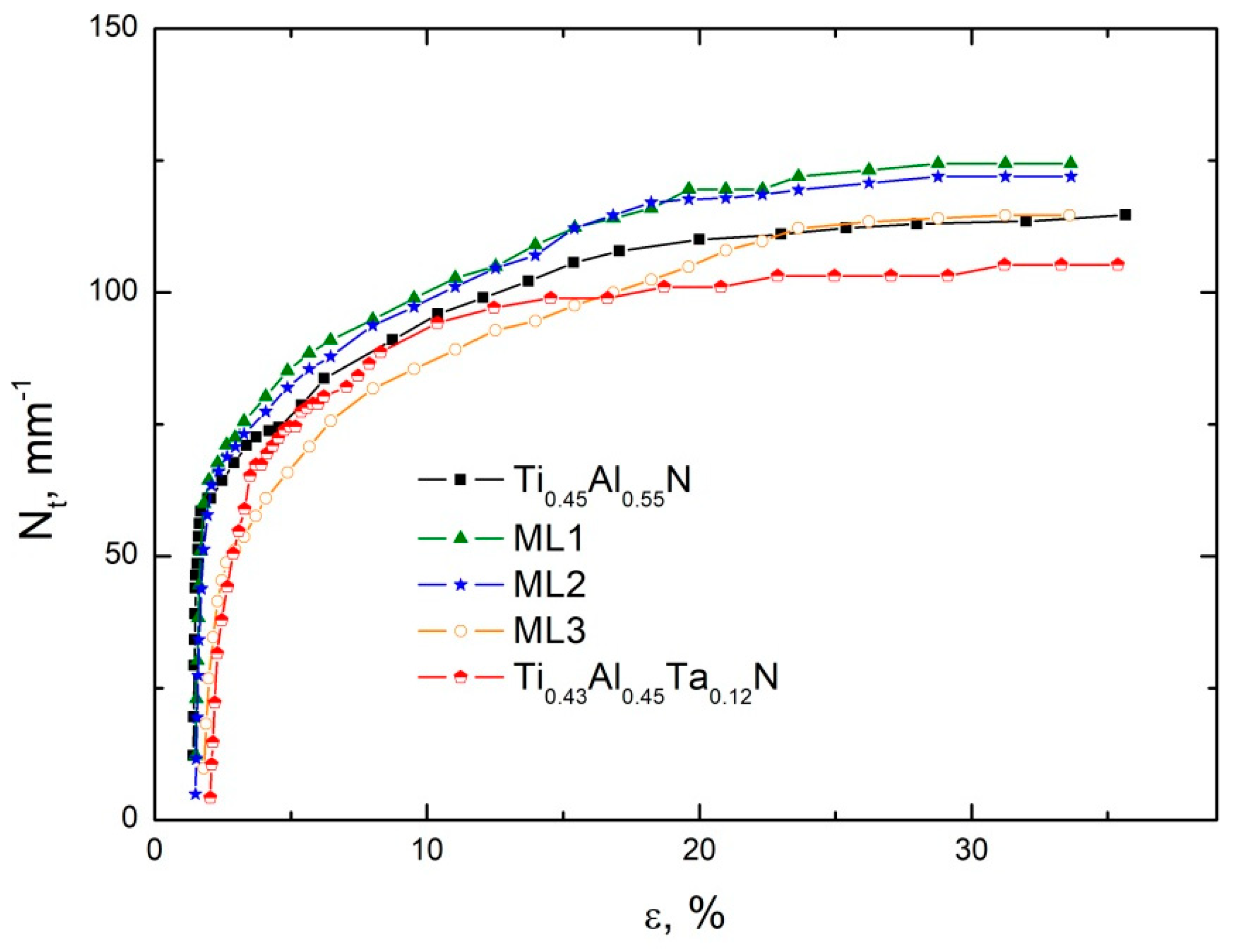
3.3. Uniaxial Tension
4. Conclusions
Author Contributions
Funding
Institutional Review Board Statement
Informed Consent Statement
Data Availability Statement
Conflicts of Interest
References
- Mayrhofer, P.H.; Rachbauer, R.; Holec, D.; Rovere, F.; Schneider, J.M. Protective transition metal nitride coatings. In Comprehensive Materials Processing; Elsevier: Amsterdam, The Netherlands, 2014; Volume 4, pp. 355–388. [Google Scholar] [CrossRef]
- PalDey, S.; Deevi, S.C. Single layer and multilayer wear resistant coatings of (Ti,Al)N: A review. Mater. Sci. Eng. A 2003, 342, 58–79. [Google Scholar] [CrossRef]
- Chen, L.; Paulitsch, J.; Du, Y.; Mayrhofer, P.H. Thermal stability and oxidation resistance of Ti-Al-N coatings. Surf. Coat. Technol. 2012, 206, 2954–2960. [Google Scholar] [CrossRef] [Green Version]
- Shulepov, I.A.; Kashkarov, E.B.; Stepanov, I.B.; Syrtanov, M.S.; Sutygina, A.N.; Shanenkov, I.; Obrosov, A.; Weiß, S. The formation of composite Ti-Al-N coatings using filtered vacuum arc deposition with separate cathodes. Metals 2017, 7, 497. [Google Scholar] [CrossRef] [Green Version]
- Sousa, V.F.C.; da Silva, F.J.G.; Pinto, G.F.; Baptista, A.; Alexandre, R. Characteristics and wear mechanisms of TiAlN-based coatings for machining applications: A comprehensive review. Metals 2021, 11, 260. [Google Scholar] [CrossRef]
- Tillmann, W.; Grisales, D.; Stangier, D.; Butzke, T. Tribomechanical behaviour of TiAlN and CrAlN coatings deposited onto AISI H11 with different pre-treatments. Coatings 2019, 9, 519. [Google Scholar] [CrossRef] [Green Version]
- Oliveira, V.M.C.A.; Vazquez, A.M.; Aguiar, C.; Robin, A.; Barboza, M.J.R. Nitride coatings improve Ti-6Al-4V alloy behavior in creep tests. Mater. Sci. Eng. A 2016, 670, 357–368. [Google Scholar] [CrossRef]
- Mikula, M.; Plašienka, D.; Sangiovanni, D.G.; Sahul, M.; Roch, T.; Truchlý, M.; Gregor, M.; Čaplovič, L.; Plecenik, A.; Kúš, P. Toughness enhancement in highly NbN-alloyed Ti-Al-N hard coatings. Acta Mater. 2016, 121, 59–67. [Google Scholar] [CrossRef]
- Chen, Y.H.; Roa, J.J.; Yu, C.H.; Johansson-Jõesaar, M.P.; Andersson, J.M.; Anglada, M.J.; Odén, M.; Rogström, L. Enhanced thermal stability and fracture toughness of TiAlN coatings by Cr, Nb and V-alloying. Surf. Coat. Technol. 2018, 342, 85–93. [Google Scholar] [CrossRef]
- Eremeev, S.V.; Shugurov, A.R. Chemical bonding analysis in Ti1−x−yAlxTayN solid solutions. Surf. Coat. Technol. 2020, 395, 125803. [Google Scholar] [CrossRef]
- Guo, T.; Qiao, L.; Pang, X.; Volinsky, A.A. Brittle film-induced cracking of ductile substrates. Acta Mater. 2015, 99, 273–280. [Google Scholar] [CrossRef]
- Guo, T.; Chen, Y.; Cao, R.; Pang, X.; He, J.; Qiao, L. Cleavage cracking of ductile-metal substrates induced by brittle coating fracture. Acta Mater. 2018, 152, 77–85. [Google Scholar] [CrossRef]
- Ritchie, R.O. The Conflicts between strength and toughness. Nat. Mater. 2011, 10, 817–822. [Google Scholar] [CrossRef]
- Li, G.; Li, L.; Han, M.; Luo, S.; Jin, J.; Wang, L.; Gu, J.; Miao, H. The performance of TiAlSiN coated cemented carbide tools enhanced by inserting Ti interlayers. Metals 2019, 9, 918. [Google Scholar] [CrossRef] [Green Version]
- Zhang, M.; Zhou, F.; Wang, Q.; Fu, Y.; Zhou, Z. Structural and tribological properties of CrMoCN coatings with various Mo contents in artificial seawater. Appl. Surf. Sci. 2019, 493, 485–496. [Google Scholar] [CrossRef]
- Holleck, H.; Schier, V. Multilayer PVD coatings for wear protection. Surf. Coat. Technol. 1995, 76–77, 328–336. [Google Scholar] [CrossRef]
- Zhang, S.; Sun, D.; Fu, Y.; Du, H. Toughening of hard nanostructural thin films: A critical review. Surf. Coat. Technol. 2005, 198, 2–8. [Google Scholar] [CrossRef]
- Wang, Y.X.; Zhang, S. Toward hard yet tough ceramic coatings. Surf. Coat. Technol. 2014, 258, 1–16. [Google Scholar] [CrossRef]
- Vieira, M.T.; Ramos, A.S. Influence of ductile interlayers on the mechanical performance of tungsten nitride coatings. J. Mater. Process. Technol. 1999, 92–93, 156–161. [Google Scholar] [CrossRef] [Green Version]
- Castanho, J.M.; Vieira, M.T. Effect of ductile layers in mechanical behaviour of TiAlN thin coatings. Proc. J. Mater. Process. Technol. 2003, 143–144, 352–357. [Google Scholar] [CrossRef] [Green Version]
- Vogli, E.; Tillmann, W.; Selvadurai-Lassl, U.; Fischer, G.; Herper, J. Influence of Ti/TiAlN-multilayer designs on their residual stresses and mechanical properties. Appl. Surf. Sci. 2011, 257, 8550–8557. [Google Scholar] [CrossRef]
- Du, H.; Zhao, H.; Xiong, J.; Xian, G. Effect of interlayers on the structure and properties of TiAlN based coatings on WC-Co cemented carbide substrate. Int. J. Refract. Met. Hard Mater. 2013, 37, 60–66. [Google Scholar] [CrossRef]
- Shang, H.; Li, J.; Shao, T. Mechanical properties and thermal stability of TiAlN/Ta multilayer film deposited by ion beam assisted deposition. Appl. Surf. Sci. 2014, 310, 317–320. [Google Scholar] [CrossRef]
- Shuai, J.; Zuo, X.; Wang, Z.; Guo, P.; Xu, B.; Zhou, J.; Wang, A.; Ke, P. Comparative study on crack resistance of TiAlN monolithic and Ti/TiAlN multilayer coatings. Ceram. Int. 2020, 46, 6672–6681. [Google Scholar] [CrossRef]
- Glatz, S.A.; Hollerweger, R.; Polcik, P.; Rachbauer, R.; Paulitsch, J.; Mayrhofer, P.H. Thermal stability and mechanical properties of arc evaporated Ti-Al-Zr-N hard coatings. Surf. Coat. Technol. 2015, 266, 1–9. [Google Scholar] [CrossRef]
- Glatz, S.A.; Koller, C.M.; Bolvardi, H.; Kolozsvári, S.; Riedl, H.; Mayrhofer, P.H. Influence of Mo on the structure and the tribomechanical properties of arc evaporated Ti-Al-N. Surf. Coat. Technol. 2017, 311, 330–336. [Google Scholar] [CrossRef]
- Glatz, S.A.; Bolvardi, H.; Kolozsvári, S.; Koller, C.M.; Riedl, H.; Mayrhofer, P.H. Arc evaporated W-alloyed Ti-Al-N coatings for improved thermal stability, mechanical, and tribological properties. Surf. Coat. Technol. 2017, 332, 275–282. [Google Scholar] [CrossRef]
- Mikula, M.; Truchlý, M.; Sangiovanni, D.G.; Plašienka, D.; Roch, T.; Gregor, M.; Ďurina, P.; Janík, M.; Kúš, P. Experimental and computational studies on toughness enhancement in Ti-Al-Ta-N quaternaries. J. Vac. Sci. Technol. A Vac. Surf. Film. 2017, 35, 060602. [Google Scholar] [CrossRef]
- Aninat, R.; Valle, N.; Chemin, J.B.; Duday, D.; Michotte, C.; Penoy, M.; Bourgeois, L.; Choquet, P. Addition of Ta and Y in a hard Ti-Al-N PVD coating: Individual and conjugated effect on the oxidation and wear properties. Corros. Sci. 2019, 156, 171–180. [Google Scholar] [CrossRef]
- Guo, F.; Holec, D.; Wang, J.; Li, S.; Du, Y. Impact of V, Hf and Si on oxidation processes in Ti–Al–N: Insights from ab-initio molecular dynamics. Surf. Coat. Technol. 2020, 381, 125125. [Google Scholar] [CrossRef]
- Kot, M.; Rakowski, W.; Major, Ł.; Lackner, J. Load-bearing capacity of coating-substrate systems obtained from spherical indentation tests. Mater. Des. 2013, 46, 751–757. [Google Scholar] [CrossRef]
- Hutchinson, J.W.; Suo, Z. Mixed mode cracking in layered materials. Adv. Appl. Mech. 1991, 29, 63–191. [Google Scholar] [CrossRef]
- Cotterell, B.; Chen, Z. Buckling and cracking of thin films on compliant substrates under compression. Int. J. Fract. 2000, 104, 169–179. [Google Scholar] [CrossRef]
- Balint, D.S.; Hutchinson, J.W. Mode II edge delamination of compressed thin films. J. Appl. Mech. Trans. ASME 2001, 68, 725–730. [Google Scholar] [CrossRef]
- Alaca, B.E.; Saif, M.T.A.; Sehitoglu, H. On the interface debond at the edge of a thin film on a thick substrate. Acta Mater. 2002, 50, 1197–1209. [Google Scholar] [CrossRef]
- Pac, M.J.; Pinot, Y.; Giljean, S.; Rousselot, C.; Delobelle, P.; Ulhaq-Bouillet, C.; Tuilier, M.H. Investigation of Ti0.54Al0.46/Ti0.54Al0.46N multilayer films deposited by reactive gas pulsing process by nano-indentation and electron energy-loss spectroscopy. Thin Solid Film. 2017, 634, 96–106. [Google Scholar] [CrossRef]
- Colombo, D.A.; Mandri, A.D.; Echeverría, M.D.; Massone, J.M.; Dommarco, R.C. Mechanical and tribological behavior of Ti/TiN and TiAl/TiAlN coated austempered ductile iron. Thin Solid Film. 2018, 647, 19–25. [Google Scholar] [CrossRef] [Green Version]
- Seidl, W.M.; Bartosik, M.; Kolozsvári, S.; Bolvardi, H.; Mayrhofer, P.H. Influence of Ta on the fracture toughness of arc evaporated Ti-Al-N. Vacuum 2018, 150, 24–28. [Google Scholar] [CrossRef]
- Shugurov, A.R.; Kuzminov, E.D.; Kasterov, A.M.; Panin, A.V.; Dmitriev, A.I. Tuning of mechanical properties of Ti1−xAlxN coatings through Ta alloying. Surf. Coat. Technol. 2020, 382, 125219. [Google Scholar] [CrossRef]
- Zhang, S.; Sun, D.; Fu, Y.; Du, H. Toughness measurement of thin films: A critical review. Surf. Coat. Technol. 2005, 198, 74–84. [Google Scholar] [CrossRef]
- Shugurov, A.R.; Akulinkin, A.A.; Panin, A.V.; Sergeev, V.P.; Kalashnikov, M.P.; Voronov, A.V.; Cheng, C.H. Study of crack resistance of TiAlN coatings by scratch testing. Phys. Mesomech. 2017, 20, 185–192. [Google Scholar] [CrossRef]
- Chen, B.F.; Hwang, J.; Yu, G.P.; Huang, J.H. In-situ observation of the cracking behavior of TiN coating on 304 stainless steel subjected to tensile strain. Thin Solid Film. 1999, 352, 173–178. [Google Scholar] [CrossRef]
- Panin, A.V.; Shugurov, A.R.; Kazachenok, M.S.; Sergeev, V.P. Effect of the nanostructuring of a Cu substrate on the fracture of heat-resistant Si-Al-N coatings during uniaxial tension. Tech. Phys. 2012, 57, 779–786. [Google Scholar] [CrossRef]
- Shugurov, A.R.; Panin, A.V.; Dmitriev, A.I.; Nikonov, A.Y. Multiscale fracture of Ti-Al-N coatings under uniaxial tension. Phys. Mesomech. 2021, 24, 185–195. [Google Scholar] [CrossRef]
- Oliver, W.; Pharr, G. An improved technique for determining hardness and elastic modulus using load and displacement sensing indentation experiments. J. Mater. Res. 1992, 7, 1564–1583. [Google Scholar] [CrossRef]
- Stoney, G.G. The tension of metallic films deposited by electrolysis. Proc. R. Soc. A 1909, 82, 172–175. [Google Scholar] [CrossRef] [Green Version]
- Pelleg, J.; Zevin, L.Z.; Lungo, S.; Croitoru, N. Reactive-sputter-deposited TiN films on glass substrates. Thin Solid Film. 1991, 197, 117–128. [Google Scholar] [CrossRef]
- Ahlgren, M.; Blomqvist, H. Influence of bias variation on residual stress and texture in TiAlN PVD coatings. Surf. Coat. Technol. 2005, 200, 157–160. [Google Scholar] [CrossRef]
- Sangiovanni, D.G.; Chirita, V.; Hultman, L. Toughness enhancement in TiAlN-based quarternary alloys. Thin Solid Film. 2012, 520, 4080–4088. [Google Scholar] [CrossRef] [Green Version]
- Leyland, A.; Matthews, A. On the significance of the H/E ratio in wear control: A nanocomposite coating approach to optimised tribological behavior. Wear 2000, 246, 1–11. [Google Scholar] [CrossRef]
- Musil, J. Hard nanocomposite coatings: Thermal stability, oxidation resistance and toughness. Surf. Coat. Technol. 2012, 207, 50–65. [Google Scholar] [CrossRef]
- Bull, S.J. Failure Modes in scratch adhesion testing. Surf. Coat. Technol. 1991, 50, 25–32. [Google Scholar] [CrossRef]
- Bull, S.J. Failure mode maps in the thin film scratch adhesion test. Tribol. Int. 1997, 30, 491–498. [Google Scholar] [CrossRef]
- Besel, M.; Breitbarth, E. Advanced analysis of crack tip plastic zone under cyclic loading. Int. J. Fatigue 2016, 93, 92–108. [Google Scholar] [CrossRef]
- Massl, S.; Thomma, W.; Keckes, J.; Pippan, R. Investigation of fracture properties of magnetron-sputtered TiN films by means of a FIB-based cantilever bending technique. Acta Mater. 2009, 57, 1768–1776. [Google Scholar] [CrossRef]
- Xie, C.; Tong, W. Cracking and decohesion of a thin Al2O3 film on a ductile Al-5%Mg substrate. Acta Mater. 2005, 53, 477–485. [Google Scholar] [CrossRef]
- Choi, H.W.; Lee, K.-R.; Wang, R.; Oh, K.H. Fracture behavior of diamond-like carbon films on stainless steel under a micro-tensile test condition. Diam. Relat. Mater. 2006, 15, 38–43. [Google Scholar] [CrossRef]
- Ohmura, T.; Matsuoka, S. Evaluation of mechanical properties of ceramic coatings on a metal substrate. Surf. Coat. Technol. 2003, 169–170, 728–731. [Google Scholar] [CrossRef]
- Agrawal, D.C.; Raj, R. Ultimate shear strengths of copper-silica and nickel-silica interfaces. Mater. Sci. Eng. A 1990, 126, 125–131. [Google Scholar] [CrossRef]
- Lee, S.K.; Ishida, W.; Lee, S.Y.; Nam, K.W.; Ando, K. Crack-healing behavior and resultant strength properties of silicon carbide ceramic. J. Eur. Ceram. Soc. 2005, 25, 569–576. [Google Scholar] [CrossRef]
- Tavangarian, F.; Hui, D.; Li, G. Crack-healing in ceramics. Compos. Part B Eng. 2018, 144, 56–87. [Google Scholar] [CrossRef]
- Seo, H.-I.; Kim, D.; Lee, K.S. Crack healing in mullite-based EBC during thermal shock cycle. Coatings 2019, 9, 585. [Google Scholar] [CrossRef] [Green Version]
- Summers, W.D.; Begley, M.R.; Zok, F.W. Transition from penetration cracking to spallation in environmental barrier coatings on ceramic composites. Surf. Coat. Technol. 2019, 378, 125083. [Google Scholar] [CrossRef]
- Darolia, R. Thermal barrier coatings technology: Critical review, progress update, remaining challenges and prospects. Int. Mater. Rev. 2013, 58, 315–348. [Google Scholar] [CrossRef]









| Coating | Number of Layers Ti0.45Al0.55N/ Ti0.45Al0.55 | Layer Thickness Ti0.45Al0.55N/ Ti0.45Al0.55, µm | Total Coating Thickness, µm | H, GPa | E*, GPa | H/E* | σR, GPa |
|---|---|---|---|---|---|---|---|
| Ti0.45Al0.55N | - | - | 3.0 | 34.8 ± 2.1 | 360 ± 17 | 0.097 | −1.6 |
| ML1 | 11/10 | 0.21/0.07 | 3.0 | 23.6 ± 1.9 | 261 ± 11 | 0.090 | −0.6 |
| ML2 | 4/3 | 0.6/0.2 | 3.0 | 33.5 ± 1.8 | 335 ± 20 | 0.100 | −0.5 |
| ML3 | 4/3 | 0.3/0.6 | 3.0 | 16.8 ± 1.4 | 216 ± 12 | 0.078 | −0.5 |
| Ti0.43Al0.45Ta0.12N | - | - | 3.0 | 31.5 ± 1.7 | 314 ± 14 | 0.100 | −3.0 |
| Coating | εI, % | εII, % | εIII, % | εIV, % | S, % |
|---|---|---|---|---|---|
| Ti0.45Al0.55N | 1.39 | 1.98 | 4.91 | 17.12 | 18.1 |
| ML1 | 1.46 | 2.05 | 6.33 | 23.54 | 16.7 |
| ML2 | 1.49 | 2.08 | 6.64 | 23.60 | 14.5 |
| ML3 | 1.78 | 2.61 | 7.63 | 23.71 | 8.2 |
| Ti0.43Al0.45Ta0.12N | 2.04 | 3.50 | 7.46 | 20.79 | 9.7 |
Publisher’s Note: MDPI stays neutral with regard to jurisdictional claims in published maps and institutional affiliations. |
© 2021 by the authors. Licensee MDPI, Basel, Switzerland. This article is an open access article distributed under the terms and conditions of the Creative Commons Attribution (CC BY) license (https://creativecommons.org/licenses/by/4.0/).
Share and Cite
Shugurov, A.R.; Kuzminov, E.D. The Effect of Multilayer Architecture and Ta Alloying on the Mechanical Performance of Ti-Al-N Coatings under Scratching and Uniaxial Tension. Metals 2021, 11, 1307. https://doi.org/10.3390/met11081307
Shugurov AR, Kuzminov ED. The Effect of Multilayer Architecture and Ta Alloying on the Mechanical Performance of Ti-Al-N Coatings under Scratching and Uniaxial Tension. Metals. 2021; 11(8):1307. https://doi.org/10.3390/met11081307
Chicago/Turabian StyleShugurov, Artur Rubinovich, and Evgenii Dmitrievich Kuzminov. 2021. "The Effect of Multilayer Architecture and Ta Alloying on the Mechanical Performance of Ti-Al-N Coatings under Scratching and Uniaxial Tension" Metals 11, no. 8: 1307. https://doi.org/10.3390/met11081307
APA StyleShugurov, A. R., & Kuzminov, E. D. (2021). The Effect of Multilayer Architecture and Ta Alloying on the Mechanical Performance of Ti-Al-N Coatings under Scratching and Uniaxial Tension. Metals, 11(8), 1307. https://doi.org/10.3390/met11081307

