Flow Stress Curve Modification and Constitutive Model of 20CrMoA Steel during Warm Deformation
Abstract
1. Introduction
2. Materials and Experimental Procedure
3. Results and Discussion
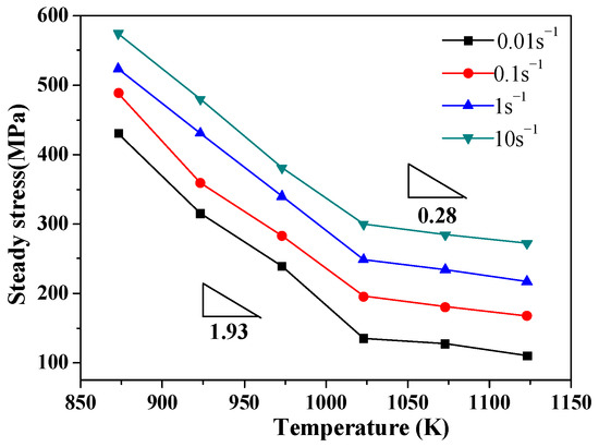
3.1. Analysis of Stress-Strain Curves
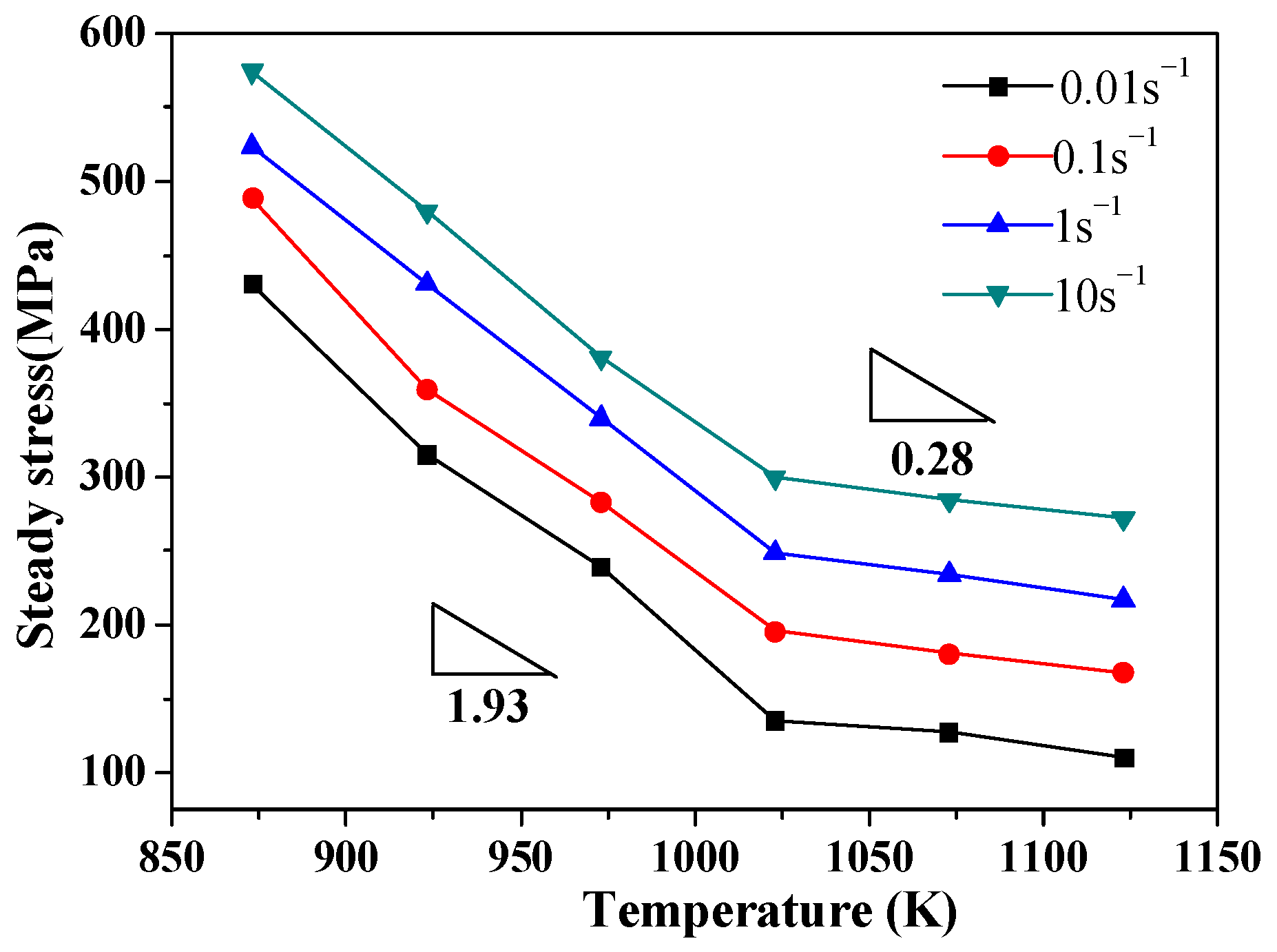
3.2. Effect of Deformation Energy on Temperature
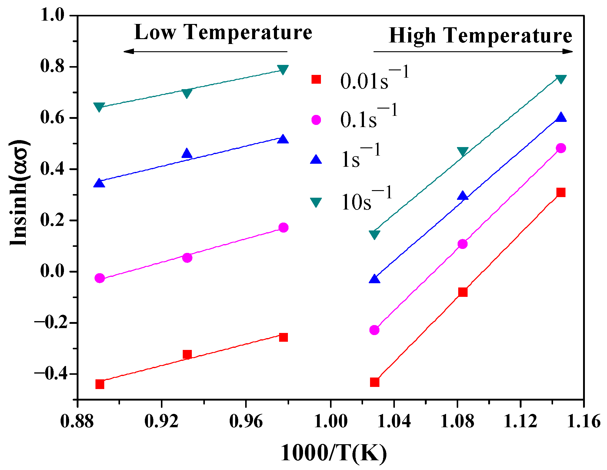
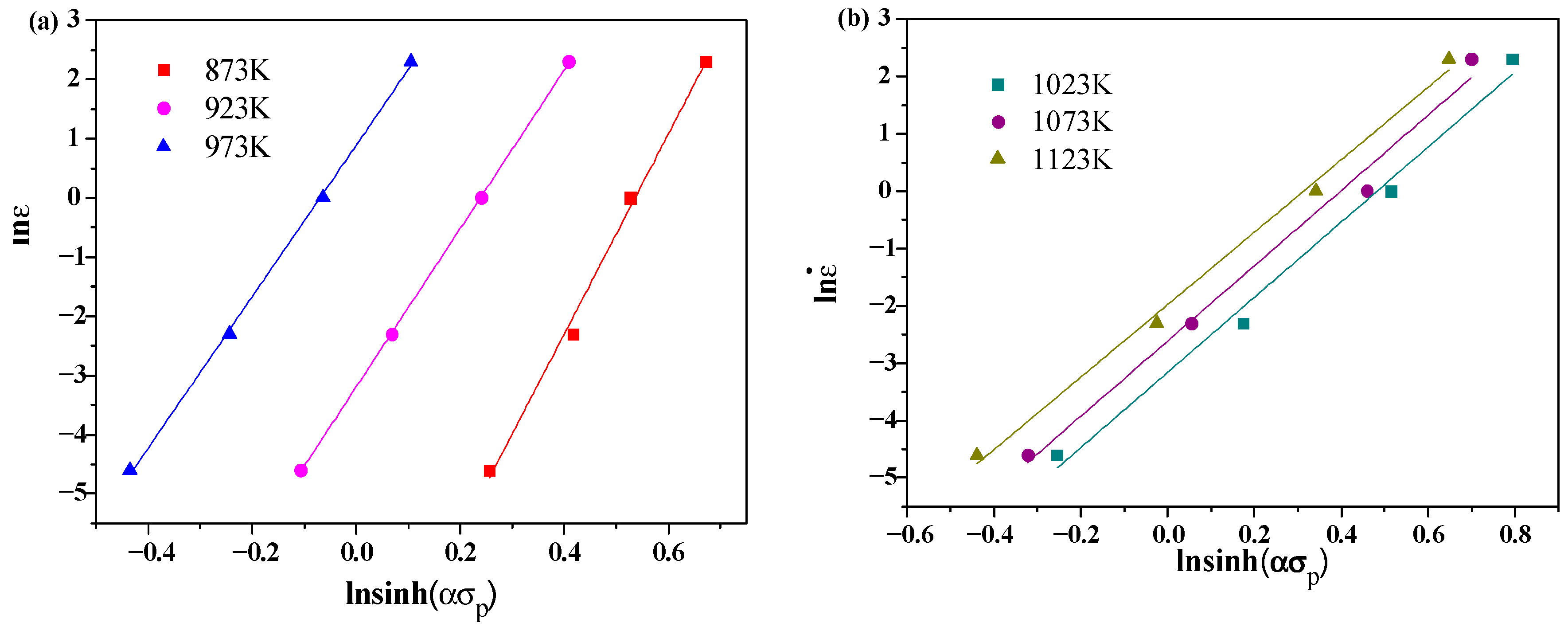
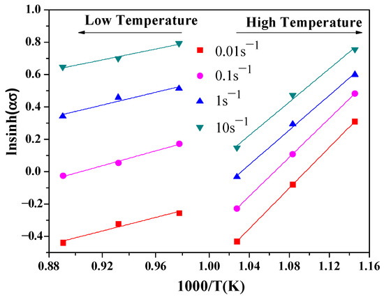
4. Constitutive Model during Warm Deformation
4.1. Correction of Flow Stress Curve
4.2. Construction of Constitutive Model
4.3. Strain Correction for Constitutive Models
4.4. Verification of Constitutive Equation
5. Conclusions
Author Contributions
Funding
Conflicts of Interest
References
- Siegert, K.; Kammerer, M.; Keppler-Ott, T.; Ringhand, D. Recent developments on high precision forging of aluminum and steel. J. Mater. Process. Technol. 1997, 71, 91–99. [Google Scholar] [CrossRef]
- Lange, K. Modern metal forming technology for industrial production. Mater. Process. Technol. 1997, 71, 2–13. [Google Scholar] [CrossRef]
- Abdollah-Zadeh, A.; Eghbali, B. Mechanism of ferrite grain refinement during warm deformation of a low carbon Nb-microalloyed steel. Mater. Sci. En A. 2007, 457, 219–225. [Google Scholar] [CrossRef]
- Poorganji, B.; Miyamoto, G.; Mäki, T.; Furuhara, T. Formation of ultrafine grained ferrite by warm deformation of lath martensite in low-alloy steels with different carbon content. Scr. Mater. 2008, 59, 279–281. [Google Scholar] [CrossRef]
- Unnikrishnan, R.; Kumar, A.; Khatirkar, R.; Shekhawat, S.K.; Sapate, S.G. Structural developments in un-stabilized ultra low carbon steel during warm deformation and annealing. Mater. Chem. Phys. 2016, 183, 339–348. [Google Scholar] [CrossRef]
- Storojeva, L.; Ponge, D.; Kaspar, R.; Raabe, D. Development of microstructure and texture of medium carbon steel during heavy warm deformation. Acta Mater. 2004, 52, 2209–2220. [Google Scholar] [CrossRef]
- Eghbali, B.; Abdollah-Zadeh, A. Influence of deformation temperature on the ferrite grain refinement in a low carbon Nb-Ti microalloyed steel. J. Mater. Process. Technol. 2006, 180, 44–48. [Google Scholar] [CrossRef]
- Hsu, C.-C.; Huang, J.-H.; Chen, W.-C.; Fuh, Y.K. Numerical analysis and experimental validation on multi-stage warm forging process of deep groove ball bearing—A modified punch geometry with microstructure and defect analysis. Int. J. Adv. Manuf. Technol. 2016, 89, 2119–2128. [Google Scholar] [CrossRef]
- Lee, Y.; Yoon, E.; Nho, T.; Moon, Y. Microstructure control of ferrous driven part fabricated by warm precision forging. Procedia Manuf. 2018, 15, 404–410. [Google Scholar] [CrossRef]
- Babu, P.A.; Saraf, M.; Vora, K.; Kuppan, P. Forgeability Study of Al 6061 Alloy during Warm Forging of Cylindrical Billets; Elsevier: Amsterdam, The Netherlands, 2018; Volume 5, pp. 11950–11961. [Google Scholar]
- Forcellese, A.; Gabrielli, F. Warm forging of aluminum alloys: A new approach for time compression of the forging sequence. Int. J. Mach. Tool Manuf. 2000, 40, 1285–1297. [Google Scholar] [CrossRef]
- Choi, C.; Groseclose, A.; Altan, T. Estimation of plastic deformation and abrasive wear in warm forging dies. J. Mater. Process. Technol. 2012, 212, 1742–1752. [Google Scholar] [CrossRef]
- Kache, H.; Stonis, M.; Behrens, B.-A. Development of a warm cross wedge rolling process using FEA and downsized experimental trials. Prod. Eng. 2012, 6, 339–348. [Google Scholar] [CrossRef]
- Xiong, Y.; Sun, S.; Li, Y.; Zhao, J.; Lv, Z.; Zhao, D.; Zheng, Y.; Fu, W. Effect of warm cross-wedge rolling on microstructure and mechanical property of high carbon steel rods. Mater. Sci. Eng. A 2006, 431, 152–157. [Google Scholar] [CrossRef]
- Sun, S.H.; Xiong, Y.; Zhao, J. Microstructure characteristics in high carbon steel rod after warm cross-wedge rolling. Scripta Mater. 2005, 53, 137–140. [Google Scholar] [CrossRef]
- Huang, X.; Wang, B.; Zhou, J.; Ji, H.; Mu, Y.; Li, J. Comparative study of warm and hot cross-wedge rolling:numerical simulation and experimental trial. Int. J. Adv. Manuf. Technol. 2017, 92, 3541–3551. [Google Scholar] [CrossRef]
- Bulzak, T.; Pater, Z.; Tomczak, J.; Majerski, K. Hot and warm cross-wedge rolling of ball pins—Comparative analysis. J. Manuf. Process. 2020, 50, 90–101. [Google Scholar] [CrossRef]
- Chai, R.-X.; Su, W.-B.; Guo, C.; Zhang, F.-F. Constitutive relationship and microstructure for 20CrMnTiH steel during warm deformation. Mater. Sci. Eng. A 2012, 556, 473–478. [Google Scholar] [CrossRef]
- Li, H.-B.; Feng, Y.-L.; Yan, T.; Yu, E. Constitutive Model of Warm Deformation Behavior of Medium Carbon Steel. J. Iron Steel Res. Int. 2016, 23, 940–948. [Google Scholar] [CrossRef]
- Li, Y.Y.; Zhao, S.; Fan, S.Q.; Zhong, B. Plastic properties and constitutive equations of 42CrMo steel during warm forming process. Mater. Sci. Technol. 2013, 30, 645–652. [Google Scholar] [CrossRef]
- Rastegari, H.; Rakhshkhorshid, M.; Somani, M.C.; Porter, D.A. Constitutive Modeling of Warm Deformation Flow Curves of an Eutectoid Steel. J. Mater. Eng. Perform. 2017, 77, 203–2178. [Google Scholar] [CrossRef]
- Goetz, R.L.; Semiatin, S.L. The Adiabatic Correction Factor for Deformation Heating during the Uniaxial Compression Test. J. Mater. Eng. Perform. 2001, 10, 710–717. [Google Scholar] [CrossRef]
- Li, L.; Zhou, J.; Duszczyk, J. Determination of a constitutive relationship for AZ31B magnesium alloy and validation through comparison between simulated and real extrusion. J. Mater. Process. Technol. 2006, 172, 372–380. [Google Scholar] [CrossRef]
- Li, Q.; Wang, T.-S.; Li, H.-B.; Gao, Y.-W.; Li, N.; Jing, T.-F. Warm deformation behavior of steels containing carbon of 0.45% to 1.26% with martensite starting structure. J. Iron Steel Res. Int. 2010, 17, 34–37. [Google Scholar] [CrossRef]
- Wang, D.; Jin, J.; Wang, X. A unified constitutive model for a low alloy steel during warmdeformation considering phase differences. J. Mater Process Technol. 2017, 245, 80–90. [Google Scholar] [CrossRef]
- He, A.; Chen, L.; Wang, S.; Huangfu, L.X. Research on Dynamic Recrystallization Behavior of 20CrMo Alloy Steel during Hot Deformation. Adv. Mater. Res. 2013, 683, 488–491. [Google Scholar] [CrossRef]
- Wang, C.; Yu, F.; Zhao, D.; Zhao, X.; Zuo, L. Hot deformation and processing maps of DC cast Al-15%Si alloy. Mater. Sci. Eng. A 2013, 577, 73–80. [Google Scholar] [CrossRef]
- Yu, D.; Xu, D.; Wang, H.; Zhao, Z.; Wei, G.; Yang, R. Refining constitutive relation by integration of finite element simulations and Gleeble experiments. J. Mater. Sci. Technol. 2019, 35, 1039–1043. [Google Scholar] [CrossRef]
- Devadas, C.; Baragar, D.; Ruddle, G.; Samarasekera, I.V.; Hawbolt, E.B. The thermal and metallurgical state of steel strip during hot rolling: Part II. Factors influencing rolling loads. Met. Mater. Trans. A 1991, 22, 321–333. [Google Scholar] [CrossRef]
- Zener, C.; Hollomon, J.H. Effect of Strain Rate Upon Plastic Flow of Steel. J. Appl. Phys. 1944, 15, 22–32. [Google Scholar] [CrossRef]
- Sellars, C.M.; Whiteman, J.A. Recrystallization and grain growth in hot rolling. Met. Sci. 1979, 13, 187–194. [Google Scholar] [CrossRef]
- Liang, R.; Khan, A.S. A critical review of experimental results and constitutive models for BCC and FCC metals over a wide range of strain rates and temperatures. Int. J. Plast. 1999, 15, 963–980. [Google Scholar] [CrossRef]












| Low Temperature Region (873–973 K) | High Temperature Region (973–1123 K) | ||
|---|---|---|---|
| αL | 0.00246 | αH | 0.00519 |
| nL | 14.674 | nH | 6.948 |
| QL(J/mol⋅K) | 652.608 | QH (J/mol⋅K) | 150.821 |
| lnAL | 81.474 | lnAH | 14.45 |
| α | n | Q | lnA | ||||
|---|---|---|---|---|---|---|---|
| BL0 | 0.00326 | CL0 | 18.28 | DL0 | 492.4 | EL0 | 60.55 |
| BL1 | −0.00104 | CL1 | −49.74 | DL1 | 1886.2 | EL1 | 256.68 |
| BL2 | 0.0504 | CL2 | 290.1 | DL2 | 7351.27 | EL2 | −1044.27 |
| BL3 | −0.1148 | CL3 | −810.97 | DL3 | −11,406.17 | EL3 | 1736.56 |
| BL4 | 0.1256 | CL4 | 1017.3 | DL4 | −6851.16 | EL4 | −1204.69 |
| BL5 | −0.0525 | CL5 | −413.81 | DL5 | 957.75 | EL5 | 256.26 |
| α | n | Q | lnA | ||||
|---|---|---|---|---|---|---|---|
| BH0 | 0.0084 | CH0 | 9.78 | DH0 | 534.72 | EH0 | 57.25 |
| BH1 | −0.0344 | CH1 | −31.57 | DH1 | −3327.82 | EH1 | −369.44 |
| BH2 | 0.144 | CH2 | 160.28 | DH2 | 11,926.74 | EH2 | 1322.67 |
| BH3 | −0.2915 | CH3 | −420.7 | DH3 | −22,568.5 | EH3 | −2516.77 |
| BH4 | 0.2866 | CH4 | 507.12 | DH4 | 21,250.61 | EH4 | 2393.33 |
| BH5 | −0.1097 | CH5 | −222.61 | DH5 | −7749.15 | EH5 | −882.89 |
Publisher’s Note: MDPI stays neutral with regard to jurisdictional claims in published maps and institutional affiliations. |
© 2020 by the authors. Licensee MDPI, Basel, Switzerland. This article is an open access article distributed under the terms and conditions of the Creative Commons Attribution (CC BY) license (http://creativecommons.org/licenses/by/4.0/).
Share and Cite
Xu, S.; Shu, X.; Li, S.; Chen, J. Flow Stress Curve Modification and Constitutive Model of 20CrMoA Steel during Warm Deformation. Metals 2020, 10, 1602. https://doi.org/10.3390/met10121602
Xu S, Shu X, Li S, Chen J. Flow Stress Curve Modification and Constitutive Model of 20CrMoA Steel during Warm Deformation. Metals. 2020; 10(12):1602. https://doi.org/10.3390/met10121602
Chicago/Turabian StyleXu, Sheng, Xuedao Shu, Shuxin Li, and Ji Chen. 2020. "Flow Stress Curve Modification and Constitutive Model of 20CrMoA Steel during Warm Deformation" Metals 10, no. 12: 1602. https://doi.org/10.3390/met10121602
APA StyleXu, S., Shu, X., Li, S., & Chen, J. (2020). Flow Stress Curve Modification and Constitutive Model of 20CrMoA Steel during Warm Deformation. Metals, 10(12), 1602. https://doi.org/10.3390/met10121602

