Microstructure and Thermomechanical Characterization of Fe-28Mn-6Si-5Cr Shape Memory Alloy
Abstract
1. Introduction
2. Materials and Methods
3. Results and Discussion
3.1. Microstructural Characterization
3.2. X-ray Diffraction Study
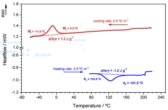
3.3. Thermal Analysis
3.4. Mechanical Behavior
4. Conclusions
- The microstructural characterization corroborated the presence of the two phases, ε-martensite and γ-austenite at room temperature. In addition, two types of intermetallic compounds were detected. Those located at the grain boundary had a similar composition to the surrounding matrix, whereas the particles embedded in the matrix were Si-enriched.
- The reversibility of the martensitic transformation, ε ↔ γ, was assessed by thermal analysis and X-ray diffraction studies. The obtained values for the critical temperatures As, Af, Ms, and Mf were 123.8 °C, 141.5 °C, 4.2 °C, and −11.8 °C, respectively. It was also confirmed that the transformation was not totally reversible, depending on the strain degree and the number of thermal cycles. Thus, the increase of any of these parameters involves a lower degree of reversibility.
- Thermal analysis was also used to study the kinetics of the ε → γ transformation. The isoconversion curves were constructed to design the improved thermal activation cycle in the studied SMS alloy.
- From the tensile tests the Rp0.2, Rm(UTS), the EL(%), and the necking parameters were evaluated. The values were 241 MPa, 760 MPa, 33.8%, and 29.9%, respectively. The recovery stress was 140 MPa, after 7.6% pre-strain and a thermal activation to 160 °C, under a fully constrained condition.
Author Contributions
Funding
Data Availability Statement
Conflicts of Interest
References
- Nascimento-Borges, F.C. Iron Based Shape Memory Alloys: Mechanical and Structural Properties, Shape Memory Alloys-Processing, Characterization and Applications. Shape Mem. Alloy. Process. Charact. Appl. 2013, 116–128. [Google Scholar] [CrossRef]
- Cladera, A.; Weber, B.; Leinenbach, C.; Czaderski, C.; Shahverdi, M.; Motavalli, M. Iron-based shape memory alloys for civil engineering structures: An overview. Constr. Build. Mater. 2014, 63, 281–293. [Google Scholar] [CrossRef]
- Hong, K.; Lee, S.; Han, S.; Yeon, Y. Evaluation of Fe-based shape memory alloy (Fe-SMA) as strengthening material for reinforced concrete structures. Appl. Sci. 2018, 8, 730. [Google Scholar] [CrossRef]
- Lee, W.J.; Weber, B.; Feltrin, G.; Czaderski, C.; Motavalli, M.; Leinenbach, C. Phase transformation behavior under uniaxial deformation of an Fe-Mn-Si-Cr-Ni-VC shape memory alloy. Mater. Sci. Eng. A 2013, 581, 1–7. [Google Scholar] [CrossRef]
- Sato, A.; Chishima, E.; Soma, K.; Mori, T. Shape memory effect in γ ⇄ ε transformation in Fe-30Mn-1Si alloy single crystals. Acta Metall. 1982, 30, 1177–1183. [Google Scholar] [CrossRef]
- Chen, J.; Peng, H.B.; Yang, Q.; Wang, S.L.; Song, F.; Wen, Y.H. Effect of carbon content on shape memory effect of Fe-Mn-Si-Cr-Ni-based alloys at different deformation temperatures. Mater. Sci. Eng. A 2016, 677, 133–139. [Google Scholar] [CrossRef]
- Kırındı, T.; Sarı, U. The effects of austenite phase deformation on microstructure and magnetic properties in Fe-13.4%Mn-5.2%Mo alloy. J. Mater. Sci. 2011, 46, 6378–6383. [Google Scholar] [CrossRef]
- Sari, U.; Kirindi, T.; Yüksel, M.; Aǧan, S. Influence of Mo and Co on the magnetic properties and martensitic transformation characteristics of a Fe-Mn alloy. J. Alloys Compd. 2009, 476, 160–163. [Google Scholar] [CrossRef]
- Maji, B.C.; Krishnan, M. The effect of microstructure on the shape recovery of a Fe-Mn-Si-Cr-Ni stainless steel shape memory alloy. Scr. Mater. 2003, 48, 71–77. [Google Scholar] [CrossRef]
- Sari, U.; Kirindi, T. Effect of Mn content on the austenite-martensite phases and magnetic properties in Fe-Mn-Co alloys. Mater. Chem. Phys. 2011, 130, 738–742. [Google Scholar] [CrossRef]
- Guerrero, L.M.; La Roca, P.; Malamud, F.; Baruj, A.; Sade, M. Composition effects on the fcc-hcp martensitic transformation and on the magnetic ordering of the fcc structure in Fe-Mn-Cr alloys. Mater. Des. 2017, 116, 127–135. [Google Scholar] [CrossRef]
- Pan, M.M.; Zhang, X.M.; Zhou, D.; Misra, R.D.K.; Chen, P.; Su, X. Bin On the significance of C and Co on shape memory performance of Fe–Mn–Si–Cr–Ni shape memory alloy. Mater. Sci. Eng. A 2020, 786, 139412. [Google Scholar] [CrossRef]
- Otsuka, H.; Yamada, H.; Maruyama, T.; Tanahashi, H.; Matsuda, S.; Murakami, M. Effects of alloying additions on Fe-Mn-Si shape memory alloys. ISIJ Int. 1990, 30, 674–679. [Google Scholar] [CrossRef]
- Cotes, S.; Fernández Guillermet, A.; Sade, M. Phase stability and fcc/hcp martensitic transformation in Fe-Mn-Si alloys Part I. Experimental study and systematics of the Ms and As temperatures. J. Alloys Compd. 1998, 278, 231–238. [Google Scholar] [CrossRef]
- Dias, D.; Nakamatsu, S.; Della Rovere, C.A.; Otubo, J.; Mariano, N.A. Characterization and corrosion resistance behavior of shape memory stainless steel developed by alternate routes. Metals 2020, 10, 13. [Google Scholar] [CrossRef]
- Lai, M.J.; Li, Y.J.; Lillpopp, L.; Ponge, D.; Will, S.; Raabe, D. On the origin of the improvement of shape memory effect by precipitating VC in Fe–Mn–Si-based shape memory alloys. Acta Mater. 2018, 155, 222–235. [Google Scholar] [CrossRef]
- Lee, W.J.; Weber, B.; Feltrin, G.; Czaderski, C.; Motavalli, M.; Leinenbach, C. Stress recovery behaviour of an Fe–Mn–Si–Cr–Ni–VC shape memory alloy used for prestressing. Smart Mater. Struct. 2013, 22, 125037. [Google Scholar] [CrossRef]
- Leinenbach, C.; Arabi-Hashemi, A.; Lee, W.J.; Lis, A.; Sadegh-Ahmadi, M.; Van Petegem, S.; Panzner, T.; Van Swygenhoven, H. Characterization of the deformation and phase transformation behavior of VC-free and VC-containing FeMnSi-based shape memory alloys by in situ neutron diffraction. Mater. Sci. Eng. A 2017, 703, 314–323. [Google Scholar] [CrossRef]
- Stanford, N.; Dunne, D.P.; Li, H. Re-examination of the effect of NbC precipitation on shape memory in Fe-Mn-Si-based alloys. Scr. Mater. 2008, 58, 583–586. [Google Scholar] [CrossRef]
- Stanford, N.; Dunne, D.P. Thermo-mechanical processing and the shape memory effect in an Fe-Mn-Si-based shape memory alloy. Mater. Sci. Eng. A 2006, 422, 352–359. [Google Scholar] [CrossRef]
- Wen, Y.H.; Peng, H.B.; Raabe, D.; Gutierrez-Urrutia, I.; Chen, J.; Du, Y.Y. Large recovery strain in Fe-Mn-Si-based shape memory steels obtained by engineering annealing twin boundaries. Nat. Commun. 2014, 5, 1–2. [Google Scholar] [CrossRef] [PubMed]
- Peng, H.B.; Wen, Y.H.; Xiong, L.R.; Li, N. Influence of initial microstructures on effectiveness of training in a FeMnSiCrNi shape memory alloy. Mater. Sci. Eng. A 2008, 497, 61–64. [Google Scholar] [CrossRef]
- Vyazovkin, S. Evaluation of Activation Energy of Thermally Stimulated Solid-State Reactions under Arbitrary Variation of Temperature. J. Comput. Chem. 1997, 18, 393–402. [Google Scholar] [CrossRef]
- Vyazovkin, S. Modification of the Integral Isoconversional Method to Account for Variation in the Activation Energy. J. Comput. Chem. 2001, 22, 178–183. [Google Scholar] [CrossRef]
- Vyazovkin, S. Advanced isoconversional method. J. Therm. Anal. 1997, 49, 1493–1499. [Google Scholar] [CrossRef]
- Farjas, J.; Roura, P. Isoconversional analysis of solid state transformations. A critical review. Part I. Single step transformations with constant activation energy. J. Therm. Anal. Calorim. 2011, 105, 757–766. [Google Scholar] [CrossRef]
- Balagurov, A.M.; Bobrikov, I.A.; Pons, J.; Cifre, J.; Sun, L.Y.; Golovin, I.S. Structure of the Fe-Mn-Si alloys submitted to γ↔ε thermocycling. Mater. Charact. 2018, 141, 223–228. [Google Scholar] [CrossRef]
- Oliver, E.C.; Mori, T.; Daymond, M.R.; Withers, P.J. Comparison using neutron diffraction of martensitic transformation in Fe-Mn-Si shape memory alloys with and without VN precipitates. Mater. Sci. Technol. 2008, 24, 902–907. [Google Scholar] [CrossRef]
- Stanford, N.; Dunne, D.P. Effect of Si on the reversibility of stress-induced martensite in Fe-Mn-Si shape memory alloys. Acta Mater. 2010, 58, 6752–6762. [Google Scholar] [CrossRef]
- Lin, H.C.; Lin, C.S.; Lin, K.M.; Chuang, Y.C. An investigation of grain-boundary phase in Fe-30Mn-6Si-5Cr shape memory alloy. J. Alloys Compd. 2001, 319, 283–289. [Google Scholar] [CrossRef]
- Stanford, N.; Dunne, D.P.; Monaghan, B.J. Austenite stability in Fe-Mn-Si-based shape memory alloys. J. Alloys Compd. 2007, 430, 107–115. [Google Scholar] [CrossRef]
- Chen, S.; Chung, C.Y.; Yan, C.; Hsu, T.Y. Effect of f.c.c. antiferromagnetism on martensitic transformation in Fe-Mn-Si based alloys. Mater. Sci. Eng. A 1999, 264, 262–268. [Google Scholar] [CrossRef]
- Lin, H.C.; Wu, S.K.; Peng, Y.T.; Cheng, T.C.; Lin, K.M. Pseudoelasticity of thermo-mechanically treated Fe-Mn-Si-Cr-Ta alloys. J. Alloys Compd. 2013, 577, S338–S343. [Google Scholar] [CrossRef]
- Brachet, J.C.; Gavard, L.; Boussidan, C.; Lepoittevin, C.; Denis, S.; Servant, C. Modelling of phase transformations occurring in low activation martensitic steels. J. Nucl. Mater. 1998, 258–263, 1307–1311. [Google Scholar] [CrossRef]
- Mertinger, V.; Benke, M.; Nagy, E.; Pataki, T. Reversible characteristics and cycling effects of the ε ↔ γ martensitic transformations in Fe-Mn-Cr Twip/Trip steels. J. Mater. Eng. Perform. 2014, 23, 2347–2350. [Google Scholar] [CrossRef]
- Marinelli, P.; Baruj, A.; Pons, J.; Sade, M.; Guillermet, A.F.; Cesari, E. The enthalpy change of the hcp → fcc martensitic transformation in Fe-Mn alloys: Composition dependence and effects of thermal cycling. Mater. Sci. Eng. A 2002, 335, 137–146. [Google Scholar] [CrossRef]
- Baruj, A.; Fernández Guillermet, A.; Sade, M. Effects of thermal cycling and plastic deformation upon the Gibbs energy barriers to martensitic transformation in Fe-Mn and Fe-Mn-Co alloys. Mater. Sci. Eng. A 1999, 273–275, 507–511. [Google Scholar] [CrossRef]
- Marinelli, P.; Fernández Guillermet, A.; Sade, M. The enthalpy change of the hcp → fcc martensitic transformation in Fe-Mn-Co alloys: Composition dependence and thermal cycling effects. Mater. Sci. Eng. A 2004, 373, 1–9. [Google Scholar] [CrossRef]
- Liu, Y.; Tan, G.S. Effect of deformation by stress-induced martensitic transformation on the transformation behaviour of NiTi. Intermetallics 2000, 8, 67–75. [Google Scholar] [CrossRef]
- Vyazovkin, S. A Unified Approach to Nonisothermal Data. Unified Kinet. Process. 1995, 28, 95–101. [Google Scholar]
- Ur Rahman, R.A.; Juhre, D.; Halle, T. Review of types, properties, and importance of ferrous based shape memory alloys. Korean J. Mater. Res. 2018, 28, 381–390. [Google Scholar] [CrossRef]
- Sawaguchi, T.; Maruyama, T.; Otsuka, H.; Kushibe, A.; Inoue, Y.; Tsuzaki, K. Design concept and applications of Fe-Mn-Si-based alloys-from shape-memory to seismic response control. Mater. Trans. 2016, 57, 283–293. [Google Scholar] [CrossRef]
- Noell, P.J.; Carroll, J.D.; Boyce, B.L. The mechanisms of ductile rupture. Acta Mater. 2018, 161, 83–98. [Google Scholar] [CrossRef]
- Ghafoori, E.; Hosseini, E.; Leinenbach, C.; Michels, J.; Motavalli, M. Fatigue behavior of a Fe-Mn-Si shape memory alloy used for prestressed strengthening. Mater. Des. 2017, 133, 349–362. [Google Scholar] [CrossRef]
- Hosseini, E.; Ghafoori, E.; Leinenbach, C.; Motavalli, M.; Holdsworth, S.R. Stress recovery and cyclic behaviour of an Fe-Mn-Si shape memory alloy after multiple thermal activation. Smart Mater. Struct. 2018, 27. [Google Scholar] [CrossRef]
- Izadi, M.R.; Ghafoori, E.; Shahverdi, M.; Motavalli, M.; Maalek, S. Development of an iron-based shape memory alloy (Fe-SMA) strengthening system for steel plates. Eng. Struct. 2018, 174, 433–446. [Google Scholar] [CrossRef]















| Phase | Mn (wt%) | Si (wt%) | Cr (wt%) | Fe (wt%) |
|---|---|---|---|---|
| Austenite (matrix, 1) | 28.2 | 6.6 | 5.4 | 59.8 |
| Particles at grain boundary (2) | 28.6 | 6.7 | 5.7 | 59 |
| Particles within austenite grains (3) | 32.9 | 11.9 | 5.7 | 49.5 |
| State of the Sample | γ (111) | γ (200) | γ (220) | γ (311) |
|---|---|---|---|---|
| Peak intensity ratio (I/Imax) | ||||
| Pre-strained | 100 | 24 | 6 | 11 |
| Thermal activated | 100 | 20 | 17 | 10 |
| Variation (%) | 0 | 20 | 183 | 10 |
| FWHM (° 2θ) | ||||
| Pre-strained | 0.47 | 0.75 | 0.77 | 1.05 |
| Thermal activated | 0.31 | 0.26 | 0.29 | 0.13 |
| Variation (%) | −34.0 | −65.3 | −62.3 | −87.6 |
Publisher’s Note: MDPI stays neutral with regard to jurisdictional claims in published maps and institutional affiliations. |
© 2021 by the authors. Licensee MDPI, Basel, Switzerland. This article is an open access article distributed under the terms and conditions of the Creative Commons Attribution (CC BY) license (https://creativecommons.org/licenses/by/4.0/).
Share and Cite
Collazo, A.; Figueroa, R.; Mariño-Martínez, C.; Pérez, C. Microstructure and Thermomechanical Characterization of Fe-28Mn-6Si-5Cr Shape Memory Alloy. Metals 2021, 11, 649. https://doi.org/10.3390/met11040649
Collazo A, Figueroa R, Mariño-Martínez C, Pérez C. Microstructure and Thermomechanical Characterization of Fe-28Mn-6Si-5Cr Shape Memory Alloy. Metals. 2021; 11(4):649. https://doi.org/10.3390/met11040649
Chicago/Turabian StyleCollazo, Antonio, Raúl Figueroa, Carmen Mariño-Martínez, and Carmen Pérez. 2021. "Microstructure and Thermomechanical Characterization of Fe-28Mn-6Si-5Cr Shape Memory Alloy" Metals 11, no. 4: 649. https://doi.org/10.3390/met11040649
APA StyleCollazo, A., Figueroa, R., Mariño-Martínez, C., & Pérez, C. (2021). Microstructure and Thermomechanical Characterization of Fe-28Mn-6Si-5Cr Shape Memory Alloy. Metals, 11(4), 649. https://doi.org/10.3390/met11040649

