Predictors of CrossFit Open Performance
Abstract
1. Introduction
2. Materials and Methods
2.1. Participants
2.2. Study Design
2.3. Competition Performance and Self-Reported Fitness
2.4. Resting Physiological Measures
2.4.1. Blood Sampling and Biochemical Analysis
2.4.2. Resting Energy Expenditure
2.5. Body Composition
2.5.1. Muscle Morphology
2.5.2. Body Fat Percentage
2.6. Cardiorespiratory Fitness Assessments
2.6.1. Graded Exercise Test
2.6.2. 3-min Maximal Cycling Sprint
2.7. Isometric Mid-Thigh Pull Strength
2.8. Statistical Analysis
3. Results
3.1. Self-Reported Fitness and Competition Performance
3.1.1. Training and Competition Experience
3.1.2. Self-Reported Fitness
3.2. Resting Hormone Concentrations and Energy Expenditure
3.3. Body Composition
3.3.1. Body Fat Percentage Assessments
3.3.2. Muscle Morphology
3.4. Cardiorespiratory Fitness Assessments
3.5. Isometric Mid-Thigh Pull Strength
3.6. Prediction of 2018 CFO Performance
4. Discussion
5. Conclusions
Author Contributions
Funding
Acknowledgments
Conflicts of Interest
References
- Glassman, G. CrossFit Training Guide Level 1; Crossfit Inc.: Santa Cruz, CA, USA, 2010; pp. 1–115. [Google Scholar]
- Feito, Y.; Heinrich, K.; Butcher, S.; Poston, W. High-Intensity Functional Training (HIFT): Definition and Research Implications for Improved Fitness. Sports 2018, 6, 76. [Google Scholar] [CrossRef] [PubMed]
- CrossFit. Finding the Fittest on Earth. In CrossFit Games; CrossFit: Santa Cruz, CA, USA, 2020. [Google Scholar]
- CrossFit. Welcome to the 2019 CrossFit Games Season. In CrossFit Games; CrossFit: Santa Cruz, CA, USA, 2019. [Google Scholar]
- Haff, G. Periodization of Training. In Conditioning for Strength and Human Performance; Brown, L., Chandler, J., Eds.; Wolters Kluwer, Lippincott, Williams & Wilkins: Philadelphia, PA, USA, 2012; pp. 326–345. [Google Scholar]
- Martínez-Gómez, R.; Valenzuela, P.L.; Barranco-Gil, D.; Moral-González, S.; García-González, A.; Lucia, A. Full-Squat as a Determinant of Performance in CrossFit. Int. J. Sports Med. 2019, 40, 592–596. [Google Scholar] [CrossRef] [PubMed]
- Serafini, P.R.; Feito, Y.; Mangine, G.T. Self-reported measures of strength and sport-specific skills distinguish ranking in an international online fitness competition. J. Strength Cond. Res. 2018, 32, 3474–3484. [Google Scholar] [CrossRef] [PubMed]
- Butcher, S.J.; Neyedly, T.J.; Horvey, K.J.; Benko, C.R. Do physiological measures predict selected crossFit® benchmark performance? Open Access J. Sports Med. 2015, 6, 241. [Google Scholar] [CrossRef] [PubMed]
- Bellar, D.; Hatchett, A.; Judge, L.; Breaux, M.; Marcus, L. The relationship of aerobic capacity, anaerobic peak power and experience to performance in CrossFit exercise. Biol. Sport 2015, 32, 315–320. [Google Scholar] [CrossRef]
- Barbieri, J.F.; Correia, R.F.; Castaño, L.A.A.; Brasil, D.V.C.; Ribeiro, A.N. Comparative and correlational analysis of the performance from 2016 crossfit games high-level athletes. Man. Ther. Posturology Rehabil. J. 2017, 15. [Google Scholar] [CrossRef][Green Version]
- Feito, Y.; Giardina, M.J.; Butcher, S.; Mangine, G.T. Repeated anaerobic tests predict performance among a group of advanced CrossFit-trained athletes. Appl. Physiol. Nutr. Metab. 2018, 44, 727–735. [Google Scholar] [CrossRef]
- Dexheimer, J.D.; Schroeder, E.T.; Sawyer, B.J.; Pettitt, R.W.; Aguinaldo, A.L.; Torrence, W.A. Physiological Performance Measures as Indicators of CrossFit® Performance. Sports 2019, 7, 93. [Google Scholar] [CrossRef]
- Schlegel, P.; Režný, L.; Fialová, D. Pilot study: Performance-ranking relationship analysis in Czech crossfiters. J. Hum. Sport Exerc. 2020, in press. [Google Scholar] [CrossRef]
- Martínez-Gómez, R.; Valenzuela, P.L.; Alejo, L.B.; Gil-Cabrera, J.; Montalvo-Pérez, A.; Talavera, E.; Lucia, A.; Moral-González, S.; Barranco-Gil, D. Physiological Predictors of Competition Performance in CrossFit Athletes. Int. J. Environ. Res. Public Health 2020, 17, 3699. [Google Scholar] [CrossRef]
- Mangine, G.T.; Kliszczewicz, B.M.; Boone, J.B.; Williamson-Reisdorph, C.M.; Bechke, E.E. Pre-anticipatory anxiety and autonomic nervous system response to two unique fitness competition workouts. Sports 2019, 7, 199. [Google Scholar] [CrossRef] [PubMed]
- Casto, K.V.; Edwards, D.A. Testosterone, cortisol, and human competition. Horm. Behav. 2016, 82, 21–37. [Google Scholar] [CrossRef] [PubMed]
- Kivlighan, K.T.; Granger, D.A. Salivary α-amylase response to competition: Relation to gender, previous experience, and attitudes. Psychoneuroendocrinology 2006, 31, 703–714. [Google Scholar] [CrossRef] [PubMed]
- Kraemer, W.J.; Ratamess, N.A. Hormonal responses and adaptations to resistance exercise and training. Sports Med. 2005, 35, 339–361. [Google Scholar] [CrossRef]
- Mangine, G.T.; Stratton, M.T.; Almeda, C.G.; Roberts, M.D.; Esmat, T.A.; VanDusseldorp, T.A.; Feito, Y. Physiological Differences Between Advanced Crossfit Athletes, Recreational Crossfit Participants, and Physically-Active Adults. PLoS ONE 2020, 14, e0223548. [Google Scholar] [CrossRef]
- Leaderboard. Available online: http://games.crossfit.com/leaderboard (accessed on 1 May 2019).
- Aragon, A.A.; Schoenfeld, B.J.; Wildman, R.; Kleiner, S.; VanDusseldorp, T.; Taylor, L.; Earnest, C.P.; Arciero, P.J.; Wilborn, C.; Kalman, D.S. International society of sports nutrition position stand: Diets and body composition. J. Int. Soc. Sports Nutr. 2017, 14, 16. [Google Scholar] [CrossRef]
- Compher, C.; Frankenfield, D.; Keim, N.; Roth-Yousey, L.; Group, E.A.W. Best practice methods to apply to measurement of resting metabolic rate in adults: A systematic review. J. Am. Diet. Assoc. 2006, 106, 881–903. [Google Scholar] [CrossRef]
- Cadore, E.L.; Izquierdo, M.; Conceição, M.; Radaelli, R.; Pinto, R.S.; Baroni, B.M.; Vaz, M.A.; Alberton, C.L.; Pinto, S.S.; Cunha, G. Echo intensity is associated with skeletal muscle power and cardiovascular performance in elderly men. Exp. Gerontol. 2012, 47, 473–478. [Google Scholar] [CrossRef]
- Scanlon, T.C.; Fragala, M.S.; Stout, J.R.; Emerson, N.S.; Beyer, K.S.; Oliveira, L.P.; Hoffman, J.R. Muscle architecture and strength: Adaptations to short-term resistance training in older adults. Muscle Nerve 2014, 49, 584–592. [Google Scholar] [CrossRef]
- Young, H.J.; Jenkins, N.T.; Zhao, Q.; Mccully, K.K. Measurement of intramuscular fat by muscle echo intensity. Muscle Nerve 2015, 52, 963–971. [Google Scholar] [CrossRef]
- Wang, Z.; Deurenberg, P.; Guo, S.S.; Pietrobelli, A.; Wang, J.; Pierson, R., Jr.; Heymsfield, S.B. Six-compartment body composition model: Inter-method comparisons of total body fat measurement. Int. J. Obes. 1998, 22, 329–337. [Google Scholar] [CrossRef] [PubMed]
- Burnley, M.; Doust, J.H.; Vanhatalo, A. A 3-min all-out test to determine peak oxygen uptake and the maximal steady state. Med. Sci. Sports Exerc. 2006, 38, 1995–2003. [Google Scholar] [CrossRef] [PubMed]
- Vanhatalo, A.; Doust, J.H.; Burnley, M. Determination of critical power using a 3-min all-out cycling test. Med. Sci. Sports Exerc. 2007, 39, 548–555. [Google Scholar] [CrossRef] [PubMed]
- Marsh, A.P.; Martin, P.E. Effect of cycling experience, aerobic power, and power output on preferred and most economical cycling cadences. Med. Sci. Sports Exerc. 1997, 29, 1225–1232. [Google Scholar] [CrossRef] [PubMed]
- Bergstrom, H.C.; Housh, T.J.; Zuniga, J.M.; Traylor, D.A.; Lewis, R.W., Jr.; Camic, C.L.; Schmidt, R.J.; Johnson, G.O. Differences among estimates of critical power and anaerobic work capacity derived from five mathematical models and the three-minute all-out test. J. Strength Cond. Res. 2014, 28, 592–600. [Google Scholar] [CrossRef] [PubMed]
- Haff, G.G.; Ruben, R.P.; Lider, J.; Twine, C.; Cormie, P. A comparison of methods for determining the rate of force development during isometric midthigh clean pulls. J. Strength Cond. Res. 2015, 29, 386–395. [Google Scholar] [CrossRef]
- Hopkins, W.G.; Marshall, S.W.; Batterham, A.M.; Hanin, J. Progressive statistics for studies in sports medicine and exercise science. Med. Sci. Sports Exerc. 2009, 41, 3. [Google Scholar] [CrossRef]
- O’Connor, H.; Slater, G. Losing, gaining and making weight for athletes. Sport Exerc. Nutr. West Sussex UK Wiley-Blackwell 2011, 210–232. [Google Scholar] [CrossRef]
- Thomas, D.T.; Erdman, K.A.; Burke, L.M. Nutrition and athletic performance. Med. Sci. Sports Exerc. 2016, 48, 543–568. [Google Scholar]
- Chicharro, J.L.; Hoyos, J.; Lucía, A. Effects of endurance training on the isocapnic buffering and hypocapnic hyperventilation phases in professional cyclists. Br. J. Sports Med. 2000, 34, 450–455. [Google Scholar] [CrossRef]
- Bergstrom, H.C.; Housh, T.J.; Zuniga, J.M.; Traylor, D.A.; Camic, C.L.; Lewis, R.W., Jr.; Schmidt, R.J.; Johnson, G.O. The relationships among critical power determined from a 3-min all-out test, respiratory compensation point, gas exchange threshold, and ventilatory threshold. Res. Q. Exerc. Sport 2013, 84, 232–238. [Google Scholar] [CrossRef] [PubMed]
- Boutcher, S.H. High-intensity intermittent exercise and fat loss. J. Obes. 2010, 2011, 868305. [Google Scholar] [CrossRef] [PubMed]
- Jorgensen, K. Force-velocity relationship in human elbow flexors and extensors. Int. Ser. Biomech. 1976, 1, 145–151. [Google Scholar]
- Beckham, G.; Mizuguchi, S.; Carter, C.; Sato, K.; Ramsey, M.; Lamont, H.; Hornsby, G.; Haff, G.; Stone, M. Relationships of isometric mid-thigh pull variables to weightlifting performance. J. Sports Med. Phys. Fit. 2013, 53, 573–581. [Google Scholar]
- McGuigan, M.R.; Winchester, J.B. The relationship between isometric and dynamic strength in college football players. J. Sports Sci. Med. 2008, 7, 101–105. [Google Scholar]
- Stone, M.H.; Sanborn, K.; O’bryant, H.S.; Hartman, M.; Stone, M.E.; Proulx, C.; Ward, B.; Hruby, J. Maximum strength-power-performance relationships in collegiate throwers. J. Strength Cond. Res. 2003, 17, 739–745. [Google Scholar]
- Lieber, R.L.; Fridén, J. Functional and clinical significance of skeletal muscle architecture. Muscle Nerve Off. J. Am. Assoc. Electrodiagn. Med. 2000, 23, 1647–1666. [Google Scholar] [CrossRef]
- Stock, M.S.; Mota, J.A.; Hernandez, J.M.; Thompson, B.J. Echo intensity and muscle thickness as predictors Of athleticism and isometric strength in middle-school boys. Muscle Nerve 2017, 55, 685–692. [Google Scholar] [CrossRef] [PubMed]
- Haun, C.T.; Vann, C.G.; Roberts, B.M.; Vigotsky, A.D.; Schoenfeld, B.J.; Roberts, M.D. A critical evaluation of the biological construct skeletal muscle hypertrophy: Size matters but so does the measurement. Front. Physiol. 2019, 10, 247. [Google Scholar] [CrossRef]
- Taber, C.B.; Vigotsky, A.; Nuckols, G.; Haun, C.T. Exercise-induced myofibrillar hypertrophy is a contributory cause of gains in muscle strength. Sports Med. 2019, 49, 993–997. [Google Scholar] [CrossRef]
- Kliszczewicz, B.; Williamson, C.; Bechke, E.; McKenzie, M.; Hoffstetter, W. Autonomic response to a short and long bout of high-intensity functional training. J. Sports Sci. 2018, 36, 1872–1879. [Google Scholar] [CrossRef] [PubMed]
- Kliszczewicz, B.M.; Esco, M.R.; Quindry, J.C.; Blessing, D.L.; Oliver, G.D.; Taylor, K.J.; Price, B.M. Autonomic responses to an acute bout of high-intensity body weight resistance exercise vs. treadmill running. J. Strength Cond. Res. 2016, 30, 1050–1058. [Google Scholar] [CrossRef] [PubMed]
- Ratamess, N.; Alvar, B.; Evetoch, T.; Housh, T.; Kibler, W.; Kraemer, W. Progression models in resistance training for healthy adults [ACSM position stand]. Med. Sci. Sports Exerc. 2009, 41, 687–708. [Google Scholar]
- Reuter, B.; Dawes, J.J. Program Design and Technique for Aerobic Endurance Training. In Essentials of Strength Training and Conditioning; Haff, G., Triplett, N., Eds.; Human Kinetics: Champaign, IL, USA, 2016; pp. 559–582. [Google Scholar]


| Workout | Duration | Details | Score | Rank |
|---|---|---|---|---|
| 18.1 (repetitions) | 20-min AMRAP | 8 toes-to-bar, 10 dumbbell hang clean and jerks (50-lbs; 35-lbs), and 14-calorie row | 333 ± 70 (222–425) | 25,690 ± 44,001 (262–174,849) |
| 18.2a (seconds) | 12-min time limit | 1-2-3-4-5-6-7-8-9-10 repetitions of dumbbell squats (50-lbs; 35-lbs) and bar-facing burpees | 412 ± 130 (245–709) | 27,679 ± 39,542 (70–149,960) |
| 18.2b (kg) | 1 repetition-maximum clean | 103 ± 34 (57–160) | 22,972 ± 34,501 (3–139,015) | |
| 18.3 (repetitions) | 14-min time limit | 2 rounds of 100 double-unders, 20 overhead squats (115-lbs; 80-lbs), 100 double-unders, 12 ring muscle-ups, 100 double-unders, 20 dumbbell snatches (50-lbs; 35-lbs), 100 double-unders, and 12 bar muscle-ups | 466 ± 239 (106–833) | 25,297 ± 34,983 (74–126,714) |
| 18.4 * (repetitions·s−1) | 9-min time limit | 21-15-9 repetitions of deadlifts (225-lbs; 155-lbs) and handstand pushups followed by 21-15-9 repetitions of deadlifts (315-lbs; 205-lbs) and 50-ft handstand walk | 0.191 ± 0.083 (0.039–0.307) | 27,278 ± 37,637 (293–133,969) |
| 18.5 (repetitions) | 7-min time limit | 3-6-9-12-etc. repetitions of thrusters (100-lbs; 65-lbs) and chest-to-bar pull-ups | 116 ± 33 (52–166) | 20,899 ± 33,260 (317–132,118) |
| Mean ± SD | 18.1 | 18.2a | 18.2b | 18.3 | 18.4 | 18.5 | |
|---|---|---|---|---|---|---|---|
| Experience | |||||||
| Resistance training (y) | 12.4 ± 7.2 | 0.03 | 0.22 | 0.19 | −0.25 | −0.33 | −0.21 |
| Regular resistance training (y) | 9.8 ± 6.9 | 0.44 | −0.44 | 0.80 * | 0.41 | 0.40 | 0.54 * |
| Regular CrossFit (y) | 4.8 ± 4.3 | 0.43 | −0.37 | 0.30 | 0.43 | 0.36 | 0.37 |
| 2017 Open Rank | 15,205 ± 17,823 | −0.62 * | 0.39 | −0.30 | −0.50 * | −0.49 | −0.51 * |
| Highest previous Open rank | 11,994 ± 16,152 | −0.77 * | 0.53 * | −0.42 | −0.62 * | −0.55 * | −0.57 * |
| CrossFit Open (y) | 3.3 ± 1.7 | 0.53 * | −0.56 * | 0.29 | 0.67 * | 0.62 * | 0.54 * |
| Individual Regions (y) | 0.3 ± 0.6 | 0.50 * | −0.41 | 0.34 | 0.51 * | 0.46 | 0.50 * |
| Team Regions (y) | 0.8 ± 1.3 | 0.44 | −0.41 | 0.35 | 0.53 * | 0.68 * | 0.51 * |
| Total Regions (y) | 1.1 ± 1.6 | 0.54 * | −0.49 | 0.41 | 0.62 * | 0.72 * | 0.60 * |
| Individual Games (y) | 0.2 ± 0.8 | 0.30 | −0.22 | 0.25 | 0.26 | 0.20 | 0.25 |
| Team Games (y) | 0.6 ± 1.0 | 0.43 | −0.40 | 0.25 | 0.54 * | 0.70 * | 0.51 * |
| Total Games (y) | 0.8 ± 1.3 | 0.50 * | −0.44 | 0.33 | 0.56 * | 0.65 * | 0.54 * |
| Self-reported fitness | |||||||
| Back squat (kg) | 151 ± 41 | −0.14 | 0.20 | 0.72 * | −0.37 | −0.05 | −0.08 |
| Clean and Jerk (kg) | 107 ± 21 | 0.03 | −0.32 | 0.92 * | 0.15 | 0.42 | 0.35 |
| Snatch (kg) | 86.4 ± 17.3 | 0.09 | −0.42 | 0.97 * | 0.27 | 0.47 | 0.40 |
| Deadlift (kg) | 185 ± 38 | 0.05 | 0.15 | 0.82 * | −0.03 | −0.28 | −0.33 |
| Fran (min) | 3.8 ± 1.9 | 0.02 | 0.76 | −0.81 | −0.54 | −0.78 | −0.77 |
| Grace (min) | 1.9 ± 0.7 | −0.27 | 0.10 | −0.77 | −0.09 | −0.62 | −0.18 |
| Helen (min) | 9.0 ± 1.5 | −0.85 * | 0.67 | −0.19 | −0.57 | −0.85 * | −0.76 |
| Mean ± SD | 18.1 | 18.2a | 18.2b | 18.3 | 18.4 | 18.5 | |
|---|---|---|---|---|---|---|---|
| Height (cm) | 171 ± 12 | 0.18 | 0.07 | 0.51 * | 0.03 | −0.05 | −0.10 |
| Weight (kg) | 78.0 ± 16.2 | 0.40 | −0.07 | 0.68 * | 0.16 | 0.04 | 0.11 |
| BMI (kg·m−2) | 26.5 ± 3.4 | 0.49 | −0.25 | 0.57 * | 0.30 | 0.17 | 0.35 |
| Total body water (L) | 48.2 ± 11.5 | 0.54 * | −0.25 | 0.75 * | 0.37 | 0.23 | 0.29 |
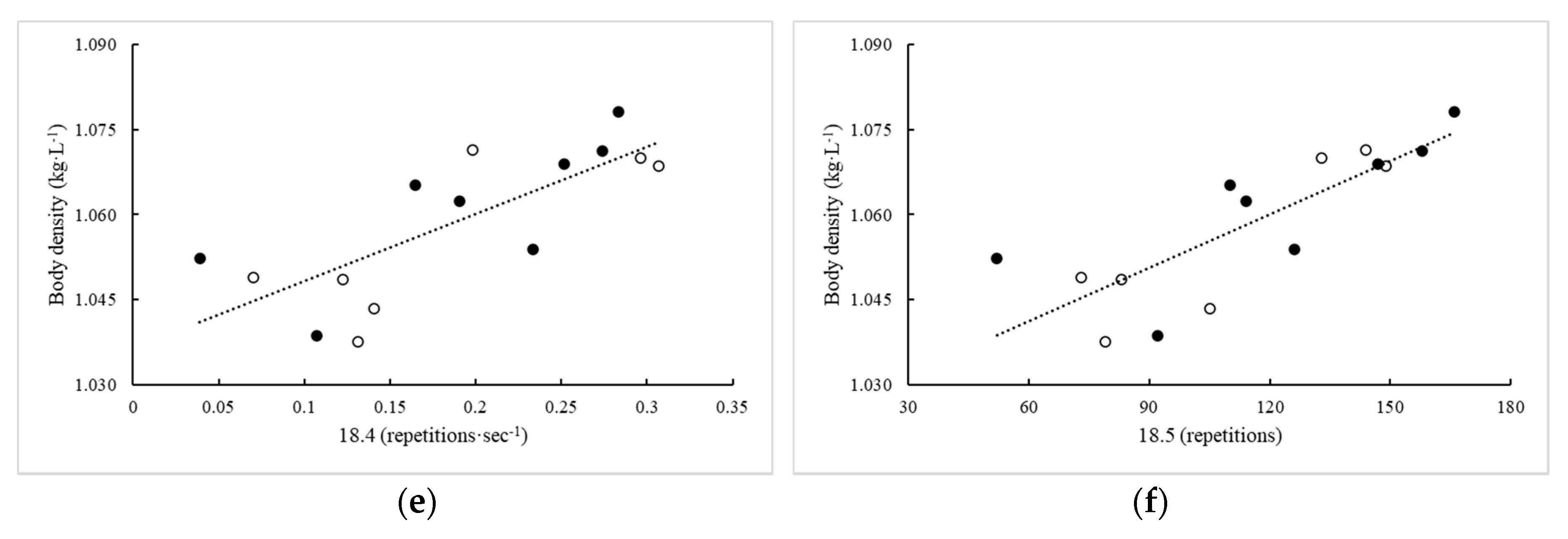
| Body density (kg·L−1) | 1.059 ± 0.013 | 0.86 * | −0.70 * | 0.60 * | 0.77 * | 0.77 * | 0.82 * |
| Bone mineral content (kg) | |||||||
| Total | 3.22 ± 0.62 | 0.53 * | −0.21 | 0.71 * | 0.35 | 0.21 | 0.29 |
| Arms | 0.492 ± 0.132 | 0.58 * | −0.28 | 0.76 * | 0.42 | 0.28 | 0.34 |
| Legs | 1.19 ± 0.28 | 0.52 * | −0.24 | 0.75 * | 0.37 | 0.24 | 0.31 |
| Trunk | 1.005 ± 0.182 | 0.49 | −0.24 | 0.73 * | 0.33 | 0.23 | 0.34 |
| Lean mass (kg) | |||||||
| Arms | 8.37 ± 2.70 | 0.61 * | −0.36 | 0.85 * | 0.44 | 0.36 | 0.42 |
| Legs | 20.8 ± 4.9 | 0.58 * | −0.29 | 0.81 * | 0.38 | 0.29 | 0.34 |
| Trunk | 29.3 ± 6.4 | 0.64 * | −0.34 | 0.81 * | 0.45 | 0.35 | 0.41 |
| 4-compartment model | |||||||
| Body fat percentage (%) | 15.8 ± 6.2 | −0.89 * | 0.74 * | −0.66 * | −0.78 * | −0.72 * | −0.81 * |
| Fat-free mass (kg) | 66.6 ± 15.8 | 0.61 * | −0.28 | 0.78 * | 0.39 | 0.28 | 0.35 |
| Fat mass (kg) | 12.1 ± 4.6 | −0.64 * | 0.71 * | −0.26 | −0.67 * | −0.70 * | −0.75 * |
| Mean ± SD | 18.1 | 18.2a | 18.2b | 18.3 | 18.4 | 18.5 | |
|---|---|---|---|---|---|---|---|
| Muscle thickness (cm) | |||||||
| Rectus femoris | 2.73 ± 0.49 | 0.41 | −0.37 | 0.78 * | 0.32 | 0.32 | 0.32 |
| Vastus medialis | 3.78 ± 0.85 | 0.44 | −0.36 | 0.82 * | 0.33 | 0.34 | 0.34 |
| Vastus lateralis | 1.96 ± 0.48 | 0.57 * | −0.58 * | 0.76 * | 0.54 * | 0.56 * | 0.54 * |
| Biceps brachii | 3.49 ± 0.85 | 0.50 | −0.26 | 0.70 * | 0.29 | 0.27 | 0.32 |
| Triceps brachii | 2.73 ± 0.61 | 0.27 | −0.24 | 0.47 | 0.18 | 0.25 | 0.29 |
| Cross-sectional area (cm2) | |||||||
| Rectus femoris | 13.2 ± 4.3 | 0.46 | −0.26 | 0.78 * | 0.30 | 0.28 | 0.31 |
| Vastus medialis | 24.7 ± 6.9 | 0.53 * | −0.37 | 0.81 * | 0.37 | 0.45 | 0.40 |
| Vastus lateralis | 34.3 ± 8.8 | 0.56 * | −0.45 | 0.95 * | 0.48 | 0.43 | 0.49 |
| Biceps brachii | 12.1 ± 6.3 | 0.36 | −0.23 | 0.67 * | 0.17 | 0.16 | 0.24 |
| Triceps brachii | 13.1 ± 5.8 | 0.53 * | −0.28 | 0.71 * | 0.30 | 0.25 | 0.34 |
| Corrected echo intensity (au) | |||||||
| Rectus femoris | 125 ± 36 | −0.44 | 0.18 | −0.50 | −0.32 | −0.19 | −0.23 |
| Vastus medialis | 117 ± 29 | −0.49 | 0.21 | −0.39 | −0.38 | −0.23 | −0.23 |
| Vastus lateralis | 125 ± 36 | −0.43 | 0.22 | −0.46 | −0.39 | −0.23 | −0.25 |
| Biceps brachii | 137 ± 34 | −0.23 | −0.01 | −0.15 | −0.13 | 0.02 | 0.01 |
| Triceps brachii | 99 ± 36 | −0.48 | 0.25 | −0.44 | −0.40 | −0.23 | −0.29 |
| Mean ± SD | 18.1 | 18.2a | 18.2b | 18.3 | 18.4 | 18.5 | |
|---|---|---|---|---|---|---|---|
| Graded exercise test | |||||||
| HRPeak (bpm) | 174 ± 13 | −0.11 | −0.06 | 0.02 | 0.12 | 0.10 | 0.11 |
| HRRecovery (bpm) | 159 ± 15 | −0.36 | 0.20 | −0.23 | −0.26 | −0.25 | −0.21 |
| HRRecovery (% of HRPeak) | −10.2 ± 4.9 | −0.67 * | 0.53 | −0.66 * | −0.61 * | −0.60 * | −0.58 * |
| VO2Peak (mL·kg−1·min−1) | 48.0 ± 7.2 | 0.64 * | −0.69 * | 0.54 * | 0.70 * | 0.55 * | 0.71 * |
| RCT (mL·kg−1·min−1) | 34.7 ± 4.9 | 0.57 * | −0.69 * | 0.37 | 0.65 * | 0.41 | 0.65 * |
| RCT (% of VO2Peak) | 72.6 ± 6.7 | −0.14 | 0.02 | −0.19 | −0.12 | −0.24 | −0.11 |
| GET (mL·kg−1·min−1) | 26.4 ± 4.2 | 0.47 | −0.56 * | 0.25 | 0.52 * | 0.34 | 0.48 |
| GET (% of VO2Peak) | 55.6 ± 9.0 | −0.09 | 0.03 | −0.12 | −0.09 | −0.12 | −0.10 |
| 3-min maximal cycling sprint | |||||||
| Anaerobic work capacity (kJ) | 37.8 ± 17.1 | 0.48 | −0.33 | 0.81 * | 0.43 | 0.41 | 0.47 |
| Peak power (W) | 1269 ± 575 | 0.52 | −0.36 | 0.77 * | 0.42 | 0.38 | 0.42 |
| Critical power (W) | 251 ± 67 | 0.68 * | −0.51 | 0.66 * | 0.62 * | 0.45 | 0.50 |
| Isometric mid-thigh pull strength | |||||||
| Peak Force (N) | 1746 ± 473 | 0.56 * | −0.36 | 0.80 * | 0.38 | 0.27 | 0.39 |
| Relative Peak Force (N·kg−1) | 2.35 ± 0.34 | 0.43 | −0.49 | 0.45 | 0.34 | 0.32 | 0.47 |
| RFDPeak (N·sec−1) | 1036 ± 606 | 0.55 * | −0.44 | 0.85 * | 0.50 | 0.47 | 0.54 * |
| Relative RFDPeak (N·sec−1·kg−1) | 1.34 ± 0.63 | 0.54 * | −0.50 | 0.78 * | 0.54 * | 0.56 * | 0.61 * |
| RFDAVG (N·sec−1) | 1568 ± 1728 | 0.40 | −0.34 | 0.58 * | 0.36 | 0.34 | 0.48 |
| RFD at 30 ms (N·sec−1) | 5452 ± 6279 | 0.34 | −0.21 | 0.63 * | 0.20 | 0.24 | 0.26 |
| RFD at 50 ms (N·sec−1) | 5973 ± 5811 | 0.41 | −0.23 | 0.70 * | 0.26 | 0.27 | 0.31 |
| RFD at 90 ms (N·sec−1) | 5874 ± 4266 | 0.49 | −0.25 | 0.76 * | 0.34 | 0.31 | 0.38 |
| RFD at 100 ms (N·sec−1) | 5763 ± 3884 | 0.50 | −0.26 | 0.78 * | 0.36 | 0.32 | 0.39 |
| RFD at 150 ms (N·sec−1) | 5415 ± 2717 | 0.56 * | −0.41 | 0.87 * | 0.45 | 0.43 | 0.47 |
| RFD at 200 ms (N·sec−1) | 5304 ± 2441 | 0.62 * | −0.43 | 0.82 * | 0.46 | 0.43 | 0.45 |
| RFD at 250 ms (N·sec−1) | 4947 ± 2096 | 0.64 * | −0.38 | 0.80 * | 0.43 | 0.38 | 0.44 |
© 2020 by the authors. Licensee MDPI, Basel, Switzerland. This article is an open access article distributed under the terms and conditions of the Creative Commons Attribution (CC BY) license (http://creativecommons.org/licenses/by/4.0/).
Share and Cite
Mangine, G.T.; Tankersley, J.E.; McDougle, J.M.; Velazquez, N.; Roberts, M.D.; Esmat, T.A.; VanDusseldorp, T.A.; Feito, Y. Predictors of CrossFit Open Performance. Sports 2020, 8, 102. https://doi.org/10.3390/sports8070102
Mangine GT, Tankersley JE, McDougle JM, Velazquez N, Roberts MD, Esmat TA, VanDusseldorp TA, Feito Y. Predictors of CrossFit Open Performance. Sports. 2020; 8(7):102. https://doi.org/10.3390/sports8070102
Chicago/Turabian StyleMangine, Gerald T., Joy E. Tankersley, Jacob M. McDougle, Nathanael Velazquez, Michael D. Roberts, Tiffany A. Esmat, Trisha A. VanDusseldorp, and Yuri Feito. 2020. "Predictors of CrossFit Open Performance" Sports 8, no. 7: 102. https://doi.org/10.3390/sports8070102
APA StyleMangine, G. T., Tankersley, J. E., McDougle, J. M., Velazquez, N., Roberts, M. D., Esmat, T. A., VanDusseldorp, T. A., & Feito, Y. (2020). Predictors of CrossFit Open Performance. Sports, 8(7), 102. https://doi.org/10.3390/sports8070102

