Training Characteristics and Power Profile of Professional U23 Cyclists throughout a Competitive Season
Abstract
1. Introduction
2. Materials & Methods
2.1. Participants
2.2. Design
2.3. Methodology
2.3.1. Laboratory Testing
2.3.2. CP Test Protocol
2.3.3. Power Output
2.3.4. Training Characteristics
2.3.5. Data Analysis
2.3.6. Statistical Analyses
3. Results
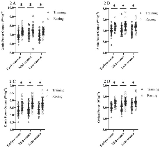
3.1. Power Profile
3.2. Training Characteristics
3.3. Relationship between Changes in Training Characteristics and Changes in Power Profile
4. Discussion
Author Contributions
Funding
Acknowledgments
Conflicts of Interest
References
- Sanders, D.; Heijboer, M. Physical demands and power profile of different stage types within a cycling grand tour. Eur. J. Sport Sci. 2019, 19, 736–744. [Google Scholar] [CrossRef] [PubMed]
- Quod, M.J.; Martin, D.T.; Martin, J.C.; Laursen, P.B. The power profile predicts road cycling MMP. Int. J. Sports Med. 2010, 31, 397–401. [Google Scholar] [CrossRef] [PubMed]
- Pinot, J.; Grappe, F. The record power profile to assess performance in elite cyclists. Int. J. Sports Med. 2011, 32, 839–844. [Google Scholar] [CrossRef] [PubMed]
- van Erp, T.; Hoozemans, M.; Foster, C.; de Koning, J.J. The Influence of Exercise Intensity on the Association between Kilojoules Spent and Various Training Loads in Professional Cycling. Int. J. Sports Physiol. Perform. 2019, 14, 1395–1400. [Google Scholar] [CrossRef] [PubMed]
- Sanders, D.; van Erp, T.; de Koning, J.J. Intensity and load characteristics of professional road cycling: Differences between men’s and women’s races. Int. J. Sports Physiol. Perform. 2019, 14, 296–302. [Google Scholar] [CrossRef]
- Passfield, L.; Hopker, J.G.; Jobson, S.; Friel, D.; Zabala, M. Knowledge is power: Issues of measuring training and performance in cycling. J. Sports Sci. 2017, 35, 1426–1434. [Google Scholar] [CrossRef]
- van Erp, T.; Foster, C.; de Koning, J.J. Relationship between various training-load measures in elite cyclists during training, road races, and time trials. Int. J. Sports Physiol. Perform. 2019, 14, 493–500. [Google Scholar] [CrossRef]
- van Erp, T.; Sanders, D.; de Koning, J.J. Training characteristics of male and female professional road cyclists: A 4-year retrospective analysis. Int. J. Sports Physiol. Perform. 2019, 15, 534–540. [Google Scholar] [CrossRef]
- Metcalfe, A.J.; Menaspa, P.; Villerius, V.; Quod, M.; Peiffer, J.J.; Govus, A.D.; Abbiss, C.R. Within-season distribution of external training and racing workload in professional male road cyclists. Int. J. Sports Physiol. Perform. 2017, 12, S2142–S2146. [Google Scholar] [CrossRef]
- Wahl, P.; Schütt, S.; Volmary, P. Power Profiling als leistungsdiagnostisches Toolim Radsport–Identifizierung leistungsrelevanter physiologischer Zubringergrößen. In BISp Jahrbuch Forschungsförderung 2016/17; SPORTVERLAG Strauß: Hellenthal, Germany, 2018; pp. 63–69. [Google Scholar]
- Leo, P.; Spragg, J.; Mujika, I.; Menz, V.; Lawley, J.S. Power profiling in U23 professional cyclists during a competitive season. Int. J. Sports Physiol. Perform. 2020, in press. [Google Scholar]
- Leo, P.; Spragg, J.; Mujika, I.; Giorgi, A.; Lorang, D.; Simon, D.; Lawley, J.S. Power profiling, workload characteristics and race performance of U23 and professional cyclists during the multistage race Tour of the Alps. Int. J. Sports Physiol. Perform. 2020, in press. [Google Scholar]
- Padilla, S.; Mujika, I.; Orbananos, J.; Santisteban, J.; Angulo, F.; Jose Goiriena, J. Exercise intensity and load during mass-start stage races in professional road cycling. Med. Sci. Sports Exerc. 2001, 33, 796–802. [Google Scholar] [CrossRef] [PubMed]
- van Erp, T.; Sanders, D. Demands of Professional Cycling Races: Influence of Race Category and Result. Eur J. Sport Sci. 2020. ahead of print. [Google Scholar] [CrossRef] [PubMed]
- Saw, A.; Halson, S.; Mujika, I. Monitoring athletes during training camps: Observations and translatable strategies from elite road cyclists and swimmers. Sports 2018, 6, 63. [Google Scholar] [CrossRef] [PubMed]
- Sanders, D.; Heijboer, M.; Hesselink, M.K.C.; Myers, T.; Akubat, I. Analysing a cycling grand tour: Can we monitor fatigue with intensity or load ratios? J. Sports Sci. 2018, 36, 1385–1391. [Google Scholar] [CrossRef]
- Stoggl, T.L.; Sperlich, B. The training intensity distribution among well-trained and elite endurance athletes. Front. Physiol. 2015, 6, 295. [Google Scholar] [CrossRef]
- Zapico, A.; Calderon, F.; Benito, P.; Gonzalez, C.; Paris, A.; Pigozzp, F.; Salvo, V.D. Evolution of physiological and haematological parameters with training load in elite male road cyclists: A longitudinal study. J. Sports Med. Phys. 2007, 47, 191–196. [Google Scholar]
- Seiler, S. What is best practice for training intensity and duration distribution in endurance athletes? Int. J. Sports Physiol. Perform. 2010, 5, 276–291. [Google Scholar] [CrossRef]
- Giorgi, A.; Vicini, M.; Pollastri, L.; Lombardi, E.; Magni, E.; Andreazzoli, A.; Orsini, M.; Bonifazi, M.; Lukaski, H.; Gatterer, H. Bioimpedance patterns and bioelectrical impedance vector analysis (BIVA) of road cyclists. J. Sports Sci. 2018, 36, 2608–2613. [Google Scholar] [CrossRef]
- Wasserman, K.; Hansen, J.E.; Sue, D.Y.; Stringer, W.W.; Whipp, B.J. Principles of exercise testing and interpretation: Including pathophysiology and clinical applications. Med. Sci. Sports Exerc. 2005, 37, 1249. [Google Scholar]
- Kuipers, H.; Verstappen, F.T.; Keizer, H.A.; Geurten, P.; van Kranenburg, G. Variability of aerobic performance in the laboratory and its physiologic correlates. Int. J. Sports Med. 1985, 6, 197–201. [Google Scholar] [CrossRef] [PubMed]
- Wooles, A.; Robinson, A.; Keen, P. A static method for obtaining a calibration factor for SRM bicycle power cranks. Sports Eng. 2005, 8, 137–144. [Google Scholar] [CrossRef]
- Edwards, S. The Heart Rate Monitor Book; Polar Electro Oy: New York, NY, USA, 1993. [Google Scholar]
- Norman, G. Likert scales, levels of measurement and the “laws” of statistics. Adv. Health Sci. Educ. Theory Pract. 2010, 15, 625–632. [Google Scholar] [CrossRef]
- Laursen, P.; Buchheit, M. Science and Application of High-Intensity Interval Training: Solutions to the Programming Puzzle; Human Kinetics: Champaign, IL, USA, 2019. [Google Scholar]
- Seiler, S.; Sylta, Ø. How does interval-training prescription affect physiological and perceptual responses? Int. J. Sports Physiol. Perform. 2017, 12, S2–S80. [Google Scholar] [CrossRef] [PubMed]
- Karsten, B.; Jobson, S.A.; Hopker, J.; Jimenez, A.; Beedie, C. High agreement between laboratory and field estimates of critical power in cycling. Int. J. Sports Med. 2014, 35, 298–303. [Google Scholar] [CrossRef] [PubMed]
- Pinot, J.; Grappe, F. A six-year monitoring case study of a top-10 cycling grand tour finisher. J. Sports Sci. 2015, 33, 907–914. [Google Scholar] [CrossRef] [PubMed]
- Miura, A.; Sato, H.; Sato, H.; Whipp, B.J.; Fukuba, Y. The effect of glycogen depletion on the curvature constant parameter of the power-duration curve for cycle ergometry. Ergonomics 2000, 43, 133–141. [Google Scholar] [CrossRef]
- Hill, D.; Smith, J. A method to ensure the accuracy of estimates of anaerobic capacity derived using the critical power concept. J. Sports Med. Phys. Fit. 1994, 34, 23–37. [Google Scholar]
- van Erp, T.; Hoozemans, M.; Foster, C.; de Koning, J.J. Case report: Load, intensity, and performance characteristics in multiple grand tours. Med. Sci. Sports Exerc. 2020, 52, 868–875. [Google Scholar] [CrossRef]
- Rodríguez-Marroyo, J.A.; Villa, J.G.; Pernía, R.; Foster, C. Decrement in professional cyclists’ performance after a grand tour. Int. J. Sports Physiol. Perform. 2017, 12, 1348–1355. [Google Scholar] [CrossRef]
- Plews, D.; Laursen, P.; Kilding, A.; Buchheit, M. Evaluating Training Adaptation with Heart-Rate Measures: A Methodological Comparison. Int. J. Sports Physiol. Perform. 2013, 8, 688–691. [Google Scholar] [CrossRef] [PubMed]
- Achten, J.; Jeukendrup, A.E. Heart rate monitoring: Applications and limitations. Sports Med. 2003, 33, 517–538. [Google Scholar] [CrossRef] [PubMed]
- Hickson, R.C.; Rosenkoetter, M.A. Reduced training frequencies and maintenance of increased aerobic power. Med. Sci. Sports Exerc. 1981, 13, 13–16. [Google Scholar] [CrossRef] [PubMed]
- Rosenblat, M.A.; Perrotta, A.S.; Vicenzino, B. Polarized vs. Threshold Training Intensity Distribution on Endurance Sport Performance: A Systematic Review and Meta-Analysis of Randomized Controlled Trials. J. Strength Cond. Res. 2019, 33, 3491–3500. [Google Scholar] [CrossRef]
- Scantlebury, S.; Till, K.; Sawczuk, T.; Weakley, J.; Jones, B. Understanding the relationship between coach and athlete perceptions of training intensity in youth sport. J. Strength Cond. Res. 2018, 32, 3239–3245. [Google Scholar] [CrossRef]
- Brink, M.S.; Frencken, W.G.; Jordet, G.; Lemmink, K.A. Coaches’ and players’ perceptions of training dose: Not a perfect match. Int. J. Sports Physiol. Perform. 2014, 9, 497–502. [Google Scholar] [CrossRef]
- Seiler, S.; Haugen, O.; Kuffel, E. Autonomic Recovery after Exercise in Trained Athletes. Med. Sci. Sports Exerc. 2007, 39, 1366–1373. [Google Scholar] [CrossRef]
- Ouvrard, T.; Groslambert, A.; Ravier, G.; Grospretre, S.; Gimenez, P.; Grappe, F. Mechanisms of performance improvements due to a leading teammate during uphill cycling. Int. J. Sports Physiol. Perform. 2018, 13, 1215–1222. [Google Scholar] [CrossRef]
- Spiering, B.; Mujika, I.; Sharp, S.; Foulis, A. Maintaining physical performance: The minimum dose of exercise needed to preserve endurance and strength over time. J. Strength Cond. Res. 2020, in press. [Google Scholar]




| Variables | Absolute Values | Relative Values |
|---|---|---|
| Pmax | 458 ± 38 [W] | 6.6 ± 0.4 [W⋅kg−1] |
| O2max | 5076 ± 424 [mL⋅min−1] | 73.7 ± 2.5 [mL⋅kg−1⋅min−1] |
| VT1 | 256 ± 22 [W] | 3.8 ± 0.3 [W⋅kg−1] |
| VT2 | 367 ± 38 [W] | 5.3 ± 0.5 [W⋅kg−1] |
| CP | 382 ± 33 [W] | 5.5 ± 0.4 [W⋅kg−1] |
| W′ | 17.8 ± 3.6 [kJ] | n/a |
| Variables | Pre-Season | Early-Season | Mid-Season | Late-Season |
|---|---|---|---|---|
| Hours (h) | 167 ± 46 | 202 ± 28 * | 219 ± 26 *,# | 150 ± 36 *,#,† |
| Total Work (kJ) | 90.507 ± 45.622 | 132.825 ± 36.738 * | 147.983 ± 33.497 * | 97.539 ± 35.832 #,† |
| Work⋅h−1(kJ⋅h−1) | 529 ± 182 | 658 ± 143 * | 674 ± 119 * | 642 ± 142 * |
| eTRIMP (A.U.) | 31.477 ± 9.543 | 37.356 ± 6.416 * | 39.036 ± 8.007 *,# | 25.325 ± 7.960 *,# |
| eTRIMP⋅h−1(A.U.⋅h−1) | 192 ± 33 | 186 ± 28 * | 178 ± 31 | 168 ± 33 *,# |
| Time<VT1 (h) | 29.2 ± 11.7 | 39.4 ± 19.1 * | 41.8 ± 16.4 | 29.2 ± 15.8 *,#,† |
| TimeVT1-2 (h) | 104.5 ± 36.0 | 124.7 ± 21.0 * | 125.4 ± 27.0 * | 76.2 ± 29.4 *,#,† |
| Time>VT2 (h) | 15.3 ± 8.0 | 18.9 ± 5.2 * | 20.4 ± 6.6 * | 12.0 ± 5.6 * |
| Race Days | n/a | 13 ± 5 # | 20 ± 6 | 14 ± 7 # |
Publisher’s Note: MDPI stays neutral with regard to jurisdictional claims in published maps and institutional affiliations. |
© 2020 by the authors. Licensee MDPI, Basel, Switzerland. This article is an open access article distributed under the terms and conditions of the Creative Commons Attribution (CC BY) license (http://creativecommons.org/licenses/by/4.0/).
Share and Cite
Leo, P.; Spragg, J.; Simon, D.; Lawley, J.S.; Mujika, I. Training Characteristics and Power Profile of Professional U23 Cyclists throughout a Competitive Season. Sports 2020, 8, 167. https://doi.org/10.3390/sports8120167
Leo P, Spragg J, Simon D, Lawley JS, Mujika I. Training Characteristics and Power Profile of Professional U23 Cyclists throughout a Competitive Season. Sports. 2020; 8(12):167. https://doi.org/10.3390/sports8120167
Chicago/Turabian StyleLeo, Peter, James Spragg, Dieter Simon, Justin S. Lawley, and Iñigo Mujika. 2020. "Training Characteristics and Power Profile of Professional U23 Cyclists throughout a Competitive Season" Sports 8, no. 12: 167. https://doi.org/10.3390/sports8120167
APA StyleLeo, P., Spragg, J., Simon, D., Lawley, J. S., & Mujika, I. (2020). Training Characteristics and Power Profile of Professional U23 Cyclists throughout a Competitive Season. Sports, 8(12), 167. https://doi.org/10.3390/sports8120167

