Differential Scanning Calorimetry Fingerprints of Various Heat-Treatment Tempers of Different Aluminum Alloys
Abstract
1. Introduction
2. Experimental Procedure
3. Results and Discussion
3.1. AlSi10Mg0.3Mn HPVDC Alloy
3.2. Al-Si-Cu-Mg 319 PM Alloy
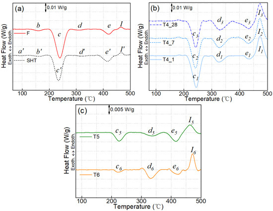
3.3. Al-Mg-Si AA6082 Extrusion Alloy
4. Summary
Author Contributions
Funding
Acknowledgments
Conflicts of Interest
References
- Starink, M.J. Analysis of aluminium based alloys by calorimetry: Quantitative analysis of reactions and reaction kinetics. Int. Mater. Rev. 2004, 49, 191–226. [Google Scholar] [CrossRef]
- Yassar, R.S.; Field, D.P.; Weiland, H. The effect of predeformation on the β″ and β′ precipitates and the role of Q′ phase in an Al–Mg–Si alloy; AA6022. Scr. Mater. 2005, 53, 299–303. [Google Scholar] [CrossRef]
- Chang, C.S.T.; Banhart, J. Low-temperature differential scanning calorimetry of an Al-Mg-Si alloy. Metall. Mater. Trans. A 2011, 42, 1960–1964. [Google Scholar] [CrossRef]
- Elgallad, E.M.; Zhang, Z.; Chen, X.G. Effect of quenching rate on precipitation kinetics in AA2219 DC cast alloy. Phys. B Condens. Matter 2017, 514, 70–77. [Google Scholar] [CrossRef]
- Wu, Y.-P.; Ye, L.-Y.; Jia, Y.-Z.; Liu, L.; Zhang, X.-M. Precipitation kinetics of 2519A aluminum alloy based on aging curves and DSC analysis. Trans. Nonferr. Met. Soc. Chin. 2014, 24, 3076–3083. [Google Scholar] [CrossRef]
- Heugue, P.; Larouche, D.; Breton, F.; Martinez, R.; Chen, X.G. Evaluation of the growth kinetics of θ′ and θ-Al2Cu precipitates in a binary Al-3.5 Wt Pct Cu alloy. Metall. Mater. Trans. A 2019, 50, 3048–3060. [Google Scholar] [CrossRef]
- Ding, L.; Jia, Z.; Zhang, Z.; Sanders, R.E.; Liu, Q.; Yang, G. The natural aging and precipitation hardening behaviour of Al-Mg-Si-Cu alloys with different Mg/Si ratios and Cu additions. Mater. Sci. Eng. A 2015, 627, 119–126. [Google Scholar] [CrossRef]
- Heugue, P.; Larouche, D.; Breton, F.; Massinon, D.; Martinez, R.; Chen, X.-G. Precipitation kinetics and evaluation of the interfacial mobility of precipitates in an AlSi7Cu3.5Mg0.15 cast alloy with Zr and V additions. Metals 2019, 9, 777. [Google Scholar] [CrossRef]
- Ohmori, Y.; Doan, L.C.; Nakai, K. Ageing processes in Al-Mg-Si alloys during continuous heating. Mater. Trans. JIM 2002, 43, 246–255. [Google Scholar] [CrossRef]
- Gaber, A.; Gaffar, M.A.; Mostafa, M.S.; Zeid, E.F.A. Precipitation kinetics of Al–1.12 Mg2Si–0.35 Si and Al–1.07 Mg2Si–0.33 Cu alloys. J. Alloys Compd. 2007, 429, 167–175. [Google Scholar] [CrossRef]
- Chen, Z.-W.; Tang, M.-J.; Zhao, K. Effect of rare earth samarium addition on the kinetics of precipitation in Al-Cu-Mn casting alloy. Int. J. Miner. Metall. Mater. 2014, 21, 155–161. [Google Scholar] [CrossRef]
- Weng, Y.; Jia, Z.; Ding, L.; Pan, Y.; Liu, Y.; Liu, Q. Effect of Ag and Cu additions on natural aging and precipitation hardening behavior in Al-Mg-Si alloys. J. Alloys Compd. 2017, 695, 2444–2452. [Google Scholar] [CrossRef]
- Osten, J.; Milkereit, B.; Schick, C.; Kessler, O. Dissolution and precipitation behaviour during continuous heating of Al–Mg–Si alloys in a wide range of heating rates. Materials 2015, 8, 2830–2848. [Google Scholar] [CrossRef]
- Liu, M.; Wu, Z.; Yang, R.; Wei, J.; Yu, Y.; Skaret, P.C.; Roven, H.J. DSC analyses of static and dynamic precipitation of an Al–Mg–Si–Cu aluminum alloy. Prog. Nat. Sci. Mater. Int. 2015, 25, 153–158. [Google Scholar] [CrossRef]
- Lloyd, D.J.; Evans, D.R.; Gupta, A.K. Precipitation reactions and the differential scanning calorimetry response of AA6111 alloy. Can. Metall. Q. 2000, 39, 475–482. [Google Scholar] [CrossRef]
- Hemminger, W.; Sarge, S. The baseline construction and its influence on the measurement of heat with differential scanning calorimeters. J. Therm. Anal. Calorim. 1991, 37, 1455–1477. [Google Scholar] [CrossRef]
- Andersen, S.J. Quantification of the Mg2Si β″ and β′ phases in AlMgSi alloys by transmission electron microscopy. Metall. Mater. Trans. A 1995, 26, 1931–1937. [Google Scholar] [CrossRef]
- Sunde, J.K.; Paulsen, Ø.; Wenner, S.; Holmestad, R. Precipitate statistics in an Al-Mg-Si-Cu alloy from scanning precession electron diffraction data. In Proceedings of the Electron Microscopy and Analysis Group Conference 2017, Manchester, UK, 3–6 July 2017; Volume 902, p. 012022. [Google Scholar]
- Egerton, R.F. Electron Energy-Loss Spectroscopy in the Electron Microscope; Springer Science & Business Media: New York, NY, USA, 2011. [Google Scholar]
- Zuo, J.; Spence, J. Electron Microdiffraction; Springer Science & Business Media: New York, NY, USA, 2013. [Google Scholar]
- Dutta, I.; Allen, S. A calorimetric study of precipitation in commercial aluminium alloy 6061. J. Mater. Sci. Lett. 1991, 10, 323–326. [Google Scholar] [CrossRef]
- Yanagihara, E.; Orii, S.; Iketani, T.; Saikawa, S.; Matsuda, K.; Ikeno, S. Precipitation structure of Al–10 mass% Si–0.3 mass% Mg alloy produced by high pressure die casting and permanent mold casting with T5 treatment. Mater. Trans. JIM 2015, 56, 1112–1119. [Google Scholar] [CrossRef]
- Edwards, G.A.; Stiller, K.; Dunlop, G.L.; Couper, M.J. The precipitation sequence in Al–Mg–Si alloys. Acta Mater. 1998, 46, 3893–3904. [Google Scholar] [CrossRef]
- Engler, O.; Marioara, C.D.; Aruga, Y.; Kozuka, M.; Myhr, O.R. Effect of natural ageing or pre-ageing on the evolution of precipitate structure and strength during age hardening of Al–Mg–Si alloy AA 6016. Mater. Sci. Eng. A 2019, 759, 520–529. [Google Scholar] [CrossRef]
- Fang, X.; Song, M.; Li, K.; Du, Y. Precipitation sequence of an aged Al-Mg-Si alloy. J. Min. Metall. Sect. B 2010, 46, 171–180. [Google Scholar] [CrossRef]
- Hwang, J.Y.; Banerjee, R.; Doty, H.W.; Kaufman, M.J. The effect of Mg on the structure and properties of Type 319 aluminum casting alloys. Acta Mater. 2009, 57, 1308–1317. [Google Scholar] [CrossRef]
- Biswas, A.; Siegel, D.J.; Seidman, D.N. Compositional evolution of Q-phase precipitates in an aluminum alloy. Acta Mater. 2014, 75, 322–336. [Google Scholar] [CrossRef]
- Farkoosh, A.R.; Pekguleryuz, M. Enhanced mechanical properties of an Al–Si–Cu–Mg alloy at 300 °C: Effects of Mg and the Q-precipitate phase. Mater. Sci. Eng. A 2015, 621, 277–286. [Google Scholar] [CrossRef]
- Biswas, A.; Sen, D.; Sarkar, S.K.; Mazumder, S.; Seidman, D.N. Temporal evolution of coherent precipitates in an aluminum alloy W319: A correlative anisotropic small angle X-ray scattering, transmission electron microscopy and atom-probe tomography study. Acta Mater. 2016, 116, 219–230. [Google Scholar] [CrossRef]
- Rodríguez-Veiga, A.; Bellón, B.; Papadimitriou, I.; Esteban-Manzanares, G.; Sabirov, I.; Llorca, J. A multidisciplinary approach to study precipitation kinetics and hardening in an Al-4Cu (wt. %) alloy. J. Alloys Compd. 2018, 757, 504–519. [Google Scholar] [CrossRef]
- Wang, X.; Esmaeili, S.; Lloyd, D.J. The sequence of precipitation in the Al-Mg-Si-Cu alloy AA6111. Metall. Mater. Trans. A 2006, 37, 2691–2699. [Google Scholar] [CrossRef]
- Tavitas-Medrano, F.J.; Mohamed, A.M.A.; Gruzleski, J.E.; Samuel, F.H.; Doty, H.W. Precipitation-hardening in cast AL–Si–Cu–Mg alloys. J. Mater. Sci. 2010, 45, 641–651. [Google Scholar] [CrossRef]
- Wang, G.; Sun, Q.; Feng, L.; Hui, L.; Jing, C. Influence of Cu content on ageing behavior of AlSiMgCu cast alloys. Mater. Des. 2007, 28, 1001–1005. [Google Scholar] [CrossRef]
- Zheng, Y.; Xiao, W.; Ge, S.; Zhao, W.; Hanada, S.; Ma, C. Effects of Cu content and Cu/Mg ratio on the microstructure and mechanical properties of Al–Si–Cu–Mg alloys. J. Alloys Compd. 2015, 649, 291–296. [Google Scholar] [CrossRef]
- Xiao, Q.; Liu, H.; Yi, D.; Yin, D.; Chen, Y.; Zhang, Y.; Wang, B. Effect of Cu content on precipitation and age-hardening behavior in Al-Mg-Si-xCu alloys. J. Alloys Compd. 2017, 695, 1005–1013. [Google Scholar] [CrossRef]
- Zuiko, I.; Kaibyshev, R. Aging behavior of an Al–Cu–Mg alloy. J. Alloys Compd. 2018, 759, 108–119. [Google Scholar] [CrossRef]
- Shen, Z.; Ding, Q.; Liu, C.; Wang, J.; Tian, H.; Li, J.; Zhang, Z. Atomic-scale mechanism of the θ″→θ′ phase transformation in Al-Cu alloys. J. Mater. Sci. Technol. 2017, 33, 1159–1164. [Google Scholar] [CrossRef]
- Zhen, L.; Kang, S.B.; Kim, H.W. Effect of natural aging and preaging on subsequent precipitation process of an Al-Mg-Si alloy with high excess silicon. Mater. Sci. Technol. 1997, 13, 905–911. [Google Scholar] [CrossRef]
- Zhen, L.; Kang, S.B. DSC analyses of the precipitation behavior of two Al–Mg–Si alloys naturally aged for different times. Mater. Lett. 1998, 37, 349–353. [Google Scholar] [CrossRef]
- Mondolfo, L.F. Aluminum Alloys: Structure and Properties; Elsevier: Amsterdam, The Netherlands, 2013. [Google Scholar]












| Alloy | Si | Cu | Mg | Mn | Fe | Ti | Sr | V | Zr | Cr | Al |
|---|---|---|---|---|---|---|---|---|---|---|---|
| AlSi10Mg0.3Mn | 10.63 | - | 0.315 | 0.53 | 0.17 | 0.05 | 0.014 | 0.012 | - | - | Bal. |
| 319 | 7 | 3.5 | 0.15 | 0.15 | 0.12 | 0.1 | 0.015 | 0.1 | 0.12 | - | Bal. |
| 6082 | 0.9 | - | 0.7 | 0.5 | 0.2 | - | - | - | - | 0.1 | Bal. |
| Temper | AlSi10Mg0.3Mn | 319 | 6082 |
|---|---|---|---|
| F 1 | HPVDC plate | PM cast bar | Extruded strip |
| SHT 2 | 500 °C/1 h | 505 °C/4 h | 540 °C/0.5 h |
| T4 | N/A | N/A | SHT+WQ 3+ natural aging for 1, 7 & 28 days |
| T5 | F + 185 °C/4 h | F + 180 °C/5 h | F + 175 °C/8 h |
| T6 | SHT + WQ + 185 °C/4 h | SHT + WQ + 180 °C/5 h | SHT + WQ + 175 °C/8 h |
| T7 | SHT + WQ + 220 °C/4 h | SHT + WQ + 200 °C/5 h | N/A |
| Temper | Exo. Peak a Series (Peak Temp./Area) | Endo. Peak I Series | Exo. Peak b Series | Endo. Peak II Series | Exo. Peak c series (Peak Temp./Area) | Endo. Peak III Series |
|---|---|---|---|---|---|---|
| F | β”, 230 °C/14.5 | β” dissolution | β’, 340°C/2.3 | β’ dissolution | β, 440°C/0.7 | β dissolution |
| SHT | β”, 240 °C/4.0 | β’, 320°C/0.2 | β, 420°C/0.8 | |||
| T5 | - | β’, 340°C/0.8 | β, 430°C/1.0 | |||
| T6 | - | β’, 340°C/0.7 | β, 420°C/0.7 | |||
| T7 | - | - | - | β, 370°C/4.6 |
| Temper | Exo. Peak a Series | Exo. Peak b Series | Exo. Peak c Series (Peak Temp./Area) | Exo. Peak c/ Endo. Peak I | Endo. Peak II Series | Exo. Peak d Series (Peak Temp./Area) | Endo. Peak III Series |
|---|---|---|---|---|---|---|---|
| F | ✕ | GP zones, 160°C | θ’, 240°C/5.9 | ✕ | θ’ dissolute | θ, 400°C/0.4 | θ dissolute |
| SHT | Clusters, 110°C | θ’, 260°C/19.6 | Q’, 240°C | θ, 390 °C/1.1 | |||
| T5 | - | - | θ’, 240°C/1.4 | Q’ dissolute | θ, 390 °C/0.6 | ||
| T6 | - | - | θ’, 240°C/0.6 | Q’ dissolute | θ, 390 °C/1.8 | ||
| T7 | - | - | - | Q’ dissolute | θ, 390 °C/1.3 |
| Temper | Exo. Peak a | Exo. Peak b Series | Exo. Peak c Series (Peak Temp./Area) | Exo. Peak d Series (Peak Temp./Area) | Exo. Peak e Series (Peak Temp./Area) | Endo. Peak I Series |
|---|---|---|---|---|---|---|
| F | - | GP zones, 160 °C | β”, 240 °C/6.8 | β’, 320 °C/0.2 | β, 410 °C/1.0 | β dissolute |
| SHT | Clusters, 100 °C | β”, 240 °C/5.2 | β’, 320 °C/0.2 | β, 410 °C/1.3 | ||
| T4_1 | - | - | β”, 240 °C/6.5 | β’, 320 °C/1.4 | β, 430 °C/0.6 | |
| T4_7 | - | - | β”, 240 °C/5.6 | β’, 320 °C/2.3 | β, 430 °C/1.1 | |
| T4_28 | - | - | β”, 240 °C/4.9 | β’, 320 °C/2.5 | β, 430 °C/1.9 | |
| T5 | - | - | β”, 230 °C/0.8 | β’, 330 °C/0.4 | β, 410 °C/0.8 | |
| T6 | - | - | β”, 230 °C/0.2 | β’, 330 °C/0.8 | β, 410 °C/0.4 |
© 2020 by the authors. Licensee MDPI, Basel, Switzerland. This article is an open access article distributed under the terms and conditions of the Creative Commons Attribution (CC BY) license (http://creativecommons.org/licenses/by/4.0/).
Share and Cite
Chen, Z.; Liu, K.; Elgallad, E.; Breton, F.; Chen, X.-G. Differential Scanning Calorimetry Fingerprints of Various Heat-Treatment Tempers of Different Aluminum Alloys. Metals 2020, 10, 763. https://doi.org/10.3390/met10060763
Chen Z, Liu K, Elgallad E, Breton F, Chen X-G. Differential Scanning Calorimetry Fingerprints of Various Heat-Treatment Tempers of Different Aluminum Alloys. Metals. 2020; 10(6):763. https://doi.org/10.3390/met10060763
Chicago/Turabian StyleChen, Zhixing, Kun Liu, Emad Elgallad, Francis Breton, and X.-Grant Chen. 2020. "Differential Scanning Calorimetry Fingerprints of Various Heat-Treatment Tempers of Different Aluminum Alloys" Metals 10, no. 6: 763. https://doi.org/10.3390/met10060763
APA StyleChen, Z., Liu, K., Elgallad, E., Breton, F., & Chen, X.-G. (2020). Differential Scanning Calorimetry Fingerprints of Various Heat-Treatment Tempers of Different Aluminum Alloys. Metals, 10(6), 763. https://doi.org/10.3390/met10060763

