A Novel Multi-Objective Process Parameter Interval Optimization Method for Steel Production
Abstract
:1. Introduction
2. Materials and Methods
2.1. Problem Definition
2.2. Method
2.2.1. Mechanical Property Prediction
2.2.2. Process Parameter Optimization
3. Results and Application
3.1. Experimental Preparations
3.1.1. Mechanical Property Prediction
3.1.2. Morris Sensitivity Analysis Results
3.1.3. Equipment Process Control Capability Results
3.2. Application
4. Discussion
5. Conclusions
Author Contributions
Funding
Conflicts of Interest
References
- Gajdzik, B.; Sroka, W. Resource Intensity vs. Investment in Production Installations—The Case of the Steel Industry in Poland. Energies 2021, 14, 443. [Google Scholar] [CrossRef]
- Indrawati, S.; Azzam, A.; Ramdani, A.C. Manufacturing Efficiency Improvement through Lean Manufacturing Approach: A Case Study in A Steel Processing Industry. IOP Conf. Series: Mater. Sci. Eng. 2019, 598, 012062. [Google Scholar] [CrossRef]
- Zhang, H.; Liu, Q.; Chen, X.; Zhang, D.; Leng, J. A digital twin-based approach for designing and multi-objective optimization of hollow glass production line. IEEE Access 2017, 5, 26901–26911. [Google Scholar] [CrossRef]
- Kwon, S.-H.; Hong, D.-G.; Yim, C.-H. Prediction of hot ductility of steels from elemental composition and thermal history by deep neural networks. Ironmak. Steelmak. 2020, 47, 1176–1187. [Google Scholar] [CrossRef]
- Hore, S.; Das, S.K.; Banerjee, S.; Mukherjee, S. An adaptive neuro-fuzzy inference system-based modelling to predict mechanical properties of hot-rolled TRIP steel. Ironmak. Steelmak. 2017, 44, 656–665. [Google Scholar] [CrossRef]
- Li, W.-g.; Xie, L.; Zhao, Y.-t.; Li, Z.-x.; Wang, W.-b. Prediction model for mechanical properties of hot-rolled strips by deep learning. J. Iron Steel Res. Int. 2020, 27, 1045–1053. [Google Scholar] [CrossRef]
- Xing, S.; Ju, J.; Xing, J. Research on hot-rolling steel products quality control based on BP neural network inverse model. Neural Comput. Appl. 2019, 31, 1577–1584. [Google Scholar] [CrossRef]
- Serra, R.; Chibane, H.; Duchosal, A. Multi-objective optimization of cutting parameters for turning AISI 52100 hardened steel. Int. J. Adv. Manuf. Technol. 2018, 99, 2025–2034. [Google Scholar] [CrossRef]
- Rao, R.V.; Rai, D.P.; Balic, J. A multi-objective algorithm for optimization of modern machining processes. Eng. Appl. Artif. Intell. 2017, 61, 103–125. [Google Scholar] [CrossRef]
- Wang, S.; Chiang, J.-Y.; Tsai, T.-R.; Qin, Y. Robust process capability indices and statistical inference based on model selection. Comput. Ind. Eng. 2021, 156, 107265. [Google Scholar] [CrossRef]
- Lee, C.-H.; Chen, C.-H.; Lin, C.; Li, F.; Zhao, X. Developing a quick response product configuration system under industry 4.0 based on customer requirement modelling and optimization method. Appl. Sci. 2019, 9, 5004. [Google Scholar] [CrossRef] [Green Version]
- Wu, S.-w.; Zhou, X.-g.; Ren, J.-k.; Cao, G.-m.; Liu, Z.-y.; Shi, N.-a. Optimal design of hot rolling process for C-Mn steel by combining industrial data-driven model and multi-objective optimization algorithm. J. Iron Steel Res. Int. 2018, 25, 700–705. [Google Scholar] [CrossRef]
- Chen, Z.; Li, X.; Wang, L.; Zhang, S.; Cao, Y.; Jiang, S.; Rong, Y. Development of a hybrid particle swarm optimization algorithm for multi-pass roller grinding process optimization. Int. J. Adv. Manuf. Technol. 2018, 99, 97–112. [Google Scholar] [CrossRef]
- Babu, K.K.; Panneerselvam, K.; Sathiya, P.; Haq, A.N.; Sundarrajan, S.; Mastanaiah, P.; Murthy, C.S. Parameter optimization of friction stir welding of cryorolled AA2219 alloy using artificial neural network modeling with genetic algorithm. Int. J. Adv. Manuf. Technol. 2018, 94, 3117–3129. [Google Scholar] [CrossRef]
- Haber, R.E.; Beruvides, G.; Quiza, R.; Hernandez, A. A simple multi-objective optimization based on the cross-entropy method. IEEE Access 2017, 5, 22272–22281. [Google Scholar] [CrossRef]
- Mohammadi, M.; Lakestani, M.; Mohamed, M. Intelligent parameter optimization of savonius rotor using artificial neural network and genetic algorithm. Energy 2018, 143, 56–68. [Google Scholar] [CrossRef]
- Aboutaleb, A.M.; Tschopp, M.A.; Rao, P.K.; Bian, L. Multi-objective accelerated process optimization of part geometric accuracy in additive manufacturing. J. Manuf. Sci. Eng. 2017, 139, 101001. [Google Scholar] [CrossRef]
- Yan, Y.-f.; Lü, Z.-m. Multi-objective quality control method for cold-rolled products oriented to customized requirements. Int. J. Miner. Metall. Mater. 2021, 28, 1332–1342. [Google Scholar] [CrossRef]
- Wang, G.; Guo, L. A novel hybrid bat algorithm with harmony search for global numerical optimization. J. Appl. Math. 2013, 2013, 1–21. [Google Scholar] [CrossRef]
- Wu, Y.; Yan, Y.; Lv, Z. Novel Prediction Model for Steel Mechanical Properties with MSVR Based on MIC and Complex Network Clustering. Metals 2021, 11, 747. [Google Scholar] [CrossRef]
- Zhang, X.; Kano, M.; Tani, M.; Mori, J.; Ise, J.; Harada, K. Hurdle modeling for defect data with excess zeros in steel manufacturing process. IFAC-PapersOnLine 2018, 51, 375–380. [Google Scholar] [CrossRef]
- Sui, X.; Lv, Z. Prediction of the mechanical properties of hot rolling products by using attribute reduction ELM. Int. J. Adv. Manuf. Technol. 2016, 85, 1395–1403. [Google Scholar] [CrossRef]
- Zhou, P.; Guo, D.; Chai, T. Data-driven predictive control of molten iron quality in blast furnace ironmaking using multi-output LS-SVR based inverse system identification. Neurocomputing 2018, 308, 101–110. [Google Scholar] [CrossRef]
- Zhang, Y.; Li, H.-G.; Wang, Q.; Peng, C. A filter-based bare-bone particle swarm optimization algorithm for unsupervised feature selection. Appl. Intell. 2019, 49, 2889–2898. [Google Scholar] [CrossRef]
- Ye, W.; Feng, W.; Fan, S. A novel multi-swarm particle swarm optimization with dynamic learning strategy. Appl. Soft Comput. 2017, 61, 832–843. [Google Scholar] [CrossRef]
- Cho, J.-H.; Wang, Y.; Chen, R.; Chan, K.S.; Swami, A. A survey on modeling and optimizing multi-objective systems. IEEE Commun. Surv. Tutor. 2017, 19, 1867–1901. [Google Scholar] [CrossRef]
- Feng, K.; Lu, Z.; Yang, C. Enhanced Morris method for global sensitivity analysis: Good proxy of Sobol’index. Struct. Multidiscipl. Optim. 2019, 59, 373–387. [Google Scholar] [CrossRef]
- Likhachev, D. Parametric sensitivity analysis as an essential ingredient of spectroscopic ellipsometry data modeling: An application of the Morris screening method. J. Appl. Phys. 2019, 126, 184901. [Google Scholar] [CrossRef]
- Piao, C.; Zhi-Sheng, Y. A systematic look at the gamma process capability indices. Eur. J. Oper. Res. 2018, 265, 589–597. [Google Scholar]












| Parameter | LYS | TS |
|---|---|---|
| C | 0.15 | 0.10 |
| Mn | 0.15 | 0.13 |
| Cr | 0.22 | 0.23 |
| Mo | 0.16 | 0.15 |
| Pull Speed | 0.21 | 0.24 |
| Superheat | 0.10 | 0.11 |
| Time in Furnace | 0.17 | 0.18 |
| Split_1 | 0.18 | 0.19 |
| Reduction_1 | 0.15 | 0.14 |
| Rolling Force_1 | 0.14 | 0.13 |
| Rolling Speed_1 | 0.1 | 0.08 |
| … | … | … |
| Parameter | Distribution | Probability Density Function |
|---|---|---|
| C | Logistic | x~L (0.138, 0.0039) |
| Mn | Gamma | x~G (2838.22, 1954.62) |
| Cr | Gamma | x~G (20.79, 848.186) |
| S | Normal | x~N (0.00554, 0.0000031) |
| Mo | Gamma | x~G (4.58, 1168.67) |
| Order | Thickness/mm | Width/mm | Length/mm | LYS/MPa | TS/MPa |
|---|---|---|---|---|---|
| A | 15 | 3775 | 37,000 | 400 ± 15 | 500 ± 15 |
| B | 20 | 2300 | 28,800 | 400 ± 15 | 500 ± 15 |
| C | 15 | 3775 | 37,000 | 450 ± 15 | 560 ± 15 |
| D | 22 | 3700 | 23,400 | 430 ± 15 | 540 ± 15 |
| Order | LYS | TS | ||||
|---|---|---|---|---|---|---|
| Processing Capacity/% | Max Capacity Point/MPa | 98% Capacity Range/MPa | Processing Capacity/% | Max Capacity Point/MPa | 98% Capacity Range/MPa | |
| A | 24.91 | 420 | 403, 438 | 75.02 | 512 | 506, 524 |
| B | 80.09 | 390 | 372, 408 | 99.86 | 499 | 492, 512 |
| C | 80.76 | 448 | 425, 480 | 71.66 | 548 | 535, 564 |
| D | 79.91 | 435 | 409, 459 | 98.5 | 545 | 522, 558 |
| Order | LYS | TS | ||||
|---|---|---|---|---|---|---|
| Processing Capacity/% | Max Capacity Point/MPa | 98% Capacity Range/MPa | Processing Capacity/% | Max Capacity Point/MPa | 98% Capacity Range/MPa | |
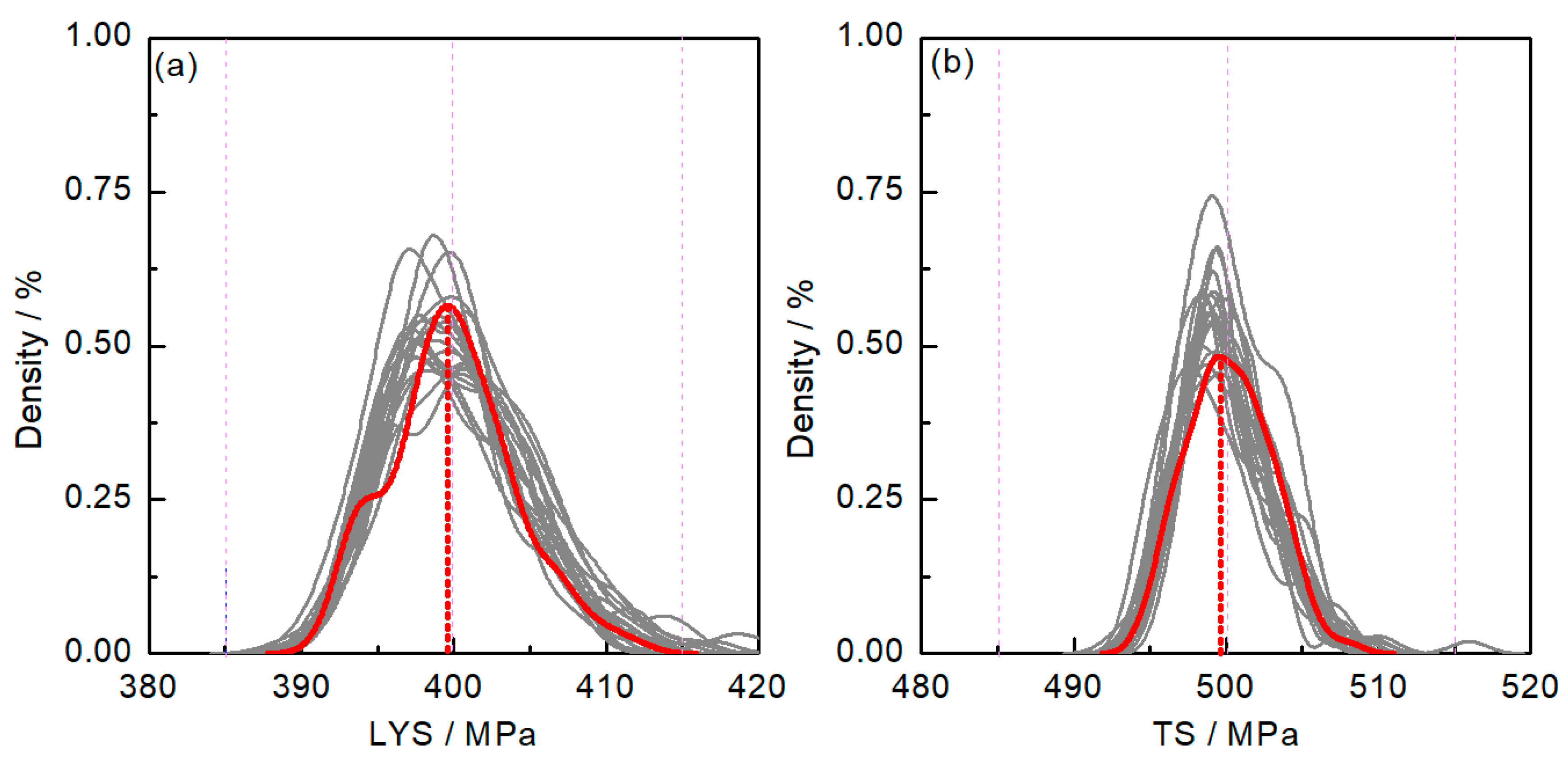
| A | 99.98 | 400 | 391, 411 | 100 | 500 | 494, 507 |
| B | 100 | 400 | 388, 410 | 100 | 500 | 493, 508 |
| C | 99.68 | 450 | 436, 462 | 100 | 559 | 551, 568 |
| D | 100 | 430 | 422, 437 | 100 | 540 | 534, 546 |
Publisher’s Note: MDPI stays neutral with regard to jurisdictional claims in published maps and institutional affiliations. |
© 2021 by the authors. Licensee MDPI, Basel, Switzerland. This article is an open access article distributed under the terms and conditions of the Creative Commons Attribution (CC BY) license (https://creativecommons.org/licenses/by/4.0/).
Share and Cite
Yan, Y.; Lv, Z. A Novel Multi-Objective Process Parameter Interval Optimization Method for Steel Production. Metals 2021, 11, 1642. https://doi.org/10.3390/met11101642
Yan Y, Lv Z. A Novel Multi-Objective Process Parameter Interval Optimization Method for Steel Production. Metals. 2021; 11(10):1642. https://doi.org/10.3390/met11101642
Chicago/Turabian StyleYan, Yifan, and Zhimin Lv. 2021. "A Novel Multi-Objective Process Parameter Interval Optimization Method for Steel Production" Metals 11, no. 10: 1642. https://doi.org/10.3390/met11101642
APA StyleYan, Y., & Lv, Z. (2021). A Novel Multi-Objective Process Parameter Interval Optimization Method for Steel Production. Metals, 11(10), 1642. https://doi.org/10.3390/met11101642

