Effects of an Initial Muscle Strength Level on Sports Performance Changes in Collegiate Soccer Players
Abstract
1. Introduction
2. Materials and Methods
2.1. Subjects
2.2. Experimental Approach
2.3. Training Program
2.4. Measures
2.4.1. Short Recovery Stress State
2.4.2. Jump Performance
2.4.3. Isometric Mid-Thigh Pull Test
2.4.4. Sprint Performance
2.5. Statistical Analysis
3. Results
3.1. The Changes in Short Recovery Stress Scale
3.2. Changes in Sports-Related Physical Performance
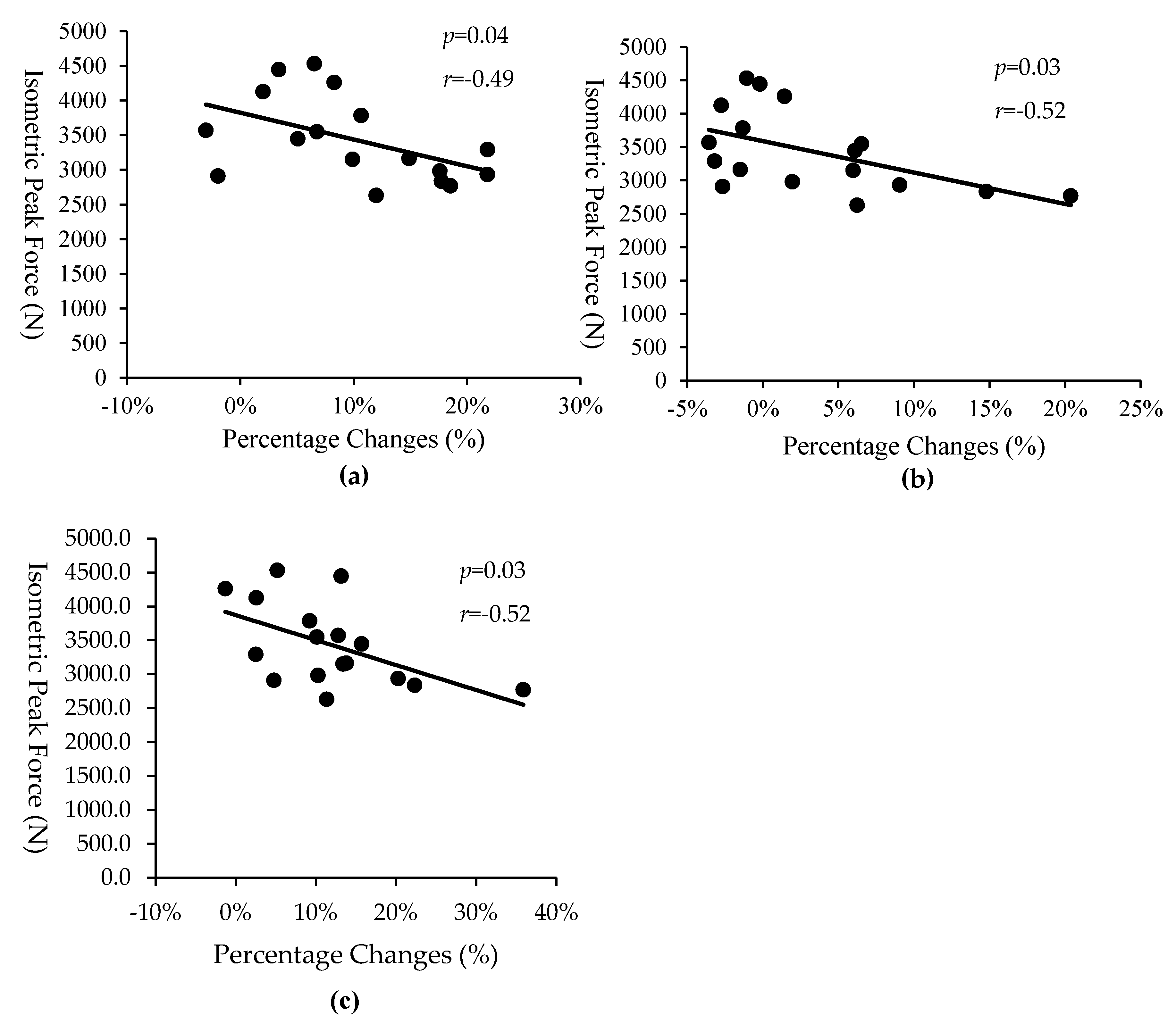
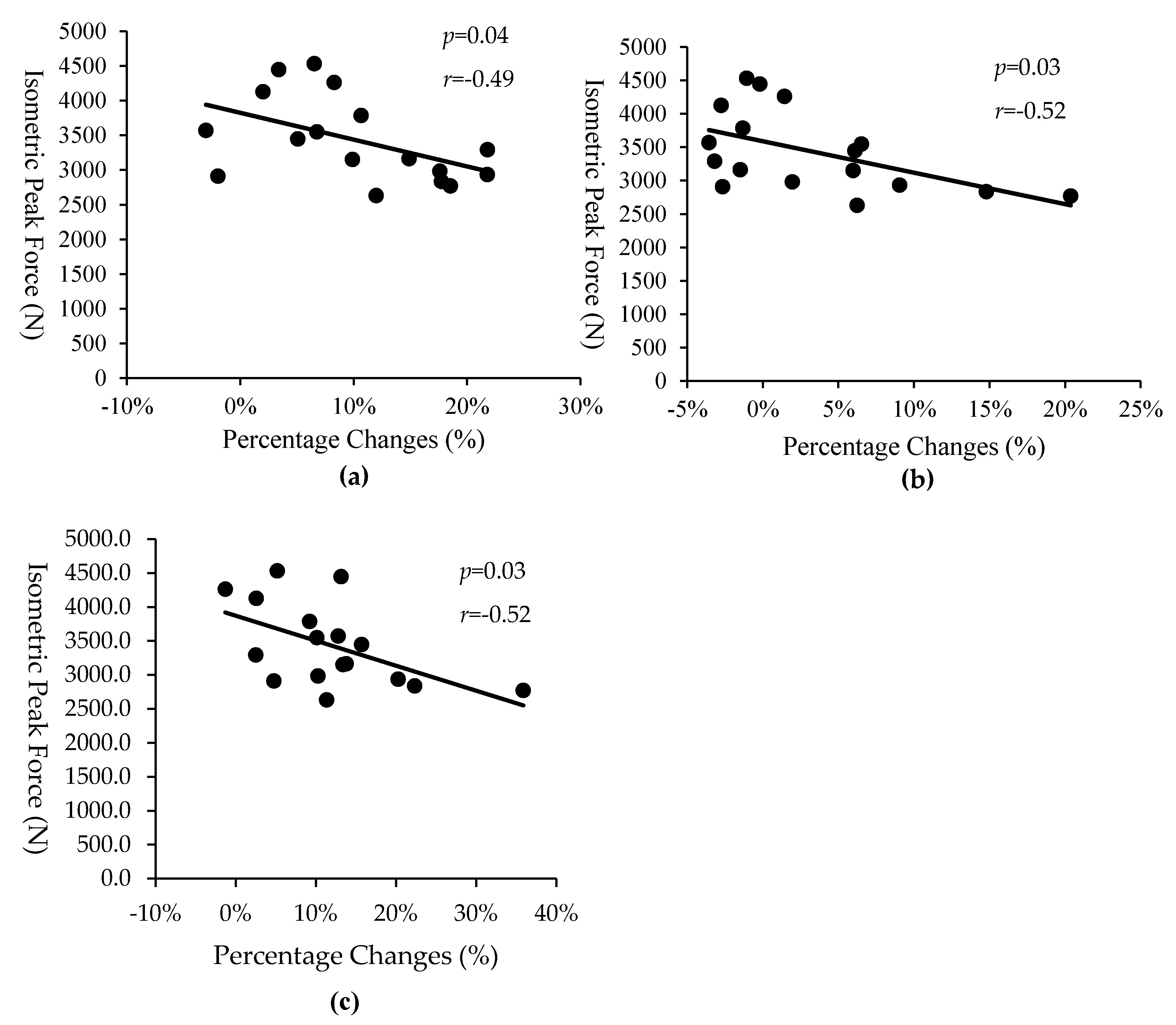
3.3. Correlation between Initial Muscle Strength and Sports-Related Physical Performance
4. Discussion
5. Conclusions
Author Contributions
Funding
Acknowledgments
Conflicts of Interest
References
- DeWeese, B.H.; Hornsby, G.; Stone, M.; Stone, M.H. The training process: Planning for strength–power training in track and field. Part 2: Practical and applied aspects. J. Sport Health Sci. 2015, 4, 318–324. [Google Scholar] [CrossRef]
- Stone, M.; Plisk, S.; Collins, D. Training principles: Evaluation of modes and methods of resistance training—A coaching perspective. Sports Biomech. 2002, 1, 79–103. [Google Scholar] [CrossRef]
- DeWeese, B.H.; Hornsby, G.; Stone, M.; Stone, M.H. The training process: Planning for strength–power training in track and field. Part 1: Theoretical aspects. J. Sport Health Sci. 2015, 4, 308–317. [Google Scholar] [CrossRef]
- Cormie, P.; Mcguigan, M.R.; Newton, R.U. Influence of strength on magnitude and mechanisms of adaptation to power training. Med. Sci. Sports Exerc. 2010, 42, 1566–1581. [Google Scholar] [CrossRef]
- Kraska, J.M.; Ramsey, M.W.; Haff, G.G.; Fethke, N.; Sands, W.A.; Stone, M.E.; Stone, M.H. Relationship between strength characteristics and unweighted and weighted vertical jump height. Int. J. Sports Physiol. Perform. 2009, 4, 461–473. [Google Scholar] [CrossRef]
- Suchomel, T.J.; Nimphius, S.; Stone, M.H. The importance of muscular strength in athletic performance. Sports Med. (Auckl. N.Z.) 2016, 46, 1419–1449. [Google Scholar] [CrossRef]
- Ahtiainen, J.P.; Pakarinen, A.; Alen, M.; Kraemer, W.J.; Häkkinen, K. Muscle hypertrophy, hormonal adaptations and strength development during strength training in strength-trained and untrained men. Eur. J. Appl. Physiol. 2003, 89, 555–563. [Google Scholar] [CrossRef]
- Stone, M.H.; O’Bryant, H.S.; McCoy, L.; Coglianese, R.; Lehmkuhl, M.; Schilling, B. Power and maximum strength relationships during performance of dynamic and static weighted jumps. J. Strength Cond. Res. 2003, 17, 140–147. [Google Scholar] [CrossRef]
- Taylor, K.-L.; Chapman, D.W.; Cronin, J.; Michael, N.J.; Gill, N.D. Fatigue monitoring in high performance sport: A survey of current trends. J. Aust. Strength Cond. 2012, 20, 12–23. [Google Scholar]
- Nässi, A.; Ferrauti, A.; Meyer, T.; Pfeiffer, M.; Kellmann, M. Development of two short measures for recovery and stress in sport. Eur. J. Sport Sci. 2017, 17, 894–903. [Google Scholar] [CrossRef]
- Pelka, M.; Schneider, P.; Kellmann, M. Development of pre- and post-match morning recovery-stress states during in-season weeks in elite youth football: Science and Medicine in Football. Sci. Med. Footb. 2018, 2, 127–132. [Google Scholar] [CrossRef]
- Hopkins, W.G. A scale of Magnitudes for Effect Statistics [Internet]. Available online: http://www.sportsci.org/resource/stats/effectmag.html (accessed on 25 October 2019).
- Staron, R.S.; Leonardi, M.J.; Karapondo, D.L.; Malicky, E.S.; Falkel, J.E.; Hagerman, F.C.; Hikida, R.S. Strength and skeletal muscle adaptations in heavy-resistance-trained women after detraining and retraining. J. Appl. Physiol. 1991, 70, 631–640. [Google Scholar] [CrossRef] [PubMed]
- Carroll, K.M.; Bazyler, C.D.; Bernards, J.R.; Taber, C.B.; Stuart, C.A.; DeWeese, B.H.; Sato, K.; Stone, M.H. Skeletal muscle fiber adaptations following resistance training using repetition maximums or relative intensity. Sports 2019, 7, 169. [Google Scholar] [CrossRef] [PubMed]
- Young, K.; Gabbett, T.; Haff, G.G.; Newton, R.U. The Effect of initial strength levels on the training response to heavy resistance training and ballistic training on upper body pressing strength. J. Aust. Strength Cond. 2013, 21, 85–87. [Google Scholar]
- Cormie, P.; McGuigan, M.R.; Newton, R.U. Adaptations in athletic performance after ballistic power versus strength training. Med. Sci. Sports Exerc. 2010, 42, 1582–1598. [Google Scholar] [CrossRef]
- Baker, D.; Nance, S. The relation between strength and power in professional rugby league players. J. Strength Cond. Res. 1999, 13, 224–229. [Google Scholar]
- Cormie, P.; McBride, J.M.; McCaulley, G.O. Power-time, force-time, and velocity-time curve analysis of the countermovement jump: Impact of training. J. Strength Cond. Res. 2009, 23, 177–186. [Google Scholar] [CrossRef]
- Häkkinen, K.; Komi, P.V.; Alén, M. Effect of explosive type strength training on isometric force- and relaxation-time, electromyographic and muscle fibre characteristics of leg extensor muscles. Acta Physiol. Scand. 1985, 125, 587–600. [Google Scholar] [CrossRef]
- Stone, M.H. Position statement: Explosive exercise and training. Strength Cond. J. 1993, 15, 7–15. [Google Scholar] [CrossRef]
- Carroll, K.M.; Bernards, J.R.; Bazyler, C.D.; Taber, C.B.; Stuart, C.A.; DeWeese, B.H.; Sato, K.; Stone, M.H. Divergent performance outcomes following resistance training using repetition maximums or relative intensity. Int. J. Sports Physiol. Perform. 2018, 1–28. [Google Scholar] [CrossRef]
- Harris, G.R.; Stone, M.H.; O’bryant, H.S.; Proulx, C.M.; Johnson, R.L. Short-term performance effects of high power, high force, or combined weight-training methods. J. Strength Cond. Res. 2000, 14, 14. [Google Scholar]
- Young, W.B. Transfer of strength and power training to sports performance. Int. J. Sports Physiol. Perform. 2006, 1, 74–83. [Google Scholar] [CrossRef] [PubMed]
- McBride, J.M.; Triplett-McBride, T.; Davie, A.; Newton, R.U. The effect of heavy- vs. light-load jump squats on the development of strength, power, and speed. J. Strength Cond. Res. 2002, 16, 75–82. [Google Scholar] [PubMed]
- Maffiuletti, N.A.; Aagaard, P.; Blazevich, A.J.; Folland, J.; Tillin, N.; Duchateau, J. Rate of force development: Physiological and methodological considerations. Eur. J. Appl. Physiol. 2016, 116, 1091–1116. [Google Scholar] [CrossRef]



| Week | Mon | Tue | Wed | Thu | Fri | Sat | Sun |
|---|---|---|---|---|---|---|---|
| 1 | Wt | OFF | Wt | OFF | Wt | OFF | OFF |
| 2, 3 | Tr, Wt | Tr | Tr, Wt | Tr | Tr, Wt | OFF | OFF |
| 4 | T, Tr, Wt | Tr | Tr, Wt | Tr | Tr, Wt | OFF | OFF |
| 5, 6 | Tr, Wt | Tr | Tr, Wt | Tr | Tr, Wt | Match | OFF |
| 7 | Wt | Tr | Wt | Tr | T, Wt | OFF | OFF |
| Phase | Week | Sets and Reps | Daily Relative Intensities (D1, D2, D3) | Volume Load (kg) |
|---|---|---|---|---|
| SE | 1 | 3 × 10 (3 × 5) | ML, ML, VL | 17,221 ± 2548 |
| SE | 2 | 3 × 10 (3 × 5) | M, M, L | 18,800 ± 2735 |
| SE | 3 | 3 × 10 (3 × 5) | H, H, L | 19,992 ± 2966 |
| MS | 4 | 5 × 5 (5 × 3) | ML, ML, VL | 16,333 ± 2145 |
| MS | 5 | 3 × 5 (3 × 3) | M, M, L | 12,159 ± 1486 |
| MS | 6 | 3 × 5 (3 × 3) | H, H, L | 12,664 ± 1670 |
| MS | 7 | 3 × 3 | VL, VL, VL | 8053 ± 1595 |
| Day | Strength-Endurance | Muscle Strength |
|---|---|---|
| Day 1 and Day 3 | Back Squat | Back Squat |
| BB Shoulder Press | BB CG Push Press | |
| DB Lunge | DB Step Up | |
| BB Bench Press | BB Bench Press | |
| DB Triceps Extension | ||
| Day 2 | Clean Pull | Pull from Knee |
| Straight Leg Deadlift | Straight Leg Deadlift | |
| Bent Over Row | Bent Over Row | |
| DB Pull Over | DB Pull Over | |
| DB Biceps Curl |
| Variables | Baseline | T1 | T2 |
|---|---|---|---|
| Physical Performance Capability | 4.6 ± 0.9 | 5.1 ± 0.7 | 4.9 ± 0.7 |
| Mental Performance Capability | 4.8 ± 1.0 | 5.2 ± 0.9 | 5.1 ± 1.1 |
| Emotional Balance | 5.4 ± 0.5 | 5.4 ± 0.9 | 5.1 ± 0.9 |
| Overall Recovery | 5.1 ± 0.6 | 5.1 ± 0.8 | 4.8 ± 0.7 |
| Recovery Scale | 5.0 ± 0.5 | 5.2 ± 0.7 | 5.0 ± 0.7 |
| Muscle Stress | 1.8 ± 1.4 | 0.9 ± 0.6 | 1.1 ± 0.9 |
| Lack of Activation | 1.0 ± 1.1 | 0.9 ± 0.8 | 1.0 ± 0.9 |
| Negative Emotional State | 0.8 ± 1.2 | 0.70 ± 1.3 | 0.9 ± 1.1 |
| Overall Stress | 1.2 ± 1.5 | 0.9 ± 0.7 | 1.1 ± 1.1 |
| Stress Scale | 1.2 ± 1.0 | 0.9 ± 0.7 | 1.0 ± 0.9 |
| Time Points | Percent Changes (ES) | |||||
|---|---|---|---|---|---|---|
| Variables | B | T1 | T2 | B-T1 | B-T2 | T1-2 |
| SJ 0 kg | ||||||
| JH (cm) | 32.4 ± 6.7 | 32.3 ± 6.6 | 32.9 ± 6.7 | −0.2 ± 7.2 (−0.02) | 1.6 ± 5.9 (0.08) | 2.1 ± 11.8 (0.09) |
| NI (N) | 195.6 ± 28.7 | 193.4 ± 30.7 | 199.0 ± 31.7 | −1.1 ± 6.9 (−0.08) | 2.1 ± 9.9 (0.11) | 3.1 ± 6.4 (0.18) |
| PP (W) | 4126.2 ± 810.7 | 4055.9 ± 883.1 | 4276.5 ± 902.3 | −1.6 ± 9.0 (−0.08) | 4.4 ± 13.2 (0.18) | 6.0 ± 9.3 (0.25) |
| PF (N) | 1698.3 ± 252.7 | 1697.7 ± 257.3 | 1738.2 ± 215.6 | 0.1 ± 4.3 (0.00) | 3.0 ± 7.3 (0.17) | 2.9 ± 5.7 (0.17) |
| PV (m·s−1) | 2.87 ± 0.26 | 2.81 ± 0.30 | 2.93 ± 0.37 | −1.8 ± 8.2 (−0.21) | 2.3 ± 10.6 (0.19) | 4.2 ± 7.6 (0.35) |
| PPa (W·kg−0.67) | 232.1 ± 38.0 | 226.6 ± 44.4 | 241.9 ± 48.5 | −2.2 ± 10.1 (−0.13) | 4.8 ± 13.9 (0.23) | 7.1 ± 10.3 (0.33) |
| PFa (N·kg−0.67) | 95.5 ± 9.2 | 94.8 ± 9.5 | 98.2 ± 8.0 | −0.7 ± 4.3 (−0.07) | 3.4 ± 8.7 (0.32) | 4.0 ± 7.0 (0.39) |
| SJ 20 kg | ||||||
| JH (cm) | 23.5 ± 5.5 | 23.8 ± 5.3 | 24.4 ± 4.7 | 2.1 ± 11.8 (0.06) | 5.1 ± 8.1 (0.19) | 3.8 ± 9.6 (0.13) |
| NI (N) | 206.8 ± 30.4 | 211.7 ± 32.4 | 221.3 ± 28.6 | 2.5 ± 7.3 (0.16) | 7.4 ± 5.9 (0.49) | 5.0 ± 5.2 (0.31) |
| PP (W) | 3895.4 ± 768.3 | 4023.6 ± 793.0 | 4255.8 ± 704.4 | 3.6 ± 9.2 (0.16) | 10.1 ± 7.8 (0.49) | 6.8 ± 8.5 (0.31) |
| PF (N) | 1833.9 ± 249.4 | 1830.4 ± 243.5 | 1885.7 ± 212.1 | 0.0 ± 5.3 (−0.01) | 3.3 ± 6.6 (0.22) | 3.3 ± 4.1 (0.24) |
| PV (m·s−1) | 2.43 ± 0.20 | 2.55 ± 0.33 | 2.61 ± 0.22 | 4.8 ± 10.1 (0.44) | 7.3 ± 6.4 (0.83) | 2.9 ± 6.8 (0.20) |
| PPa (W·kg−0.67) | 186.1 ± 31.1 | 197.3 ± 39.1 | 204.7 ± 29.0 | 6.0 ± 10.2 (0.32) | 10.7 ± 8.1 (0.62) | 5.0 ± 8.5 (0.22) |
| PFa (N·kg−0.67) | 87.7 ± 8.2 | 88.9 ± 7.7 | 90.7 ± 5.9 | 1.5 ± 3.7 (0.15) | 3.7 ± 5.7 (0.42) | 2.2 ± 3.5 (0.26) |
| SJ 40 kg | ||||||
| JH (cm) | 16.0 ± 4.9 | 16.1 ± 4.4 | 17.7 ± 4.6 | 1.9 ± 10.8 (0.02) | 11.9 ± 8.8 (0.36) | 10.5 ± 9.3 (0.35) |
| NI (N) | 214.3 ± 33.2 | 225.1 ± 43.5 | 226.1 ± 41.9 | 5.0 ± 11.5 (0.28) | 5.6 ± 11.8 (0.31) | 1.1 ± 10.4 (0.02) |
| PP (W) | 3790.5 ± 713.3 | 3994.4 ± 934.5 | 4050.0 ± 872.0 | 5.3 ± 13.1 (0.25) | 7.0 ± 12.2 (0.33) | 2.4 ± 11.7 (0.06) |
| PF (N) | 2002.1 ± 245.6 | 2012.3 ± 232.4 | 2051.2 ± 218.7 | 0.7 ± 3.8 (0.04) | 2.8 ± 5.4 (0.21) | 2.1 ± 3.1 (0.17) |
| PV (m·s−1) | 2.14 ± 0.20 | 2.24 ± 0.33 | 2.25 ± 0.32 | 4.6 ± 12.1 (0.37) | 4.8 ± 12.1 (0.39) | 0.8 ± 11.0 (0.02) |
| PPa (W·kg−0.67) | 159.0 ± 25.8 | 167.8 ± 37.4 | 170.3 ± 34.5 | 5.5 ± 14.7 (0.22) | 7.2 ± 13.7 (0.37) | 2.7 ± 13.5 (0.07) |
| PFa (N·kg−0.67) | 84.1 ± 7.0 | 84.67.1 | 86.2 ± 6.0 | 0.7 ± 4.0 (0.07) | 2.7 ± 4.2 (0.33) | 2.1 ± 3.5 (0.25) |
| Sprint | ||||||
| 10 m Time (s) | 1.81 ± 0.09 | 1.81 ± 0.05 | 1.78 ± 0.06 | 0.7 ± 3.2 (0.03) | −0.9 ± 3.3 (0.48) | −1.6 ± 2.6 (0.71) |
| 20 m Time (s) | 3.08 ± 0.12 | 3.10 ± 0.08 | 3.05 ± 0.09 | 0.4 ± 5.2 (0.18) | −1.8 ± 5.4 (0.29) | −2.1 ± 3.8 (0.58) |
| B−T1 | B−T2 | T1−T2 | |||||||
|---|---|---|---|---|---|---|---|---|---|
| Variables | IPF | RFD250 | NIPF | IPF | RFD250 | NIPF | IPF | RFD250 | NIPF |
| SJ0 | |||||||||
| JH | 0.13 (0.63) | −0.05 (0.85) | 0.40 (0.11) | 0.23 (0.37) | 0.05 (0.86) | 0.50 (0.04) | 0.06 (0.81) | 0.09 (0.74) | 0.00 (0.99) |
| NI | 0.21 (0.41) | 0.12 (0.64) | −0.09 (0.74) | 0.12 (0.65) | 0.14 (0.59) | −0.30 (0.25) | −0.05 (0.84) | 0.06 (0.81) | −0.35 (0.17) |
| PP | 0.22 (0.40) | 0.15 (0.56) | −0.06 (0.82) | −0.01 (0.98) | 0.05 (0.86) | −0.31 (0.23) | −0.23 (0.38) | −0.10 (0.70) | −0.37 (0.14) |
| PF | −0.19 (0.46) | −0.02 (0.93) | −0.15 (0.58) | −0.49 (0.05) | −0.21 (0.41) | −0.34 (0.18) | −0.46 (0.07) | −0.25 (0.34) | −0.32 (0.21) |
| PV | 0.38 (0.14) | 0.23 (0.38) | 0.05 (0.85) | 0.24 (0.36) | 0.15 (0.56) | −0.18 (0.48) | −0.09 (0.73) | −0.05 (0.84) | −0.31 (0.23) |
| PPa | 0.28 (0.27) | 0.16 (0.54) | 0.02 (0.94) | 0.08 (0.75) | 0.09 (0.73) | −0.24 (0.35) | −0.18 (0.48) | −0.06 (0.81) | −0.35 (0.17) |
| PFa | 0.09 (0.70) | 0.17 (0.50) | 0.01 (0.98) | −0.06 (0.81) | 0.21 (0.41) | −0.22 (0.40) | −0.14 (0.59) | 0.15 (0.58) | −0.28 (0.27) |
| SJ20 | |||||||||
| JH | 0.02 (0.95) | −0.12 (0.65) | 0.24 (0.36) | −0.26 (0.31) | −0.23 (0.38) | 0.22 (0.49) | −0.27 (0.29) | −0.06 (0.81) | −0.10 (0.69) |
| NI | 0.04 (0.87) | 0.05 (0.86) | −0.03 (0.89) | −0.26 (0.32) | 0.07 (0.79) | −0.18 (0.49) | −0.36 (0.15) | 0.01 (0.98) | −0.18 (0.49) |
| PP | −0.09 (0.73) | −0.05 (0.84) | 0.09 (0.73) | −0.49 (0.04) | −0.12 (0.65) | −0.29 (0.26) | −0.35 (0.16) | −0.05 (0.84) | −0.34 (0.18) |
| PF | −0.29 (0.26) | −0.18 (0.49) | 0.02 (0.93) | −0.52 (0.03) | −0.27 (0.29) | −0.30 (0.24) | −0.46 (0.06) | −0.20 (0.44) | −0.51 (0.04) |
| PV | 0.07 (0.80) | 0.06 (0.82) | −0.15 (0.57) | −0.21 (0.41) | 0.01 (0.97) | −0.11 (0.67) | −0.32 (0.21) | −0.08 (0.75) | 0.06 (0.83) |
| PPa | −0.02 (0.94) | −0.01 (0.97) | −0.20 (0.44) | −0.50 (0.04) | −0.19 (0.46) | −0.24 (0.35) | −0.46 (0.06) | −0.16 (0.55) | −0.04 (0.86) |
| PFa | −0.21 (0.43) | −0.04 (0.87) | −0.14 (0.59) | −0.50 (0.04) | −0.16 (0.52) | −0.31 (0.22) | −0.59 (0.01) | −0.22 (0.62) | −0.36 (0.16) |
| SJ40 | |||||||||
| JH | −0.26 (0.32) | −0.26 (0.32) | 0.29 (0.26) | −0.53 (0.03) | −0.40 (0.12) | 0.00 (1.00) | −0.20 (0.44) | −0.06 (0.81) | −0.39 (0.13) |
| NI | 0.23 (0.37) | −0.13 (0.61) | 0.37 (0.15) | 0.32 (0.21) | 0.23 (0.37) | 0.14 (0.60) | 0.09 (0.72) | 0.35 (0.17) | −0.24 (0.36) |
| PP | 0.20 (0.44) | −0.15 (0.54) | 0.31 (0.22) | 0.26 (0.32) | 0.19 (0.46) | 0.08 (0.75) | 0.04 (0.04) | 0.30 (0.24) | −0.25 (0.34) |
| PF | −0.25 (0.33) | −0.10 (0.70) | 0.07 (0.80) | −0.41 (0.10) | −0.21 (0.42) | −0.22 (0.39) | −0.38 (0.13) | −0.24 (0.36) | −0.46 (0.06) |
| PV | 0.26 (0.31) | −0.13 (0.61) | 0.29 (0.26) | 0.35 (0.17) | 0.22 (0.39) | 0.14 (0.59) | 0.09 (0.72) | 0.33 (0.19) | −0.15 (0.56) |
| PPa | 0.22 (0.24) | −0.14 (0.59) | 0.28 (0.27) | 0.25 (0.35) | 0.13 (0.62) | 0.09 (0.72) | 0.00 (0.99) | 0.22 (0.39) | −0.20 (0.43) |
| PFa | −0.08 (0.77) | −0.13 (0.61) | 0.11 (0.67) | −0.19 (0.46) | 0.01 (0.98) | −0.20 (0.45) | −0.15 (0.57) | 0.15 (0.59) | −0.38 (0.14) |
| Sprint | |||||||||
| 10 m | 0.19 (0.47) | 0.48 (0.05) | −0.18 (0.49) | 0.06 (0.82) | 0.37 (0.15) | −0.44 (0.08) | −0.14 (0.59) | −0.12 (0.66) | −0.38 (0.14) |
| 20 m | 0.36 (0.16) | 0.33 (0.20) | −0.06 (0.81) | 0.32 (0.21) | 0.33 (0.19) | −0.54 (0.03) | −0.01 (0.96) | 0.03 (0.90) | −0.59 (0.01) |
© 2020 by the authors. Licensee MDPI, Basel, Switzerland. This article is an open access article distributed under the terms and conditions of the Creative Commons Attribution (CC BY) license (http://creativecommons.org/licenses/by/4.0/).
Share and Cite
Ishida, A.; Rochau, K.; Findlay, K.P.; Devero, B.; Duca, M.; Stone, M.H. Effects of an Initial Muscle Strength Level on Sports Performance Changes in Collegiate Soccer Players. Sports 2020, 8, 127. https://doi.org/10.3390/sports8090127
Ishida A, Rochau K, Findlay KP, Devero B, Duca M, Stone MH. Effects of an Initial Muscle Strength Level on Sports Performance Changes in Collegiate Soccer Players. Sports. 2020; 8(9):127. https://doi.org/10.3390/sports8090127
Chicago/Turabian StyleIshida, Ai, Kyle Rochau, Kyle P. Findlay, Brandon Devero, Marco Duca, and Michael H. Stone. 2020. "Effects of an Initial Muscle Strength Level on Sports Performance Changes in Collegiate Soccer Players" Sports 8, no. 9: 127. https://doi.org/10.3390/sports8090127
APA StyleIshida, A., Rochau, K., Findlay, K. P., Devero, B., Duca, M., & Stone, M. H. (2020). Effects of an Initial Muscle Strength Level on Sports Performance Changes in Collegiate Soccer Players. Sports, 8(9), 127. https://doi.org/10.3390/sports8090127

