Highly Enhanced Hot Ductility Performance of Advanced SA508-4N RPV Steel by Trace Impurity Phosphorus and Rare Earth Cerium
Abstract
1. Introduction
2. Materials and Methods
3. Results
3.1. Hot Ductility
3.2. Fractographic Analysis
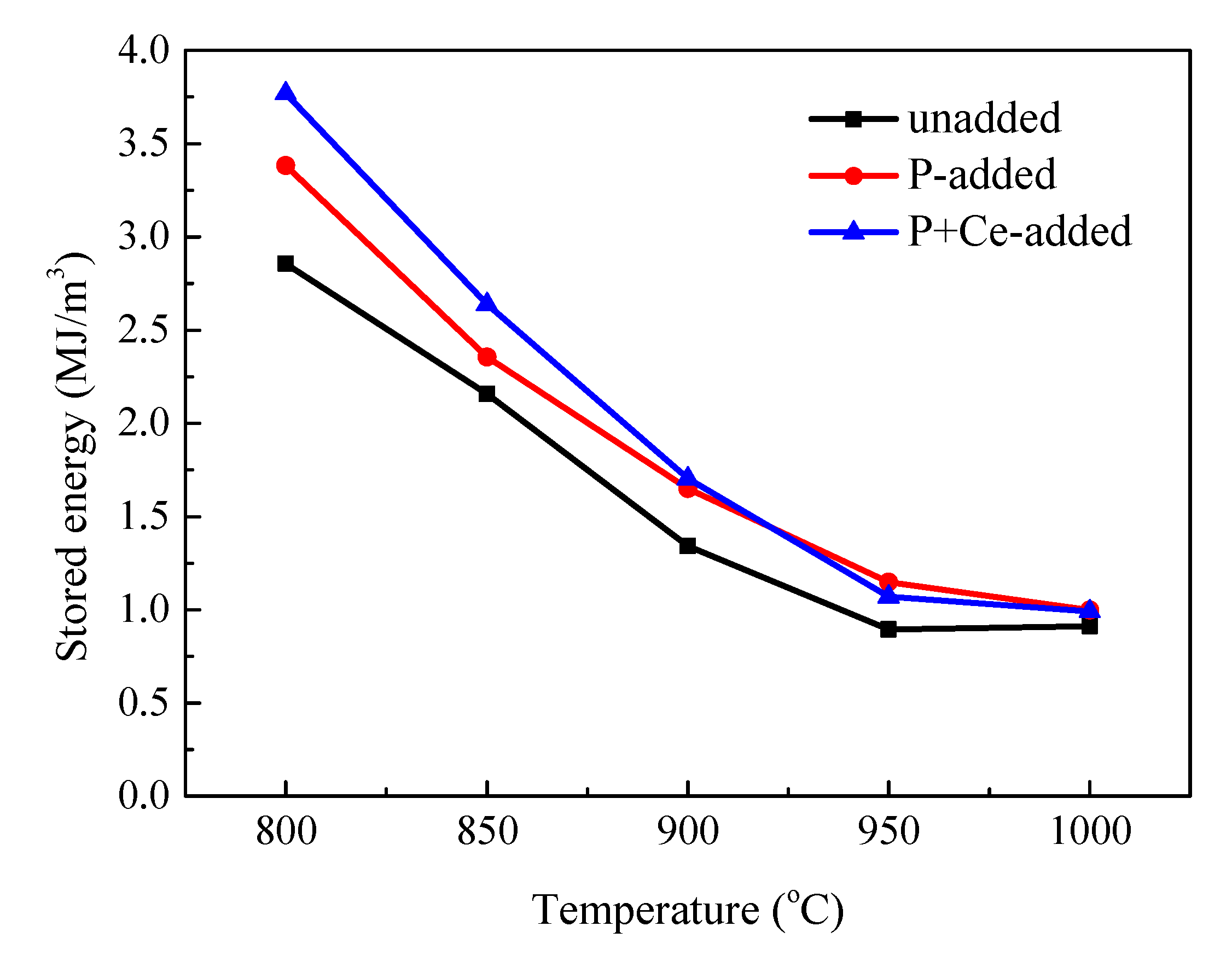
3.3. Microstructural Observation
4. Discussion
5. Conclusions
Author Contributions
Funding
Conflicts of Interest
References
- Knott, J.F. Structural integrity of nuclear reactor pressure vessels. Philos. Mag. 2013, 93, 3835–3862. [Google Scholar] [CrossRef]
- Zinkle, S.J.; Was, G.S. Materials challenges in nuclear energy. Acta Mater. 2013, 61, 735–758. [Google Scholar] [CrossRef]
- Toribio, J.; Vergara, D.; Lorenzo, M. Role of in-service stress and strain fields on the hydrogen embrittlement of the pressure vessel constituent materials in a pressurized water reactor. Eng. Fail. Anal. 2017, 82, 458–465. [Google Scholar] [CrossRef]
- Kim, M.C.; Park, S.G.; Lee, K.H.; Lee, B.S. Comparison of fracture properties in SA508 Gr.3 and Gr.4N high strength low alloy steels for advanced pressure vessel materials. Int. J. Pres. Ves. Pip. 2015, 131, 60–66. [Google Scholar] [CrossRef]
- Lee, K.H.; Park, S.G.; Kim, M.C.; Lee, B.S.; Wee, D.M. Characterization of transition behavior in SA508 Gr.4N Ni-Cr-Mo low alloy steels with microstructural alteration by Ni and Cr contents. Mater. Sci. Eng. A 2011, 529, 156–163. [Google Scholar] [CrossRef]
- Lee, K.H.; Park, S.G.; Kim, M.C.; Lee, B.S. Cleavage fracture toughness of tempered martensitic Ni-Cr-Mo low alloy steel with different martensite fraction. Mater. Sci. Eng. A 2012, 534, 75–82. [Google Scholar] [CrossRef]
- Dai, X.; Yang, B. Hot deformation behavior and microstructural evolution of SA508-IV steel. Steel Res. Int. 2018, 89, 1800208. [Google Scholar] [CrossRef]
- Thomas, B.G.; Samarasekera, I.V.; Brimacombe, J.K. Mathematical model of the thermal processing of steel ingots: Part II. Stress model. Metall. Trans. B 1987, 18, 131–147. [Google Scholar] [CrossRef]
- Mintz, B.; Yue, S.; Jonas, J.J. Hot ductility of steels and its relationship to the problem of transverse cracking during continuous casting. Metall. Rev. 1991, 36, 187–217. [Google Scholar] [CrossRef]
- Abushosha, R.; Vipond, R.; Mintz, B. Influence of sulphur and niobium on hot ductility of as cast steels. Mater. Sci. Technol. 1991, 7, 1101–1107. [Google Scholar] [CrossRef]
- Guo, Y.; Wang, K.; Song, S.H. Abnormal influence of impurity element phosphorus on the hot ductility of SA508Gr.4N reactor pressure vessel steel. Mater. Sci. Eng. A 2020, 79, 139837. [Google Scholar] [CrossRef]
- Mintz, B.; Cowley, A.; Talian, C.; Crowther, D.N.; Abushosha, R. Influence of P on hot ductility of high C, Al, and Nb containing steels. Mater. Sci. Technol. 2003, 19, 184–188. [Google Scholar] [CrossRef]
- Jiang, X.; Chen, X.M.; Song, S.H.; Shangguan, Y.J. Phosphorus-induced hot ductility enhancement of 1Cr–0.5Mo low alloy steel. Mater. Sci. Eng. A 2013, 574, 46–53. [Google Scholar] [CrossRef]
- Mintz, B.; Arrowsmith, J.M. Hot-ductility behaviour of C-Mn-Nb-Al steels and its relationship to crack propagation during the straightening of continuously cast strand. Met. Technol. 1979, 6, 24–32. [Google Scholar] [CrossRef]
- Maehara, Y.; Ohmori, Y. The precipitation of AlN and NbC and the hot ductility of low carbon steels. Mat. Sci. Eng. 1984, 62, 109–119. [Google Scholar] [CrossRef]
- Kang, S.E.; Banerjee, J.R.; Tuling, A.; Mintz, B. Influence of P and N on hot ductility of high Al, boron containing TWIP steels. Mater. Sci. Technol. 2014, 30, 1328–1335. [Google Scholar] [CrossRef]
- Zheng, L.; Song, S.H. Effect of thermal cycling induced phosphorus grain boundary segregation on embrittlement of welding heat affected zones in 2.25Cr-1Mo steel. Mater. Sci. Technol. 2014, 30, 1378–1385. [Google Scholar]
- Chen, X.M.; Song, S.H.; Weng, L.Q.; Liu, S.J.; Wang, K. Relation of ductile-to-brittle transition temperature to phosphorus grain boundary segregation for a Ti-stabilized interstitial free steel. Mater. Sci. Eng. A 2011, 528, 8299–9304. [Google Scholar] [CrossRef]
- Misra, R.D.K. Temperature-time dependence of grain boundary segregation of phosphorus in interstitial-free steels. J. Mater. Sci. Lett. 2002, 21, 1275–1279. [Google Scholar] [CrossRef]
- Yu, Y.C.; Chen, W.Q.; Zheng, H.G. Effects of Ti-Ce refiners on solidification structure and hot ductility of Fe-36Ni invar alloy. J. Rare Earth. 2013, 31, 927–932. [Google Scholar] [CrossRef]
- Liu, H.L.; Liu, C.J.; Jiang, M.F. Effect of rare earths on impact toughness of a low-carbon steel. Mater. Design 2012, 33, 306–312. [Google Scholar] [CrossRef]
- Song, S.H.; Sun, H.J.; Wang, M. Effect of rare earth cerium on brittleness of simulated welding heat-affected zones in a reactor pressure vessel steel. J. Rare Earth. 2015, 33, 1204–1211. [Google Scholar] [CrossRef]
- Jiang, X.; Song, S.H. Enhanced hot ductility of a Cr–Mo low alloy steel by rare earth cerium. Mater. Sci. Eng. A 2014, 613, 171–177. [Google Scholar] [CrossRef]
- Ma, X.C.; An, Z.J.; Chen, L.; Mao, T.Q.; Wang, J.F.; Long, H.J.; Xue, H.Y. The effect of rare earth alloying on the hot workability of duplex stainless steel-A study using processing map. Mater. Des. 2015, 86, 848–854. [Google Scholar] [CrossRef]
- Guo, Y.; Sun, S.F.; Song, S.H. Effect of minor rare earth cerium addition on the hot ductility of a reactor pressure vessel steel. Results Phys. 2019, 15, 102746. [Google Scholar] [CrossRef]
- Xin, W.B.; Zhang, J.; Luo, G.P.; Wang, R.; Meng, Q.Y.; Song, B. Improvement of hot ductility of C-Mn Steel containing arsenic by rare earth Ce. Metall. Res. Technol. 2018, 115, 419. [Google Scholar] [CrossRef]
- Wang, H.Y.; Gao, X.Y.; Ren, H.P.; Zhang, H.W.; Tan, H.J. First-principles characterization of lanthanum occupying tendency in α-Fe and effect on grain boundaries. Acta Phys. Sin-Ch. Ed. 2014, 63, 148101. [Google Scholar]
- Liu, G.L.; Zhang, G.Y.; Li, R.D. Electronic Theoretical Study of the Interaction between Rare Earth Elements and Impurities at Grain Boundaries in Steel. J. Rare Earth. 2003, 21, 372–374. [Google Scholar]
- Song, S.H.; Sun, S.F. Effect of Rare-Earth Cerium on Impurity Tin-Induced Hot Ductility Deterioration of SA508-III Reactor Pressure Vessel Steel. Steel Res. Int. 2016, 87, 1435–1443. [Google Scholar] [CrossRef]
- Hannerz, N.E. Critical hot plasticity and transverse cracking in continuous slab casting with particular reference to composition. ISIJ. Int. 1985, 25, 149–158. [Google Scholar] [CrossRef]
- Mintz, B.; Abushosha, R. Effectiveness of hot tensile test in simulating straightening in continuous-casting. Mater. Sci. Technol. 1992, 8, 171–177. [Google Scholar] [CrossRef]
- Song, S.H.; Weng, L.Q. An FEGSTEM study of grain boundary segregation of phosphorus during q-uenching in a 2.25Cr-1Mo steel. J. Mater. Sci. Technol. 2005, 21, 445–450. [Google Scholar]
- Chen, X.M.; Song, S.H.; Weng, L.Q.; Liu, S.J. Solute grain boundary segregation during high temperature plastic deformation in a Cr-Mo low alloy steel. Mater. Sci. Eng. A 2011, 528, 7663–7668. [Google Scholar] [CrossRef]
- Mintz, B.; Abushosha, R.; Shaker, M. Influence of deformation induced ferrite, grain boundary sliding, and dynamic recrystallisation on hot ductility of 0.1–0.75% C steels. Mater. Sci. Technol. 1993, 9, 907–914. [Google Scholar] [CrossRef]
- Mintz, B.; Cowley, A. Deformation induced ferrite and its influence on the elevated temperature tensile flow stress-elongation curves of plain C-Mn and Nb containing steels. Mater. Sci. Technol. 2006, 22, 279–292. [Google Scholar] [CrossRef]
- Mintz, B. The influence of composition on the hot ductility of steels and to the problem of transverse cracking. ISIJ. Int. 1999, 39, 833–855. [Google Scholar] [CrossRef]
- Song, S.H.; Xu, Y.W.; Chen, X.M.; Jiang, X. Effect of rare earth cerium and impurity tin on the hot ductility of a Cr-Mo low alloy steel. J. Rare Earth. 2016, 34, 1062–1068. [Google Scholar] [CrossRef]
- Wang, K.; Yang, C.; Si, H. Effect of non-equilibrium grain-boundary segregation of phosphorus on the intermediate-temperature ductility minimum of an Fe-17Cr alloy. Mater. Sci. Eng. A 2013, 587, 228–232. [Google Scholar] [CrossRef]
- Ouchi, C.; Matsumoto, K. Hot ductility in Nb-bearing high-strength low-alloy steels. ISIJ. Int. 2006, 22, 181–189. [Google Scholar] [CrossRef]
- Lv, B.; Zhang, F.C.; Li, M.; Hou, R.J.; Qian, L.H.; Wang, T.S. Effects of phosphorus and sulfur on the thermoplasticity of high manganese austenitic steel. Mater. Sci. Eng. A 2010, 527, 5648–5653. [Google Scholar] [CrossRef]
- Song, S.H.; Jiang, X.; Chen, X.M. Tin-induced hot ductility degradation and its suppression by phosphorus for a Cr-Mo low-alloy steel. Mater. Sci. Eng. A 2014, 595, 188–195. [Google Scholar] [CrossRef]
- Li, C.Y.; Liu, Z.D.; Lin, Z.J. Thermodynamic calculation and analysis on equilibrium phase in low alloy steel for reactor pressure vessel. Heat. Treat. Met. 2013, 38, 14–17. [Google Scholar]
- Liu, N.; Liu, Z.D.; He, X.K.; Yang, Z.Q. Austenite transformation of SA508Gr.4N steel for nuclear reactor pressure vessels during heating process. Heat. Treat. Met. 2017, 3, 88–92. [Google Scholar]
- Mintz, B.; Cowley, A.; Abushosha, R.; Crowther, D.N. Hot ductility curve of an austenitic stainless steel and importance of dynamic recrystallisation in determining ductility recovery at high temperatures. Mater. Sci. Technol. 1999, 15, 1179–1185. [Google Scholar] [CrossRef]
- Manda, D.; Baker, I. Determination of the stored energy and recrystallization temperature as a function of depth after rolling of polycrystalline copper. Scripta Mater. 1995, 33, 645–650. [Google Scholar] [CrossRef]
- Zhang, Y.; Wang, J.T.; Cheng, C.; Liu, J.Q. Stored energy and recrystallization temperature in high purity copper after equal channel angular pressing. J. Mater. Sci. 2008, 43, 7326–7330. [Google Scholar] [CrossRef]
- Huang, C.G.; Song, B.; Xin, W.B.; Jia, S.J.; Yang, Y.H. Influence of rare earth La on hot ductility of low carbon steel containing As and Sn. Heat Treat. Met. 2015, 40, 1–6. [Google Scholar]
- McLean, D. Grain Boundaries in Metals; Oxford University Press: London, UK, 1957; pp. 116–148. [Google Scholar]
- Lejcek, P. Grain Boundary Segregation in Metals; Springer: Berlin, Germany, 2010; pp. 50–102. [Google Scholar]
- Faulkner, R.G.; Song, S.H.; Flewitt, P.E.J. Determination of impurity-point defect binding energies in alloys. Mater. Sci. Technol. 1996, 12, 904–910. [Google Scholar] [CrossRef]
- Faulkner, R.G. Nonequilibrium grain boundary segregation in austenitic alloys. J. Mater. Sci. 1981, 16, 373–383. [Google Scholar] [CrossRef]
- Song, S.H.; Faulkner, R.G.; Flewitt, P.E.J. Effect of boron on phosphorus-induced temper embrittlement. J. Mater. Sci. 1999, 34, 5549–5556. [Google Scholar] [CrossRef]
- Xu, T.D.; Cheng, B.Y. Kinetics of non-equilibrium grain-boundary segregation. Prog. Mater. Sci. 2004, 49, 109–208. [Google Scholar] [CrossRef]
- Song, S.H.; Zhang, Q.; Weng, L.Q. Deformation-induced non-equilibrium grain boundary segregation in dilute alloys. Mater. Sci. Eng. A 2008, 473, 226–232. [Google Scholar] [CrossRef]
- Chen, X.M.; Song, S.H.; Weng, L.Q.; Wang, K. A study of deformation-induced phosphorus grain boundary segregation in an interstitial free steel. Mater. Sci. Eng. A 2012, 545, 86–90. [Google Scholar] [CrossRef]









| Component | C | Si | Mn | P | S | Ni | Cr | Mo | Ce | Fe |
|---|---|---|---|---|---|---|---|---|---|---|
| Unadded | 0.14 | 0.16 | 0.25 | 0.0022 | 0.0033 | 2.98 | 1.45 | 0.51 | - | Bal. |
| P-added | 0.14 | 0.18 | 0.25 | 0.043 | 0.0032 | 3.08 | 1.80 | 0.50 | - | Bal. |
| P+Ce-added | 0.14 | 0.17 | 0.25 | 0.052 | 0.0033 | 3.02 | 1.80 | 0.50 | 0.030 | Bal. |
Publisher’s Note: MDPI stays neutral with regard to jurisdictional claims in published maps and institutional affiliations. |
© 2020 by the authors. Licensee MDPI, Basel, Switzerland. This article is an open access article distributed under the terms and conditions of the Creative Commons Attribution (CC BY) license (http://creativecommons.org/licenses/by/4.0/).
Share and Cite
Guo, Y.; Zhao, Y.; Song, S. Highly Enhanced Hot Ductility Performance of Advanced SA508-4N RPV Steel by Trace Impurity Phosphorus and Rare Earth Cerium. Metals 2020, 10, 1598. https://doi.org/10.3390/met10121598
Guo Y, Zhao Y, Song S. Highly Enhanced Hot Ductility Performance of Advanced SA508-4N RPV Steel by Trace Impurity Phosphorus and Rare Earth Cerium. Metals. 2020; 10(12):1598. https://doi.org/10.3390/met10121598
Chicago/Turabian StyleGuo, Yu, Yu Zhao, and Shenhua Song. 2020. "Highly Enhanced Hot Ductility Performance of Advanced SA508-4N RPV Steel by Trace Impurity Phosphorus and Rare Earth Cerium" Metals 10, no. 12: 1598. https://doi.org/10.3390/met10121598
APA StyleGuo, Y., Zhao, Y., & Song, S. (2020). Highly Enhanced Hot Ductility Performance of Advanced SA508-4N RPV Steel by Trace Impurity Phosphorus and Rare Earth Cerium. Metals, 10(12), 1598. https://doi.org/10.3390/met10121598
