Does Eligibility Classification Matter? Tracking Cardiac Autonomic Function during a Collegiate Soccer Season
Abstract
1. Introduction
2. Materials and Methods
2.1. Participants
2.2. Data Collection
2.3. Statistical Analysis
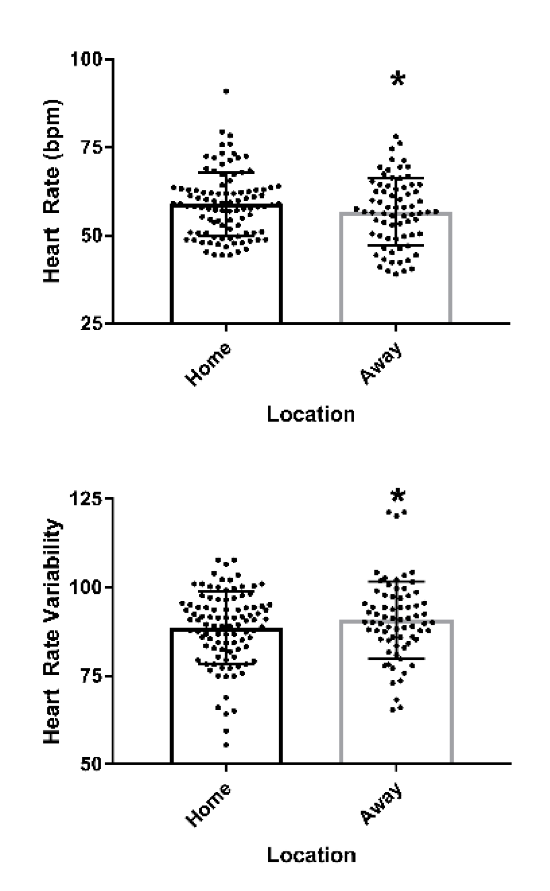
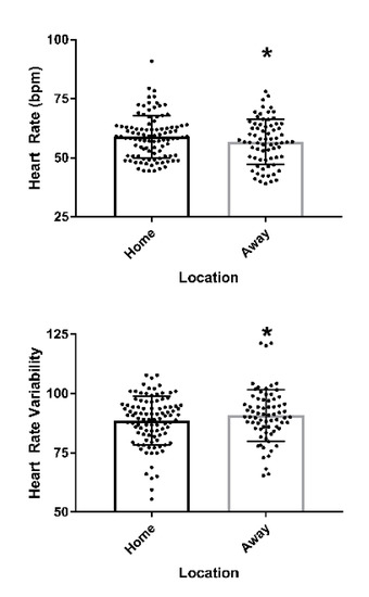
3. Results
3.1. Anthropometrics
3.2. Student-Athlete Eligibility and Position
3.3. Home vs. Away
3.4. Pre vs. Post Game
4. Discussion
Author Contributions
Funding
Institutional Review Board Statement
Informed Consent Statement
Data Availability Statement
Acknowledgments
Conflicts of Interest
References
- Judge, L.W.; Bell, R.J.; Theodore, R.; Simon, L.; Bellar, D. An Exploratory Examination of Burnout in NCAA Division II Athletes. J. Intercoll. Sport 2012, 5, 230–240. [Google Scholar] [CrossRef][Green Version]
- Madrigal, L.; Robbins, J.E. Student-athlete stress: An examination in United States Collegiate Athletics. J. Study Sports Athl. Educ. 2020, 14, 123–139. [Google Scholar] [CrossRef]
- Hwang, S.; Choi, Y. Data Mining in the Exploration of Stressors among NCAA Student Athletes. Psychol. Rep. 2016, 119, 787–803. [Google Scholar] [CrossRef] [PubMed]
- Holden, S.L.; Forester, B.E.; Williford, H.N.; Reilly, E. Sport Locus of Control and Perceived Stress among College Student-Athletes. Int. J. Environ. Res. Public Health 2019, 16, 2823. [Google Scholar] [CrossRef]
- Britton, D.M.; Kavanagh, E.J.; Polman, R.C.J. Validating a Self-Report Measure of Student Athletes’ Perceived Stress Reactivity: Associations with Heart-Rate Variability and Stress Appraisals. Front. Psychol. 2019, 10, 1083. [Google Scholar] [CrossRef]
- Kimball, A.; Freysinger, V.J. Leisure, Stress, and Coping: The Sport Participation of Collegiate Student-Athletes. Leis. Sci. 2003, 25, 115–141. [Google Scholar] [CrossRef]
- Hudd, S.; Dumlao, J.; Erdmann-Sager, D.; Murray, D.; Phan, E.; Soukas, N.; Yokozuka, N. Stress at college: Effects on health habits, health status, and self-esteem. Coll. Stud. J. 2000, 34, 217–227. [Google Scholar]
- Papanikolaou, Z.; Nikolaidis, D.; Patsiaouras, A.; Alexopoulos, P. The freshman experience: High stress-low grades. Athl. Insight 2003, 5. [Google Scholar]
- Heller, T.L.; Bloom, G.A.; Neil, G.I.; Salmela, J.H. Sources of stress in NCAA division I women ice hockey players. Athl. Insight 2005, 7, 9–25. [Google Scholar]
- Task Force of the European Society of Cardiology and the North American Society of Pacing and Electrophysiology. Heart rate variability: Standards of measurement, physiological interpretation and clinical use. Circulation 1996, 93, 1043–1065. [Google Scholar] [CrossRef]
- Esco, M.R.; Flatt, A.A. Ultra-Short-Term Heart Rate Variability Indexes at Rest and Post-Exercise in Athletes: Evaluating the Agreement with Accepted Recommendations. J. Sports Sci. Med. 2014, 13, 535–541. [Google Scholar] [PubMed]
- Kim, H.-G.; Cheon, E.-J.; Bai, D.-S.; Lee, Y.H.; Koo, B.-H. Stress and Heart Rate Variability: A Meta-Analysis and Review of the Literature. Psychiatry Investig. 2018, 15, 235–245. [Google Scholar] [CrossRef] [PubMed]
- Uusitalo, A.; Mets, T.; Martinmäki, K.; Mauno, S.; Kinnunen, U.; Rusko, H. Heart rate variability related to effort at work. Appl. Ergon. 2011, 42, 830–838. [Google Scholar] [CrossRef]
- Thayer, J.F.; Ahs, F.; Fredrikson, M.; Sollers, J.J., 3rd; Wager, T.D. A meta-analysis of heart rate variability and neuroimaging studies: Implications for heart rate variability as a marker of stress and health. Neurosci. Biobehav. Rev. 2012, 36, 747–756. [Google Scholar] [CrossRef] [PubMed]
- Dishman, R.K.; Nakamura, Y.; Garcia, M.E.; Thompson, R.W.; Dunn, A.L.; Blair, S.N. Heart rate variability, trait anxiety, and perceived stress among physically fit men and women. Int. J. Psychophysiol. 2000, 37, 121–133. [Google Scholar] [CrossRef]
- Plews, D.; Laursen, P.M.; Stanley, J.; Kilding, A.E.; Buchheit, M. Training adaptation and heart rate variability in elite endurance athletes: Opening the door to effective monitoring. Sports Med. 2013, 43, 773–781. [Google Scholar] [CrossRef]
- Oliveira, R.S.; Leicht, A.S.; Bishop, D.; Barbero-Álvarez, J.C.; Nakamura, F.Y. Seasonal Changes in Physical Performance and Heart Rate Variability in High Level Futsal Players. Int. J. Sports Med. 2012, 34, 424–430. [Google Scholar] [CrossRef]
- Buchheit, M.; Simpson, M.B.; Al Haddad, H.; Bourdon, P.C.; Mendez-Villanueva, A. Monitoring changes in physical performance with heart rate measures in young soccer players. Eur. J. Appl. Physiol. 2012, 112, 711–723. [Google Scholar] [CrossRef]
- Mourot, L.; Bouhaddi, M.; Tordi, N.; Rouillon, J.-D.; Regnard, J. Short- and long-term effects of a single bout of exercise on heart rate variability: Comparison between constant and interval training exercises. Eur. J. Appl. Physiol. 2004, 92, 508–517. [Google Scholar] [CrossRef]
- Stanley, J.; Peake, J.M.; Buchheit, M. Cardiac parasympathetic reactivation following exercise: Implications for training prescription. Sports Med. 2013, 43, 1259–1277. [Google Scholar] [CrossRef]
- Buchheit, M.; Papelier, Y.; Laursen, P.B.; Ahmaidi, S. Noninvasive assessment of cardiac parasympathetic function: Postexercise heart rate recovery or heart rate variability? Am. J. Physiol. Heart Circ. Physiol. 2007, 293, 8–10. [Google Scholar] [CrossRef] [PubMed]
- Flatt, A.A.; Howells, D.; Williams, S. Effects of consecutive domestic and international tournaments on heart rate variability in an elite rugby sevens team. J. Sci. Med. Sport 2019, 22, 616–621. [Google Scholar] [CrossRef] [PubMed]
- Werner, G.G.; Ford, B.Q.; Mauss, I.B.; Schabus, M.; Blechert, J.; Wilhelm, F.H. High cardiac vagal control is related to better subjective and objective sleep quality. Biol. Psychol. 2015, 106, 79–85. [Google Scholar] [CrossRef] [PubMed]
- Hughes, J.W.; Stoney, C.M. Depressed Mood Is Related to High-Frequency Heart Rate Variability During Stressors. Psychosom. Med. 2000, 62, 796–803. [Google Scholar] [CrossRef] [PubMed]
- Stolen, T.; Chamari, K.; Castagna, C.; Wisloff, U. Physiology of soccer: An update. Sports Med. 2005, 35, 501–536. [Google Scholar] [CrossRef]
- Ekblom, B. Applied Physiology of Soccer. Sports Med. 1986, 3, 50–60. [Google Scholar] [CrossRef]
- Di Salvo, V.; Gregson, W.; Atkinson, G.; Tordoff, P.; Drust, B. Analysis of High Intensity Activity in Premier League Soccer. Int. J. Sports Med. 2009, 30, 205–212. [Google Scholar] [CrossRef]
- Bradley, P.S.; Di Mascio, M.; Peart, D.; Olsen, P.; Sheldon, B. High-Intensity Activity Profiles of Elite Soccer Players at Different Performance Levels. J. Strength Cond. Res. 2010, 24, 2343–2351. [Google Scholar] [CrossRef]
- Krustrup, P.; Mohr, M.; Ellingsgaard, H.; Bangsbo, J. Physical Demands during an Elite Female Soccer Game: Importance of Training Status. Med. Sci. Sports Exerc. 2005, 37, 1242–1248. [Google Scholar] [CrossRef]
- Nedelec, M.; McCall, A.; Carling, C.; Legall, F.; Berthoin, S.; Dupont, G. The Influence of Soccer Playing Actions on the Recovery Kinetics after a Soccer Match. J. Strength Cond. Res. 2014, 28, 1517–1523. [Google Scholar] [CrossRef]
- Trecroci, A.; Porcelli, S.; Perri, E.; Pedrali, M.; Rasica, L.; Alberti, G.; Longo, S.; Iaia, F.M. Effects of Different Training Interventions on the Recovery of Physical and Neuromuscular Performance after a Soccer Match. J. Strength Cond. Res. 2020, 34, 2189–2196. [Google Scholar] [CrossRef]
- Jackson, A.S.; Pollock, M.L. Generalized equations for predicting body density of men. Br. J. Nutr. 1978, 40, 497–504. [Google Scholar] [CrossRef] [PubMed]
- Flatt, A.A.; Esco, M.R.; Allen, J.R.; Robinson, J.B.; Earley, R.L.; Fedewa, M.V.; Bragg, A.; Keith, C.M.; Wingo, J.E. Heart rate variability and training load among NCAA division-1 college football players throughout spring camp. J. Strength Cond. Res. 2018, 11, 3127–3134. [Google Scholar] [CrossRef] [PubMed]
- Flatt, A.A.; Hornikel, B.; Esco, M.R. Heart rate variability and psychometric responses to overload and tapering in collegiate sprint-swimmers. J. Sci. Med. Sport 2017, 20, 606–610. [Google Scholar] [CrossRef] [PubMed]
- Esco, M.R.; Flatt, A.A.; Nakamura, F.Y. Initial weekly HRV response is related to the prospective change in VO2max in female soccer players. Int. J. Sports Med. 2016, 37, 436–441. [Google Scholar] [CrossRef] [PubMed]
- Flatt, A.A.; Esco, M.R. Evaluating individual training adaptation with smartphone-derived heart rate variability in a collegiate female soccer team. J. Strength Cond. Res. 2016, 30, 378–385. [Google Scholar] [CrossRef]
- Rabbani, A.; Baseri, M.K.; Reisi, J.; Clemente, F.M.; Kargarfard, M. Monitoring collegiate soccer players during a congested match schedule: Heart rate variability versus subjective wellness measures. Physiol. Behav. 2018, 194, 527–531. [Google Scholar] [CrossRef]
- Edmonds, R.; Schmidt, B.; Siedlik, J. Eligibility Classification as a Factor in Understanding Student-Athlete Responses to Collegiate Volleyball Competition. Sports 2021, 9, 43. [Google Scholar] [CrossRef]
- Calvarese, M. The Effect of Gender on Stress Factors: An Exploratory Study among University Students. Soc. Sci. 2015, 4, 1177–1184. [Google Scholar] [CrossRef]
- Gefen, D.R.; Fish, M.C. Gender differences in stress and coping in first-year college students. J. Coll. Orient. Transit. Retent. 2019, 19, 1–14. [Google Scholar] [CrossRef]
- Furlan, R.; Piazza, S.; Dell’Orto, S.; Gentile, E.; Cerutti, S.; Pagani, M.; Malliani, A. Early and late effects of exercise and athletic training on neural mechanisms controlling heart rate. Cardiovasc. Res. 1993, 27, 482–488. [Google Scholar] [CrossRef]
- Al Haddad, H.; Laursen, P.B.; Ahmaidi, S.; Buchheit, M. Nocturnal heart rate variability following supramaximal intermittent exercise. Int. J. Sports Physiol. Perform. 2009, 4, 435–447. [Google Scholar] [PubMed]
- Mateo, M.; Blasco-Lafarga, C.; Martínez-Navarro, I.; Guzmán, J.F.; Zabala, M. Heart rate variability and pre-competitive anxiety in BMX discipline. Eur. J. Appl. Physiol. 2011, 112, 113–123. [Google Scholar] [CrossRef] [PubMed]
- Fortes, L.S.; da Costa, B.D.V.; Paes, P.P.; do Nascimento Júnior, J.R.A.; Fiorese, L.; Ferreira, M.E.C. Influence of competitive-anxiety on heart rate variability in swimmers. J. Sports Sci. Med. 2017, 16, 498–504. [Google Scholar] [PubMed]
- Ayuso-Moreno, R.; Fuentes-García, J.P.; Collado-Mateo, D.; Villafaina, S. Heart rate variability and pre-competitive anxiety according to the demanding level of the match in female soccer athletes. Physiol. Behav. 2020, 222, 112926. [Google Scholar] [CrossRef] [PubMed]
- Terry, P.C.; Walrond, N.; Carron, A.V. The influence of game location on athletes’ psychological states. J. Sci. Med. Sport 1998, 1, 29–37. [Google Scholar] [CrossRef]
- Bray, S.R.; Jones, M.V.; Owen, S. The influence of competition location on athletes’ psychological states. J. Sport Behav. 2002, 25, 231–242. [Google Scholar]



| Age (Years) | Height (cm) | Weight (kg) | Body Fat (%) | |
|---|---|---|---|---|
| Squad (n = 17) | 20.8 ± 1.0 | 178.4 ± 7.6 | 75.8 ± 3.5 | 6.5 ± 1.6 |
| Freshman (n= 4) | 19.8 ± 0.9 | 179.7 ± 9.6 | 75.6 ± 4.3 | 5.9 ± 0.6 |
| Sophomore (n = 3) | 20.0 ± 0.0 | 173.6 ± 7.7 | 74.5 ± 1.7 | 5.6 ± 0.6 |
| Junior (n = 5) | 20.8 ± 0.4 | 177.8 ± 4.8 | 76.5 ± 1.5 | 6.0 ± 0.5 |
| Senior (n = 5) | 22.0 ± 0.0 | 180.9 ± 8.9 | 76.1 ± 5.4 | 7.8 ± 2.5 |
| Measure | Freshman (n = 4) | Sophomore (n = 3) | Junior (n = 5) | Senior (n = 5) |
|---|---|---|---|---|
| Heart Rate (bpm) | 56.8 ± 7.4 | 63.7 ± 8.4 | 53.8 ± 8.6 | 63.8 ± 7.3 |
| Heart Rate Variability | 93.3 ± 9.1 | 84.3 ± 9.1 | 92.2 ± 7.9 | 81.6 ± 10.8 |
Publisher’s Note: MDPI stays neutral with regard to jurisdictional claims in published maps and institutional affiliations. |
© 2021 by the authors. Licensee MDPI, Basel, Switzerland. This article is an open access article distributed under the terms and conditions of the Creative Commons Attribution (CC BY) license (https://creativecommons.org/licenses/by/4.0/).
Share and Cite
Edmonds, R.; Kraft, R.; Cantu, M.; Meister, E.; Huynh, P.J.; Bankers, S.; Siedlik, J. Does Eligibility Classification Matter? Tracking Cardiac Autonomic Function during a Collegiate Soccer Season. Sports 2021, 9, 74. https://doi.org/10.3390/sports9060074
Edmonds R, Kraft R, Cantu M, Meister E, Huynh PJ, Bankers S, Siedlik J. Does Eligibility Classification Matter? Tracking Cardiac Autonomic Function during a Collegiate Soccer Season. Sports. 2021; 9(6):74. https://doi.org/10.3390/sports9060074
Chicago/Turabian StyleEdmonds, Rohan, Rowan Kraft, Melissa Cantu, Elizabeth Meister, P. J. Huynh, Scott Bankers, and Jacob Siedlik. 2021. "Does Eligibility Classification Matter? Tracking Cardiac Autonomic Function during a Collegiate Soccer Season" Sports 9, no. 6: 74. https://doi.org/10.3390/sports9060074
APA StyleEdmonds, R., Kraft, R., Cantu, M., Meister, E., Huynh, P. J., Bankers, S., & Siedlik, J. (2021). Does Eligibility Classification Matter? Tracking Cardiac Autonomic Function during a Collegiate Soccer Season. Sports, 9(6), 74. https://doi.org/10.3390/sports9060074

