Comparison of Rare Earth Refinement in 4130 and HY100
Abstract
1. Introduction
2. Materials and Methods
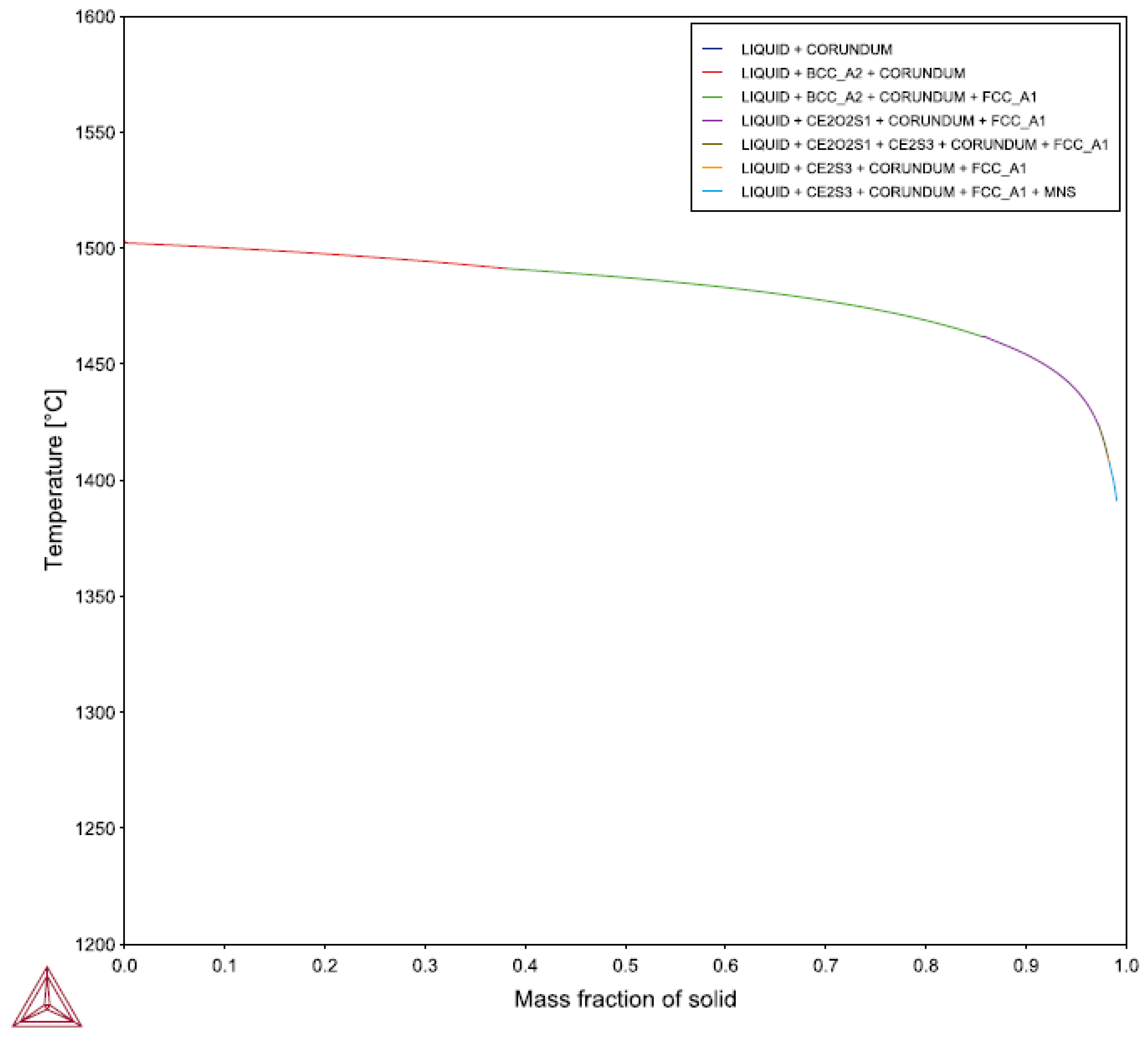
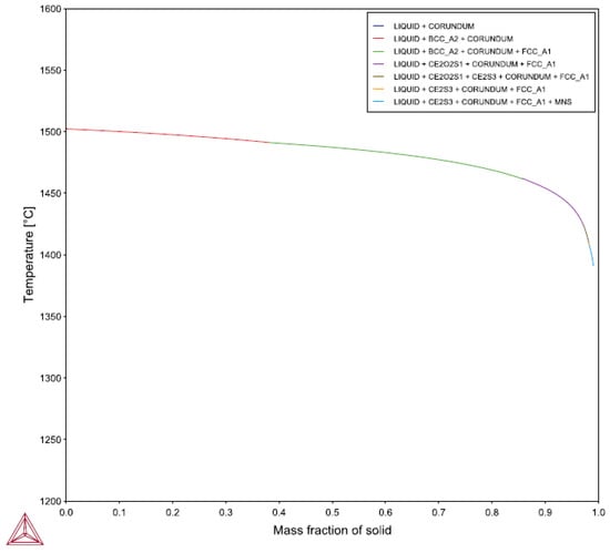
3. Results
3.1. Macrostructure
3.2. TA Results
3.3. Mechanical Testing
3.4. Inclusion Anlysis
4. Discussion
5. Conclusions
Funding
Institutional Review Board Statement
Informed Consent Statement
Data Availability Statement
Acknowledgments
Conflicts of Interest
References
- Speer, J.; De Cooman, B. Fundamentals of Steel Product Physical Metallurgy, 1st ed.; Association of Iron & Steel Technology: Pittsburg, PA, USA, 2011; ISBN 978-1-935117-16-2. [Google Scholar]
- Bramfitt, B.L. Effect of Carbide and Nitride Additions on the Heterogeneous Nucleation Behavior of Liquid Iron. Met. Trans. 1970, 1, 1987–1995. [Google Scholar] [CrossRef]
- Zhang, M.; Kelly, P.; Easton, M.; Taylor, J. Crystallographic Study of Grain Refinement in Aluminum Alloys Using the Edge-to-Edge Matching Model. Acta Mater. 2005, 53, 1427–1438. [Google Scholar] [CrossRef]
- Kelly, P.; Zhang, M.-X. Edge-to-Edge Matching—A New Approach to the Morphology and Crystallography of Precipitates. Mater. Forum 1999, 23, 41–62. [Google Scholar]
- Zhang, M.-X.; Kelly, P.M. Edge-to-Edge Matching Model for Predicting Orientation Relationships and Habit Planes—the Improvements. Scr. Mater. 2005, 52, 963–968. [Google Scholar] [CrossRef]
- van der Eijk, C.; Walmsley, J. Grain Refinement of Fully Austenitic Stainless Steels Using a Fe-Cr-Si-Ce Master Alloy. In Proceedings of the 59th Electric Furnace and 19th Process Technology Conferences, Phoenix, Arizona, 11–14 November 2001; pp. 51–60. [Google Scholar]
- Wang, L.; Lin, Q.; Yue, L.; Liu, L.; Guo, F.; Wang, F. Study of Application of Rare Earth Elements in Advanced Low Alloy Steels. J. Alloys Compd. 2008, 451, 534–537. [Google Scholar] [CrossRef]
- Tang, Z.; Zhang, X. Effect of Rare Earth on 30CrMnSi Steel Investment Castings Cracking. Adv. Mater. Res. 2011, 160–162, 692–697. [Google Scholar] [CrossRef]
- Ji, Y.; Guo, H.; Zheng, X.; Jin, Z.; Ren, H. Influence of Rare Earth on Microstructure of 20MnCrNi2Mo Wear-Resistant Cast Steel. Adv. Mater. Res. 2013, 652–654, 934–937. [Google Scholar] [CrossRef]
- Bartlett, L.N.; Avila, B.R. Grain Refinement in Lightweight Advanced High-Strength Steel Castings. Int. J. Met. 2016, 10, 401–420. [Google Scholar] [CrossRef]
- Tuttle, R.B. Effect of Rare Earth Additions on 4130. In Proceedings of the AISTech 2017, Nashville, TN, USA, 8 May 2017; AIST: Nashville, TN, USA, 2017; pp. 3005–30015. [Google Scholar]
- Tuttle, R.B. Effect of RE Oxide Grain Refinement on the Heat Treated Properties of 1030 Steel. In Proceedings of the AISTech, Indianapolis, IN, USA, 5–8 May 2014; pp. 1619–1630. [Google Scholar]
- Tuttle, R.B. Effect of Austenite Fraction on Rare Earth Grain Refinement. In Proceedings of the 121st Metalcasting Congress, Milwaukee, WI, USA, 25 April 2017; American Foundry Society: Milwaukee, WI, USA, 2017. [Google Scholar]
- Mizumoto, M.; Sasaki, S.; Ohgai, T.; Kagawa, A. Development of New Additive for Grain Refinement of Austenitic Stainless Steel. Int. J. Cast Met. Res. 2008, 21, 49–55. [Google Scholar] [CrossRef]
- Haakosen, J.; Solberg, J.; Klevan, O.; van der Eijk, C. Grain Refinement of Austenitic Manganese Steels. In Proceedings of the AISTech 2011 Proceedings, Indianapolis, IN, USA, 2–5 May 2011; Volume II, pp. 763–771. [Google Scholar]
- Tuttle, R.B. Grain Refinement in Plain Carbon Steels. Trans. Am. Foundry Soc. 2010, 118, 425–435. [Google Scholar]
- Tuttle, R. Effect of Rare Earth Oxides in Plain Carbon Steels. In Proceedings of the AISTech, Pittsburg, PA, USA, 6–9 May 2013; pp. 1085–1093. [Google Scholar]
- Tuttle, R.B. Influence of Rare Earth Additions on the Structure of HY100. In Proceedings of the 122 Metalcasting Congress, Fort Worth, TX, USA, 4 May 2018. [Google Scholar]
- Han, Z.; Liu, J.; He, Y.; Li, K.; Ji, Y.; Liu, J. Determination of the Liquidus and Solidus Temperatures of FeCrAl Stainless Steel. Int. J. Miner. Met. Mater 2015, 22, 1141–1148. [Google Scholar] [CrossRef]
- Wielgosz, E.; Kargul, T. Differential Scanning Calorimetry Study of Peritectic Steel Grades. J. Therm. Anal. Calorim. 2015, 119, 1547–1553. [Google Scholar] [CrossRef]
- Sun, S.-H.; Zhao, A.-M.; Ding, R.; Li, X.-G. Effect of Heat Treatment on Microstructure and Mechanical Properties of Quenching and Partitioning Steel. Acta Metall. Sin. 2018, 31, 216–224. [Google Scholar] [CrossRef]
- Gojić, M.; Sućeska, M.; Rajić, M. Thermal Analysis of Low Alloy Cr-Mo Steel. J. Therm. Anal. Calorim. 2004, 75, 947–956. [Google Scholar] [CrossRef]
- Stefanescu, D.M. Thermal Analysis—Theory and Applications in Metalcasting. Int. J. Met. 2015, 9, 7–22. [Google Scholar] [CrossRef]
- Boettinger, W.J.; Kattner, U.R.; Moon, K.; Perepezko, J. NIST Recommended Practice Guide: DTA and Heat-Flux DSC Measurements of Alloy Melting and Freezing; NIST: Gaithersburg, MD, USA, 2006.
- Kapadia, H.A.; Tuttle, R.B. A System for the Thermal Analysis of Steels. In Proceedings of the 123rd Metalcasting Congress, Atlanta, GA, USA, 27 April 2019. [Google Scholar]
- Tuttle, R.B. Peritectic Determination by a Melt Deck Thermal Analysis System. Arch. Foundry Eng. 2019, 19, 83–88. [Google Scholar] [CrossRef]
- Binczyk, F.; Cwajna, J.; Gradoń, P. ATD and DSC Analysis of IN-713C and ZhS6U-VI Superalloys. Arch. Foundry Eng. 2017, 17, 13–16. [Google Scholar] [CrossRef][Green Version]
- Dojka, M.; Dojka, R.; Studnicki, A. Development of a New ATD-P Tester for Hard Wear Resistant Materials. Arch. Foundry Eng. 2017, 17. [Google Scholar] [CrossRef][Green Version]
- Abraham, S.; Bodnar, R.; Lonnqvist, J.; Shahbazian, F.; Lagerstedt, A.; Andersson, M. Investigation of Peritectic Behavior of Steel Using a Thermal Analysis Technique. Metall. Mater. Trans. A 2019, 50, 2259–2271. [Google Scholar] [CrossRef]
- Kapadia, H.A.; Tuttle, R.B. A System for the Thermal Analysis of Steels. Trans. Am. Foundry Soc. 2019, 127, 357–369. [Google Scholar]
- Tuttle, R.B. Thermal Analysis of Rare Earth Additions to HY100. J. Mater. Eng. Perform. 2019, 28, 2707–2715. [Google Scholar] [CrossRef]
- Tuttle, R.; Kapadia, H.A. Thermal Analysis of Rare Earth Grain Refined 4130. Int. J. Met. 2018, 13, 273–285. [Google Scholar] [CrossRef]
- Tuttle, R.B. Thermal Analysis and Properties of 1030 with Mg & Ti Additions. Trans. Am. Foundry Soc. 2020, 128, 241–252. [Google Scholar]
- Tuttle, R. Thermal Analysis Experiments in Titanium and Magnesium Additions to 4130 Steel. J. Mater. Eng. Perform. 2020, 29, 5913–5922. [Google Scholar] [CrossRef]
- Tuttle, R.B. Study of Rare Earth Additions Effect on the Solidification and Properties of 4130 Steel. J. Mater. Eng. Perform. 2019, 28, 6720–6727. [Google Scholar] [CrossRef]
- Gruzleski, J.E. Microstructure Development During Metalcasting; American Foundrymen’s Society, Inc.: Schaumburg, IL, USA, 2000; ISBN 978-0-87433-204-9. [Google Scholar]
- Tuttle, R.; Song, K. Characterization of Rare Earth Inclusions from Cast 1010 Steel. Int. J. Met. 2015, 9, 23–31. [Google Scholar] [CrossRef]
- McLean, A.; Lu, S.K. Thermodynamic Behavior of Rare Earth Elements in Molten Steel. Met. Mater. 1974, 8, 452–457. [Google Scholar]
- Dyson, D.J.; Holmes, B. Effect of Alloying Additions on the Lattice Parameter of Austenite. J. Iron Steel Inst. Lond. 1970, 208, 469–474. [Google Scholar]
- Inorganic Material Database (AtomWork). Available online: http://crystdb.nims.go.jp/index_en.html (accessed on 1 July 2016).
- Stefanescu, D. Science and Engineering of Casting Solidification, 3rd ed.; Springer: New York, NY, USA, 2015; ISBN 978-3-319-15692-7. [Google Scholar]
- Tuttle, R.B. Effect of Magnesium and Titanium on the Mechanical Properties of HY100. In Proceedings of the AISTech 2020, Cleveland, OH, USA, 31 August–3 September 2020; AIST: Pittsburg, PA, USA, 2020. [Google Scholar]
- Arvola, D.; O’Malley, R.; Lekakh, S.N.; Bartlett, L.N. Effect of Phase Solidification Sequence in Stainless Steel on Grain Refining Efficiency. In Proceedings of the AISTech 2018 Proceedings; AIST: Philadelphia, PA, USA, 2018; Volume III, pp. 2651–2662. [Google Scholar]


















| Alloy | C | Si | Mn | P | S | Cr | Mo | Ni | Al | Ce 1 |
|---|---|---|---|---|---|---|---|---|---|---|
| 4130 | 0.32 | 0.28 | 0.45 | 0.015 | 0.013 | 0.94 | 0.25 | 0.05 | 0.12 | 0.019 |
| HY100 | 0.15 | 0.26 | 0.33 | 0.013 | 0.011 | 1.43 | 0.53 | 2.74 | 0.10 | 0.010 |
| Heat | Liquidus | Peritectic | Solidus | Ce2O2S | Ce2S3 |
|---|---|---|---|---|---|
| Predicted | 1506 | 1483 | 1409 | 1463 | 1425 |
| Baseline | 1497 | 1483 | 1420 | - | - |
| 0.3 RE | 1491 | 1487 | 1431 | 1475 | - |
| 0.3 EGR | 1492 | 1492 | 1429 | 1491 | 1489 |
| Heat | Liquidus | Peritectic | Solidus | Ce2O2S | Ce2S3 |
|---|---|---|---|---|---|
| Predicted | 1501 | 1490 | 1390 | 1462 | 1423 |
| Baseline | 1497 | 1494 | 1434 | - | - |
| 0.3 RE | 1496 | 1490 | 1430 | - | - |
| 0.3 EGR | 1494 | 1492 | 1408 | - | - |
| Ce | La | Fe | S | Al | O | C |
|---|---|---|---|---|---|---|
| 19.6 | 11.8 | 3.4 | 3.9 | 26.7 | 32.6 | 2.0 |
| Ce | La | Fe | Mn | Cr | S | Al | O |
|---|---|---|---|---|---|---|---|
| 6.4 | 3.3 | 4.0 | 35.2 | 4.6 | 30.0 | 9.32 | 7.21 |
Publisher’s Note: MDPI stays neutral with regard to jurisdictional claims in published maps and institutional affiliations. |
© 2021 by the author. Licensee MDPI, Basel, Switzerland. This article is an open access article distributed under the terms and conditions of the Creative Commons Attribution (CC BY) license (http://creativecommons.org/licenses/by/4.0/).
Share and Cite
Tuttle, R. Comparison of Rare Earth Refinement in 4130 and HY100. Metals 2021, 11, 540. https://doi.org/10.3390/met11040540
Tuttle R. Comparison of Rare Earth Refinement in 4130 and HY100. Metals. 2021; 11(4):540. https://doi.org/10.3390/met11040540
Chicago/Turabian StyleTuttle, Robert. 2021. "Comparison of Rare Earth Refinement in 4130 and HY100" Metals 11, no. 4: 540. https://doi.org/10.3390/met11040540
APA StyleTuttle, R. (2021). Comparison of Rare Earth Refinement in 4130 and HY100. Metals, 11(4), 540. https://doi.org/10.3390/met11040540
