Abstract
Diffusion bonding is a solid-state welding technique used to join similar and dissimilar materials. Relatively long processing times, usually in the order of several hours as well as fine polished surfaces make it challenging to integrate diffusion bonding in other production processes and mitigate widespread use of the technology. Several studies indicate that varying pressure during diffusion bonding in contrast to the traditionally applied constant load may reduce overall processing- and bonding times. Such processes are referred to as impulse pressure-assisted diffusion bonding (IPADB) and they are, for the first time, reviewed in this work using the PRISMA (Preferred Reporting Items for Systematic Reviews and Meta-Analysis) methodology. Results of the review indicate that varying pressure can indeed reduce bonding times in diffusion bonding and reduce the requirements for pre-bond surface preparation. Additional research is required and should go beyond small and simple sample geometries to concentrate on making IPADB accessible to industrial applications.
1. Introduction
Diffusion bonding, also known as diffusion welding, is a solid-state welding technique by which two surfaces are joined under high-temperature and mechanical pressure in a vacuum or nonoxidizing environment [1]. Diffusion bonding is a high-tech process that was originally developed in the Soviet Union (and shortly after the United States) in the 1960s for lightweight aerospace parts. Today diffusion bonding is used in various industries such as aerospace, petrochemical, and energy applications. Diffusion bonding can be used to join dissimilar parts and create holohedral structures, such as the cooling channels in plate-type heat exchangers. Compared with competing joining technologies such as brazing and gluing, diffusion bonding is relatively expensive. Cooke and Atieh [2] identified the relatively slow welding times (diffusion bonding of metals usually requires process times between 30 min and several hours) as the major key challenge that needs to be overcome to better integrate diffusion bonding in other production processes.
Three steps are commonly differentiated in diffusion bonding as indicated in Figure 1. The base materials are brought in intimate contact at the mating surfaces that will show some asperities. These asperities will need to be overcome to create a sound bond. In a first step, pressure is used to deform the asperities and thus increase the area of contact between the two mating surfaces. The quality of the surface finish is an important factor in diffusion bonding as larger asperities need to be overcome if surfaces could not be properly polished in preparation of the diffusion bonding process [3,4]. The applied force will further break the protective oxide layer of the mating surfaces and create interfacial boundaries. At the second stage, grain boundaries further migrate and pores along the bond line will be reduced. In the last step, stage 3, pores will be largely eliminated through volume diffusion, and the bond will be homogenized. If done correctly, a bond of the highest quality is formed that is largely indistinguishable from the base material itself and shows a strength that is nearly as high as that of the base material.
Figure 1.
Overview of the different stages during diffusion bonding.
Bonding temperature, bonding time, and bonding pressure are the most important parameters characterizing the diffusion bonding process. Besides these three main parameters, atmosphere (usually quality of the vacuum or protective gas atmosphere), surface treatment/roughness, and interlayers (if applied) are reported.
To reduce bonding time of the diffusion bonding process, Cooke and Atieh [2] suggested to use nanostructured interlayers. Using thin interlayers that melt during diffusion bonding is not a new process but referred to as transient liquid phase (TLP) bonding that can dramatically reduce bonding times. The thin interlayer, which has a lower melting point than the base materials and melts below the bonding temperature, is placed between the base materials that are to be joined. The interlayer element (or constituent if an alloy interlayer is used) diffuses into the base materials, causing isothermal solidification at the bonding temperature. As a result, a bond that has a higher melting point than the initial TLP bonding temperature is formed [5,6,7,8]. Using nanostructured interlayers that have a high surface energy as a result of their large surface to volume ratio is a clever way to reduce the bonding time (and often even the bonding temperature) in diffusion bonding or related processes such as vacuum brazing [9,10,11].
Applying interlayers on complicated geometries, such as the 10–200 platelets of a diffusion-bonded printed circuit heat exchanger (PCHE) plate package [12] without blocking the micro-channels of the final product can be technically challenging and expensive. Processes that decrease the bonding time without additional pretreatment or usage of (exotic and, as a result, expensive) nanomaterials would thus be most desirable. A good example is a process proposed by Shirzadi and Wallach [13,14,15] who showed that a simple temperature gradient perpendicular to the bond plane has a benevolent effect on the final bond quality. Other recent promising innovations in diffusion bonding may include in-line surface treatment and diffusion bonding [16] as well as spark plasma diffusion bonding [17,18,19].
It is not uncommon to vary temperature and pressure during the diffusion bonding process. Song et al. [20], for instance, used a two-stage diffusion bonding process for joining 316 L stainless steel with a Ti alloy. In the process, samples are first heated to 750 °C and kept there under 30 MPa load for 20 min before moving to the second diffusion bonding stage where samples are diffusion bonded at 900 °C under 5 MPa pressure for another 30–120 min.
Instead of varying temperature and pressure “only” two times over the process, rapid changes of more than two times can be performed. Sheng et al. [21] rapidly cycled the temperature during diffusion bonding of Ti (TA17) and 304 stainless steel. Besides rapid temperature changes that will have little effect on larger parts in a vacuum furnace with induction heating, rapid pressure variations are another promising process to reduce processing times in diffusion bonding. Rapidly varying the applied load during diffusion bonding is a process referred to as impulse pressure-assisted diffusion bonding (IPADB) or impulse pressuring diffusion bonding (IPDB). In this work, we refer to it as IPADB since it does not have to be performed over the whole bonding time and the description that it “assists” the ongoing diffusion process by more efficiently breaking the protective oxide layer seems most accurate. Figure 2 schematically shows the difference between traditional diffusion bonding with constant bonding pressure (Figure 2a) and IPADB with varying bonding pressure (Figure 2b).
Figure 2.
Schematic comparison of bonding temperature and -pressure during the traditional diffusion bonding process (a) and impulse pressure diffusion bonding (IPADB) (b).
This work provides, for the first time, a critical review on reported experimental work using IPADB with the aim to quantify to which degree bonding times can be reduced and the joint quality can be improved by applying this technique.
2. Materials and Methods
We used the PRISMA (Preferred Reporting Items for Systematic Reviews and Meta-Analysis) methodology for a systematic review and searched for publications using Google Scholar and Espacenet of the European Patent Office (EPO). In total, we screened more than 300 records looking for pressure variation during diffusion bonding of which only 17 qualified to be included in this review as these studies can clearly be attributed to IPADB.
3. Results and Discussion
Varying the pressure to break the protective oxide layer on materials that are otherwise challenging to bond appears as a straight forward approach to improve diffusion bonding in a way that the bonding time can be reduced or joints can be produced at higher quality using bonding times similar to traditional diffusion bonding without pressure variation. The idea to use systematic pressure pulses or IPADB may be accredited to the E.O. Paton Electric Welding Institute of the National Academy of Sciences in Ukraine, located in Kiev [22].
Several publications report positive effects of varying pressure. Norajitra et al. [23] report that the use of dynamic pressure is benevolent for diffusion bonding of refractory metals in a way that the bonding time can be reduced. Xiong et al. [24] used high frequency vibrations (140–170 Hz) to reduce parameters during bonding of aluminum and Ti. In case of aluminum (Alloy LD2) where vibrations at a frequency of 167 Hz were applied, bonding temperature, bonding time, and bonding pressure could be reduced from 520 to 480 °C, 210 to 60 min, and 3 to 2.5 MPa, respectively, while the bond strength measured by tensile testing was improved from 72 to 106 MPa. In case of Ti (TC4) where vibrations at a frequency of 140 Hz were applied, bonding temperature and bonding time could be reduced from 1280 to 1000 °C and 90 to 45 min, respectively, while bond strength measured by tensile testing increased from 102 to 144 MPa. The bonding pressure was slightly increased from 2 to 2.5 MPa.
Research groups from the Chongqing University in China (College of Materials Science and Engineering) and the Indian Institute of Technology (IIT) Roorkee (Department of Mechanical and Industrial Engineering) conducted systematic analysis of IPADB that are most relevant for this review.
3.1. Chongqing Group
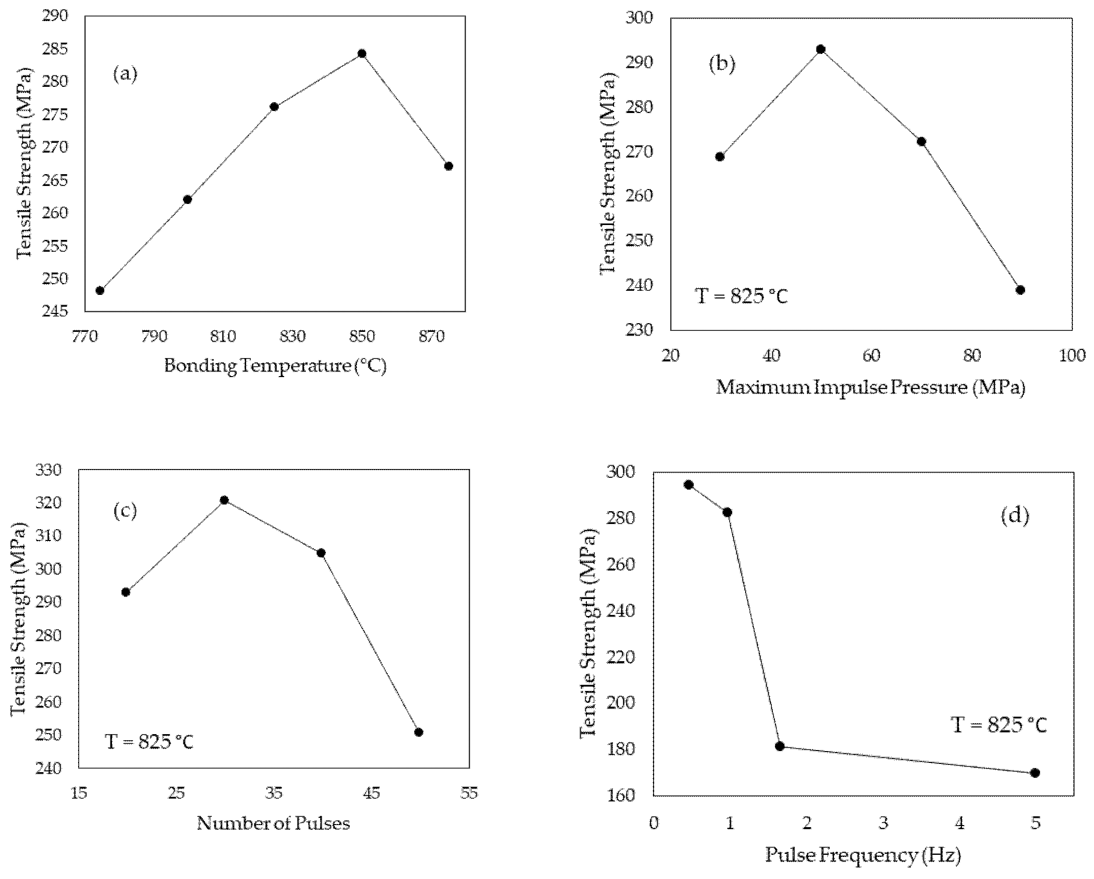
Qin et al. [25] reported first IPADB experiments of Ti (TA17) and 304 stainless steel that indicate advantages of IPADB over traditional diffusion bonding with constant pressure. IPADB of the same material combination was subsequently, systematically investigated by Yuan et al. [26]. First, the engineering optimum bonding temperature was determined to be 825 °C (see Figure 3a). Subsequently, the maximum impulse pressure (Figure 3b), the number of pulses (Figure 3c), and the pulse frequency (Figure 3d) was optimized as indicated in Figure 3a–d.
Figure 3.
Optimization of IPADB parameters: (a) bonding temperature, (b) maximum impulse pressure, (c) number of pulses and (d) pulse frequency for bonding of Ti (TA17) and 304 stainless steel after Yuan et al. [26].
Following these initial experiments, researchers from the Chongqing University deployed IPADB for joining of TiC cermet to 304 stainless steel using a Ti/Cu/Nb (30/20/30 μm) interlayer [27] and a Ti/Nb (20/30 μm) interlayer [28]. Best results were achieved at a bonding temperature of 885 and 890 °C with bonding times of 5 and 10 min, respectively. In both studies, pressure variations of 2–10 MPa at 0.5 Hz under a 1 × 10−3 Pa vacuum were used. The studies compared the results at different bonding times (2,3,5,7, and 8 min and 4,6,8,10, and 12 min) while leaving all other parameters constant. A direct comparison between IPADB and diffusion bonding with constant load was not provided. Li and Sheng [28] do, however, point out that due to IPADB, bonding times required for traditional diffusion bonding of similar materials could be significantly reduced from 45–120 min to the 10 min required in the presented study.
The same research group also conducted experiments on IPADB of commercially pure Ti to 304 stainless steel using a Ni (200 μm thickness) interlayer in vacuum at a temperature of 850 °C and pressure ranging from 8 to 20 MPa [29]. The reached ultimate tensile strength (UTS) of 358 MPa is comparable with results achieved by traditional diffusion bonding and TLP bonding of commercially pure Ti and 304 stainless steel [30]. However, significant reduction in bonding times of 60–180 s was achieved. The needed bonding time for IPADB were 60 times shorter than those (60–180 min) of traditional diffusion bonding of these materials. The experiments were based on previous IPADB joining experiments of Ti-4Al-2V and 304 stainless steel with different Ni-interlayers in the form of nanopowder (d = 20 μm), plating (10, 15, and 20 μm thickness), and foil (13 μm thickness) that showed the best reported bond quality [31]. Different pressure pulsation: 8–30, 8–30, 8–50, and 8–80 MPa were used at a frequency of 0.5 Hz. A direct comparison between samples produced using static pressure and IPADB was again not provided. The effective bonding time was only 180 s.
Slightly lower ultimate tensile strength of 346 MPa could be realized by Deng et al. [32] during IPADB of commercially pure Ti to 304 stainless steel using a Cu (50 μm thickness) interlayer in vacuum at a temperature of again 850 °C and pressure ranging from again 8–20 MPa. In line with previous experiments, the effective bonding time was again only 180 s.
The research group from the Chongqing University further conducted IPADB experiments between pure Cu and 304 L stainless steel with and without an Ni (12.5/50 μm) interlayer examining different bonding times (5, 10, and 20 min) and bonding temperatures (825, 850, and 875 °C) in a vacuum of 5 × 10−2 Pa and pressure variation of 5–20 MPa at 0.5 Hz [33]. Best results were obtained with a 12.5 μm Ni interlayer at 850 °C and a bonding time of 20 min. The authors remark that compared with other studies [30] using constant pressure, microvoids could be significantly reduced using varying pressure. The group also used IPADB for joining of pure Cu (100 μm thickness) and 304 L stainless steel at 850 °C, at a bonding time of 20 min and impulse pressure of 5–20 MPa at a frequency of 0.5 Hz. Subsequently, AZ31 magnesium was bonded on the Cu at 520 °C as well as 495 °C and 2 MPa constant pressure [34].
3.2. Roorkee Group
Another set of systematic experiments on IPADB has been conducted at the IIT Roorkee. Besides reducing the processing time during diffusion bonding, another major motivation for using IPADB was the potential ability to diffusion bond relatively to rough surfaces. First experiments, therefore, focused on comparison IPADB of ferritic stainless steel samples with different surface treatments [35]. Surface grinding with roughness of 2.29 μm was compared with rough polishing (0.72 μm roughness) and fine polishing (0.02 μm roughness). Pulse pressures of 20, 30, and 40 MPa were used at pulsation times of 180 s (6 pulses à 30 s), 360 s (6 pulses à 60 s), and 540 s (6 pulses à 90 s), respectively. The bonding temperature was set to 850 °C, and the overall bonding time was 30 min. Pulsation was performed at the beginning of the diffusion bonding process when the bonding temperature was reached. Although IPADB seems to do better with rough surfaces than traditional diffusion bonding, the best results were still reached with the fine polished (0.02 μm) surface. Highest pressures of 40 MPa and pulsation time of 540 s proved to produce the best diffusion bonds in these experiments.
Similarly, IPADB experiments were conducted for a ferritic low carbon steel using an Ag foil (40 μm thickness) interlayer [36]. For these experiments, the temperature was slightly increased to 875 °C, while the pulse pressure was reduced to 10 MPa. In total, only 10 pressure pulses were found to produce the best bond quality using again a bonding time of 30 min.
The same ferritic low carbon steel (surface roughness: 0.85 μm) was used for additional IPADB experiments [37] that specifically looked at the voids after diffusion bonding as it was postulated earlier that IPADB can reduce those voids. It is postulated that IPADB breaks the oxide layer and fills the voids at the interface resulting from asperities by plastic flow of the metal in the overlapped area. Figure 4 shows the results of Sharma and Dwivedi [37] who compared different maximum pressures (Pmax = 20, 30, and 40 MPa) and different number of pulses (0, 6, and 18) with regards to the number and size of voids on the diffusion-bonded interfaces. Representative lengths of 400 μm of the diffusion bonds were analyzed for this purpose. The total number of voids clearly reduced with the applied maximum pressure from 130 (Pmax = 20 MPa) to 86 (Pmax = 30 MPa) and lastly 62 (Pmax = 40 MPa). The same holds true for the number of pulses where voids are reduced after increased pulsation: 116 (0 pulses) to 87 (6 pulses) and 75 (18 pulses).
Figure 4.
Influence of maximum pressure (Pmax = 20, 30, and 40 MPa) and number of pulses (0, 6, and 18) on the number and size of voids along the bonding interface of ferritic stainless steel samples produced by IPADB after data from Sharma and Dwivedi [37].
Sharma and Dwivedi [37] conclude in this work that the use of IPADB (18 pulses at Pmax = 40 MPa) was able to improve the bond quality by nearly 44% (measured using shear tests) compared to traditional diffusion bonding performed using constant pressure.
The successfully developed IPADB process at IIT Roorkee was used again for the bonding of a creep strength enhanced ferritic steel (CSEF P92) with higher surface roughness (0.52 μm) [38]. IPADB was performed at a bonding temperature of 1000 °C and a total overall bonding time of 60 min. Pressure pulsation was performed for 10 min with pulses reaching 20 MPa and a duration of 10 s.
Another series of systematic IPADB experiments was carried out for bonding of 304 stainless steel at different temperatures (850, 900, and 950 °C), at maximum bonding pressure of 15 MPa and minimum bonding pressure of 7.5 MPa for 30 min [39]. Tensile shear testing, optical microscope, and field-emission scanning electron microscope (FESEM) were used to investigate the produced samples. Samples produced at 950 °C showed the best results. Compared with other studies that diffusion bonded 304 stainless steel samples using diffusion bonding [30], the accomplished 86 MPa shear strength is at the lower end.
3.3. Discussion
It is well known that increased pressure during diffusion bonding will increase the bond quality [40]. Diffusion bonding usually presents a balancing act between the required minimum pressure and the allowable maximum pressure/deformation of the workpiece. Li et al. [41] demonstrate that if deformation is not of concern and high bonding pressure can be applied virtually, defect free bonds can be produced at short bonding times (roughly half the time of comparable diffusion bonding with little induced deformation) that reach strength equal to those of the base material. The high bonding pressure induces a significant macroscopic deformation that breaks the oxide layer, promotes void closure, and refines the grain structure at the bond, which again promotes diffusion. Deformation of samples/workpieces is rarely reported in diffusion bonding studies, and the reviewed literature is no exception. In one of the reviewed reports, Han et al. [42] mention a compressibility of 16%, which is well above the <2% desired in traditional diffusion bonding. To better understand whether improved bond quality was reached as a results of pressure variations or simply increased pressure, deformation during the process should be reported. Larger deformation of more than 2% for the very simple sample geometries used by both research groups in this review, pose the question to which degree IPADB can be applied for joining of larger industrial parts. Large industrial diffusion bonding furnaces usually have more than one stamp that applies pressure and it will need to be investigated if IPADB could actually be implemented properly and bonding over much larger surfaces can be achieved at uniform high quality.
Besides the actual bonding time during diffusion bonding, considerable time is used for controlled heat-up and cool-down of samples (particularly large samples). Controlled heat-up and cool-down, since it is often performed in vacuum and workpieces cannot be stressed too much, can easily be longer than the actual bonding time. Even if IPADB holds the promise of shortening bonding times, it needs to be seen to which degree this has a relevant impact on the overall processing time.
4. Conclusions and Outlook
Laboratory-scale experiments reviewed here proved that IPADB is a promising improvement to traditional diffusion bonding that may reduce bonding times and could enable processing of parts with reduced surface treatment if compared to traditional diffusion bonding. Additional systematic experiments, particularly, experiments with larger parts, larger bonding areas, and an increase number of parts as they are found in sandwich structures for heat exchanger plate packages, are required to better understand to which degree IPADB could be used industrially. In following IPADB experiments, the sample/workpiece deformation should be reported to better distinguish the impact of the pressure variation from simple high-pressure application. Besides, quantitative testing such as tensile testing or tensile shear testing should be performed to generate data that can be compared with other experimental work. In this context, common materials such as stainless steels should be preferred over more exotic materials, as this allows for a better comparison of the applied process.
Author Contributions
All authors discussed the content, analyzed the data, reviewed, edited the manuscript, and have agreed to the published version of the manuscript. All authors have read and agreed to the published version of the manuscript.
Funding
This research received no external funding.
Data Availability Statement
The data presented in this study is openly available.
Conflicts of Interest
The authors declare no conflict of interest.
References
- Kazakov, N.F. Diffusion Bonding of Materials; Pergamon Press: Oxford, UK, 1985; ISBN 978-1483118130. [Google Scholar]
- Cooke, K.O.; Atieh, A.M. Current Trends in Dissimilar Diffusion Bonding of Titanium Alloys to Stainless Steels, Aluminium and Magnesium. J. Manuf. Mater. Process. 2020, 4, 39. [Google Scholar] [CrossRef]
- Haneklaus, N.; Reuven, R.; Cionea, C.; Hosemann, P.; Peterson, P.F. Development of engineering parameters for low pressure diffusion bonds of 316 SS tube-to-tube sheet joints for fhr heat exchangers. In Proceedings of the TMS 2016 145th Annual Meeting & Exhibition, Nashville, TN, USA, 14–18 February 2016; pp. 583–588. [Google Scholar]
- Reuven, R.; Bolind, A.; Haneklaus, N.; Cionea, C.; Andreades, C.; Buster, G.; Hosemann, P.; Peterson, P. Ni Interlayer to Improve Low-Pressure Diffusion Bonding of 316L SS Press Fit Tube-to-Tubesheet Joints for Coiled Tube Gas Heaters. J. Nucl. Eng. Radiat. Sci. 2017, 3, 030913. [Google Scholar] [CrossRef]
- Cook, G.O.; Sorensen, C.D. Overview of transient liquid phase and partial transient liquid phase bonding. J. Mater. Sci. 2011, 46, 5305–5323. [Google Scholar] [CrossRef]
- Gale, W.F.; Butts, D.A. Transient liquid phase bonding. Sci. Technol. Weld. Join. 2004, 9, 283–300. [Google Scholar] [CrossRef]
- Shirzadi, A.A.; Assadi, H.; Wallach, E.R. Interface evolution and bond strength when diffusion bonding materials with stable oxide films. Surf. Interface Anal. 2001, 31, 609–618. [Google Scholar] [CrossRef]
- MacDonald, W.; Eagar, T. Transient liquid phase bonding. Annu. Rev. Mater. Sci. 1992, 22, 23–46. [Google Scholar] [CrossRef]
- Cooke, K.O.; Richardson, A.; Khan, T.I.; Shar, M.A. High-Temperature Diffusion Bonding of Ti–6Al–4V and Super-Duplex Stainless Steel Using a Cu Interlayer Embedded with Alumina Nanoparticles. J. Manuf. Mater. Process. 2020, 4, 3. [Google Scholar] [CrossRef]
- Akhtar, T.S.; Cooke, K.O.; Khan, T.I.; Shar, M.A. Nanoparticle Enhanced Eutectic Reaction during Diffusion Brazing of Aluminium to Magnesium. Nanomaterials 2019, 9, 370. [Google Scholar] [CrossRef] [PubMed]
- Hu, A.; Janczak-Rusch, J.; Sano, T. Joining Technology Innovations at the Macro, Micro, and Nano Levels. Appl. Sci. 2019, 9, 3568. [Google Scholar] [CrossRef]
- Chai, L.; Tassou, S.A. A review of printed circuit heat exchangers for helium and supercritical CO2 Brayton cycles. Sci. Eng. Prog. 2020, 18, 100543. [Google Scholar] [CrossRef]
- Shirzadi, A.; Wallach, E. Analytical modelling of transient liquid phase (TLP) diffusion bonding when a temperature gradient is imposed. Acta Mater. 1999, 47, 3551–3560. [Google Scholar] [CrossRef]
- Shirzadi, A.A.; Wallach, E.R. Metal Bonding. US Patent 6,257,481 B1, 10 July 2001. [Google Scholar]
- Shirzadi, A.A.; Wallach, E.R. Temperature gradient transient liquid phase diffusion bonding: A new method for joining advanced materials. Sci. Technol. Weld. Join. 1997, 2, 89–94. [Google Scholar] [CrossRef]
- Habisch, S.; Böhme, M.; Peter, S.; Grund, T.; Mayr, P. The Effect of Interlayer Materials on the Joint Properties of Diffusion-Bonded Aluminium and Magnesium. Metals 2018, 8, 138. [Google Scholar] [CrossRef]
- Chuvil’Deev, V.N.; Nokhrin, A.V.; Kopylov, V.I.; Boldin, M.S.; Vostokov, M.M.; Gryaznov, M.Y.; Tabachkova, N.Y.; Tryaev, P. Spark plasma sintering for high-speed diffusion bonding of the ultrafine-grained near-α Ti–5Al–2V alloy with high strength and corrosion resistance for nuclear engineering. J. Mater. Sci. 2019, 54, 14926–14949. [Google Scholar] [CrossRef]
- Aroshas, R.; Rosenthal, I.; Stern, A.; Shmul, Z.; Kalabukhov, S.; Frage, N. Silicon Carbide Diffusion Bonding by Spark Plasma Sintering Silicon Carbide Diffusion Bonding by Spark Plasma Sintering. Mater. Manuf. Process. 2015, 30, 122–126. [Google Scholar] [CrossRef]
- Yang, Z.; Hu, K.; Hu, D.; Han, C.; Tong, Y.; Yang, X.; Wei, F.; Zhang, J.; Shen, Y.; Chen, J.; et al. Diffusion bonding between TZM alloy and WRe alloy by spark plasma sintering. J. Alloys Compd. 2018, 764, 582–590. [Google Scholar] [CrossRef]
- Song, T.F.; Jiang, X.S.; Shao, Z.Y.; Fang, Y.J.; Mo, D.F.; Zhu, D.G.; Zhu, M.H. Microstructure and mechanical properties of vacuum diffusion bonded joints between Ti-6Al-4V titanium alloy and AISI316L stainless steel using Cu/Nb multi-interlayer. Vacuum 2017, 145, 68–76. [Google Scholar] [CrossRef]
- Sheng, G.M.; Huang, J.W.; Qin, B.; Zhou, B.; Qiu, S.Y.; Li, C. An experimental investigation of phase transformation superplastic diffusion bonding of titanium alloy to stainless steel. J. Mater. Sci. 2005, 40, 6385–6390. [Google Scholar] [CrossRef]
- Dai, G.Q.; Qu, W.Q.; Zhuang, H.S. Structure performance and diffusion mechanism of aluminum alloy heat pipe low tem-perature diffusion brazing joints. Chin. J. Rare Met. 2013, 37, 851. [Google Scholar]
- Norajitra, P.; Aktaa, J.; Spatafora, L.; Basuki, W. Layer Composite. WO2014060070A1. 15 October 2012. Available online: https://patents.google.com/patent/WO2014060070A1/en (accessed on 14 January 2021).
- Jiangtao, X.; Jinglong, L.; Fusheng, Z.; Zhongping, W. Pressurizing Device and Method for Vacuum Diffusion Welding Machine. CN100368135C. 2008. Available online: https://patents.google.com/patent/CN100368135C/en?oq=CN100368135C.+ (accessed on 14 January 2021).
- Qin, B.; Sheng, G.; Zhou, B.; Huang, J.; Li, C.; Qiu, S. Diffusion welding of titanium alloy and stainless steel. Chin. J. Nonferr. Metals 2004, 14, 1545–1550. [Google Scholar]
- Yuan, X.; Sheng, G.; Qin, B.; Huang, W.; Zhou, B. Impulse pressuring diffusion bonding of titanium alloy to stainless steel. Mater. Charact. 2008, 59, 930–936. [Google Scholar] [CrossRef]
- Huang, L.; Sheng, G.-M.; Li, J.; Huang, G.-J.; Yuan, X.-J. Partial transient-liquid-phase bonding of TiC cermet to stainless steel using impulse pressuring with Ti/Cu/Nb interlayer. J. Cent. South. Univ. 2018, 25, 1025–1032. [Google Scholar] [CrossRef]
- Li, J.; Sheng, G. Diffusion Bonding of TiC Cermet to Stainless Steel Using Impulse Pressuring with Ti-Nb Interlayer. Rare Met. Mater. Eng. 2017, 46, 882–887. [Google Scholar]
- Wang, F.-L.; Sheng, G.-M.; Deng, Y.-Q. Impulse pressuring diffusion bonding of titanium to 304 stainless steel using pure Ni interlayer. Rare Met. 2014, 35, 331–336. [Google Scholar] [CrossRef]
- Al Hazaa, A.; Haneklaus, N. Diffusion Bonding and Transient Liquid Phase (TLP) Bonding of Type 304 and 316 Austenitic Stainless Steel—A Review of Similar and Dissimilar Material Joints. Metals 2020, 10, 613. [Google Scholar] [CrossRef]
- Yuan, X.; Sheng, G.; Tang, K. Effect of interlayer type on microstructure and mechanical property of impulse pressuring diffusion bonded joints in austenitic stainless steel to α titanium alloy. Mater. Res. Innov. 2013, 17, 186–189. [Google Scholar] [CrossRef]
- Deng, Y.; Sheng, G.; Yin, L. Impulse Pressuring Diffusion Bonding of Titanium to Stainless Steel Using a Copper Interlayer. Rare Met. Mater. Eng. 2015, 44, 1041–1045. [Google Scholar]
- Yuan, X.; Tang, K.; Deng, Y.; Luo, J.; Sheng, G. Impulse pressuring diffusion bonding of a copper alloy to a stainless steel with/without a pure nickel interlayer. Mater. Des. 2013, 52, 359–366. [Google Scholar] [CrossRef]
- Yuan, X.-J.; Sheng, G.-M.; Luo, J.; Li, J. Microstructural characteristics of joint region during diffusion-brazing of magnesium alloy and stainless steel using pure copper interlayer. Trans. Nonferr. Met. Soc. China 2013, 23, 599–604. [Google Scholar] [CrossRef]
- Sharma, G.; Dwivedi, D.K. Impulse pressure-assisted diffusion bonding of ferritic stainless steel. Int. J. Adv. Manuf. Technol. 2018, 95, 4293–4305. [Google Scholar] [CrossRef]
- Sharma, G.; Tiwari, L.; Dwivedi, D.K. Impulse Pressure Assisted Diffusion Bonding of Low Carbon Steel Using Silver Interlayer. Trans. Indian Inst. Met. 2018, 71, 11–21. [Google Scholar] [CrossRef]
- Sharma, G.; Dwivedi, D.K. Effect of pressure pulsation on bond interface characteristics of 409 ferritic stainless steel diffusion bonds. Vacuum 2017, 146, 152–158. [Google Scholar] [CrossRef]
- Sharma, G.; Dwivedi, D.K. Study of metallurgical and mechanical properties of CSEF P92 steel di ff usion bonds developed using pressure pulsation. J. Manuf. Process. 2019, 38, 196–203. [Google Scholar] [CrossRef]
- Sharma, G.; Kumar, D. Diffusion bonding of 304 austenitic stainless-steel using pressure pulses. Mater. Today Proc. 2020. [Google Scholar] [CrossRef]
- Ren, X.; Li, S.; Xiong, Z. Isostatic di ff usion bonding and post-solution treatment between Cr22Ni5Mo3MnSi and Cr30Ni7Mo3MnSi duplex stainless steels. J. Manuf. Process. 2018, 34, 215–224. [Google Scholar] [CrossRef]
- Li, H.; Liu, H.; Yu, W.; Li, M. Fabrication of high strength bond of Ti-17 alloy using press bonding under a high bonding pressure. Mater. Lett. 2013, 108, 212–214. [Google Scholar] [CrossRef]
- Han, J.; Sheng, G.M.; Zhou, X.L.; Sun, J.X. Pulse Pressuring Diffusion Bonding of Ti Alloy/Austenite Stainless Steel Processed by Surface Self-nanocrystallization. ISIJ Int. 2009, 49, 86–91. [Google Scholar] [CrossRef][Green Version]
Publisher’s Note: MDPI stays neutral with regard to jurisdictional claims in published maps and institutional affiliations. |
© 2021 by the authors. Licensee MDPI, Basel, Switzerland. This article is an open access article distributed under the terms and conditions of the Creative Commons Attribution (CC BY) license (http://creativecommons.org/licenses/by/4.0/).



