Validity and Reliability of Kinematics Measured with PUSH Band vs. Linear Encoder in Bench Press and Push-Ups
Abstract
1. Introduction
2. Materials and Methods
2.1. Subjects
2.2. Procedures
2.3. Measurements
2.4. Statistical Analyses
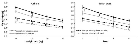
3. Results
4. Discussion
5. Conclusions
Author Contributions
Funding
Acknowledgments
Conflicts of Interest
References
- Folland, J.P.; Williams, A.G. The adaptations to strength training: Morphological and neurological contributions to increased strength. Sports Med. 2007, 37, 145–168. [Google Scholar] [CrossRef] [PubMed]
- Balsalobre-Fernández, C.; Kuzdub, M.; Poveda-Ortiz, P.; Del Campo-Vecino, J. Validity and Reliability of the PUSH Wearable Device to Measure Movement Velocity During the Back Squat Exercise. J. Strength Cond. Res. 2016, 30, 1968–1974. [Google Scholar] [CrossRef] [PubMed]
- Williams, T.D.; Tolusso, D.V.; Fedewa, M.V.; Esco, M.R. Comparison of Periodized and Non-Periodized Resistance Training on Maximal Strength: A Meta-Analysis. Sports Med. 2017, 36, 674–2100. [Google Scholar] [CrossRef] [PubMed]
- González-Badillo, J.J.; Rodriguez-Rosell, D.; Sánchez-Medina, L.; Gorostiaga, E.M.; Pareja-Blanco, F. Maximal intended velocity training induces greater gains in bench press performance than deliberately slower half-velocity training. Eur. J. Sport Sci. 2014, 14, 772–781. [Google Scholar] [CrossRef] [PubMed]
- Hatfield, D.L.; Kraemer, W.J.; Spiering, B.A.; Häkkinen, K.; Volek, J.S.; Shimano, T.; Spreuwenberg, L.P.; Silvestre, R.; Vingren, J.L.; Fragala, M.S.; et al. THE IMPACT OF VELOCITY OF MOVEMENT ON PERFORMANCE FACTORS IN RESISTANCE EXERCISE. J. Strength Cond. Res. 2006, 20, 760–766. [Google Scholar] [PubMed]
- Sanchez-Medina, L.; Gonzalez-Badillo, J.J.; Perez, C.E.; Pallares, J.G. Velocity- and power-load relationships of the bench pull vs. bench press exercises. Int. J. Sports Med. 2014, 35, 209–216. [Google Scholar] [CrossRef] [PubMed]
- González-Badillo, J.J.; Marques, M.C.; Sánchez-Medina, L. The Importance of Movement Velocity as a Measure to Control Resistance Training Intensity. J. Hum. Kinet. 2011, 29, 15–19. [Google Scholar] [CrossRef]
- García-Ramos, A.; Pestaña-Melero, F.L.; Pérez-Castilla, A.; Rojas, F.J.; Haff, G.G. Differences in the Load–Velocity Profile Between 4 Bench-Press Variants. Int. J. Sports Physiol. Perform. 2018, 13, 326–331. [Google Scholar] [CrossRef]
- Banyard, H.G.; Nosaka, K.; Haff, G.G. Reliability and Validity of the Load–Velocity Relationship to Predict the 1 RM Back Squat. J. Strength Cond. Res. 2017, 31, 1897–1904. [Google Scholar] [CrossRef]
- Bazuelo-Ruiz, B.; Padial, P.; Ramos, A.G.; Morales-Artacho, A.J.; Miranda, M.T.; Feriche, B. Predicting Maximal Dynamic Strength From the Load-Velocity Relationship in Squat Exercise. J. Strength Cond. Res. 2015, 29, 1999–2005. [Google Scholar] [CrossRef]
- González-Badillo, J.J.; Sánchez-Medina, L. Movement Velocity as a Measure of Loading Intensity in Resistance Training. Int. J. Sports Med. 2010, 31, 347–352. [Google Scholar] [CrossRef] [PubMed]
- Sayers, M.G.L.; Schlaeppi, M.; Hitz, M.; Lorenzetti, S. The impact of test loads on the accuracy of 1 RM prediction using the load-velocity relationship. BMC Sports Sci. Med. Rehabilitation 2018, 10, 9. [Google Scholar] [CrossRef] [PubMed]
- Jidovtseff, B.; Harris, N.K.; Crielaard, J.-M.; Cronin, J.B. Using the load-velocity relationship for 1 RM prediction. J. Strength Cond. Res. 2011, 25, 267–270. [Google Scholar] [CrossRef] [PubMed]
- Cormie, P.; McBride, J.M.; McCaulley, G.O. Validation of power measurement techniques in dynamic lower body resistance exercises. J. Appl. Biomech. 2007, 23, 103–118. [Google Scholar] [CrossRef] [PubMed]
- Bosquet, L.; Porta-Benache, J.; Blais, J. Validity of a Commercial Linear Encoder to Estimate Bench Press 1 RM from the Force-Velocity Relationship. J. sports Sci. Med. 2010, 9, 459–463. [Google Scholar] [PubMed]
- Lorenzetti, S.; Lamparter, T.; Lüthy, F. Validity and reliability of simple measurement device to assess the velocity of the barbell during squats. BMC Res. Notes 2017, 10, 707. [Google Scholar] [CrossRef] [PubMed]
- McGrath, G.A.; Flanagan, E.P.; O’Donovan, P.; Collins, D.J.; Kenny, I.C. Velocity based training: Valirity of monitoring devices to assess mean concentric velocity in the bench press exercise. J. Austr. Strength Cond. 2018, 26, 23–30. [Google Scholar]
- Orange, S.T.; Metcalfe, J.W.; Liefeith, A.; Marshall, P.; Madden, L.A.; Fewster, C.R.; Vince, R.V. Validity and Reliability of a Wearable Inertial Sensor to Measure Velocity and Power in the Back Squat and Bench Press. J. Strength Cond. Res. 2018, 33, 2398–2408. [Google Scholar] [CrossRef]
- Pérez-Castilla, A.; Piepoli, A.; Delgado-García, G.; Garrido-Blanca, G.; García-Ramos, A. Reliability and Concurrent Validity of Seven Commercially Available Devices for the Assessment of Movement Velocity at Different Intensities During the Bench Press. J. Strength Cond. Res. 2019, 33, 1258–1265. [Google Scholar] [CrossRef]
- Van den Tillaar, R. Comparison of kinematics and muscle activation between push-up and bench press. Sports Med. Int. Open 2019, 30, 945–952. [Google Scholar]
- Hopkins, W.G.; Marshall, S.W.; Batterham, A.M.; Hanin, J. Progressive Statistics for Studies in Sports Medicine and Exercise Science. Med. Sci. Sports Exerc. 2009, 41, 3–13. [Google Scholar] [CrossRef] [PubMed]
- Cormack, S.J.; Newton, R.U.; McGuigan, M.R.; Doyle, T.L. Reliability of measures obtained during single and repeated countermovement jumps. Int. J. Sports Physiol. Perform. 2008, 3, 131–144. [Google Scholar] [CrossRef] [PubMed]
- Cohen, J. Statistical Power Analysis for the Behavioral Sciences, 2nd ed.; Lawrence Erlbaum Associates: Hillsdale, NJ, USA, 1988. [Google Scholar]
- Sato, K.; Beckham, G.K.; Carroll, K.; Bazyler, C.; Sha, Z. Validity of wireless device measuring velocity of resistance exercises. J. Trainology 2015, 4, 15–18. [Google Scholar] [CrossRef]
- Saeterbakken, A.; Van den Tillaar, R.; Fimland, M. A comparison of muscle activity and 1-RM strength of three chest-press exercises with different stbility requirements. J. Sports Sci. 2011, 29, 533–538. [Google Scholar] [CrossRef] [PubMed]
- Tillaar, R.V.D.; Ettema, G. A Comparison of Successful and Unsuccessful Attempts in Maximal Bench Pressing. Med. Sci. Sports Exerc. 2009, 41, 2056–2063. [Google Scholar] [CrossRef] [PubMed]





| Variable | ICC | CI | CV | R |
|---|---|---|---|---|
| Push-Up | ||||
| Linear encoder | ||||
| Peak velocity | 0.98 | 0.97–0.99 | 7.3 ± 3.0% | 0.95 |
| Mean velocity | 0.98 | 0.97–0.99 | 5.9 ± 1.7% | 0.95 |
| PUSH band | ||||
| Peak velocity | 0.98 | 0.97–0.99 | 6.6 ± 1.3% | 0.94 |
| Mean velocity | 0.98 | 0.97–0.99 | 6.6 ± 1.3% | 0.95 |
| Bench Press | ||||
| Linear encoder | ||||
| Peak velocity | 0.98 | 0.98–0.99 | 6.9 ± 2.0% | 0.96 |
| Mean velocity | 0.98 | 0.97–0.99 | 6.6±2.4% | 0.96 |
| PUSH band | ||||
| Peak velocity | 0.92 | 0.89–0.95 | 13.3 ± 2.3% | 0.81 |
| Mean velocity | 0.95 | 0.93–9.97 | 12.8 ± 2.4% | 0.87 |
© 2019 by the authors. Licensee MDPI, Basel, Switzerland. This article is an open access article distributed under the terms and conditions of the Creative Commons Attribution (CC BY) license (http://creativecommons.org/licenses/by/4.0/).
Share and Cite
van den Tillaar, R.; Ball, N. Validity and Reliability of Kinematics Measured with PUSH Band vs. Linear Encoder in Bench Press and Push-Ups. Sports 2019, 7, 207. https://doi.org/10.3390/sports7090207
van den Tillaar R, Ball N. Validity and Reliability of Kinematics Measured with PUSH Band vs. Linear Encoder in Bench Press and Push-Ups. Sports. 2019; 7(9):207. https://doi.org/10.3390/sports7090207
Chicago/Turabian Stylevan den Tillaar, Roland, and Nick Ball. 2019. "Validity and Reliability of Kinematics Measured with PUSH Band vs. Linear Encoder in Bench Press and Push-Ups" Sports 7, no. 9: 207. https://doi.org/10.3390/sports7090207
APA Stylevan den Tillaar, R., & Ball, N. (2019). Validity and Reliability of Kinematics Measured with PUSH Band vs. Linear Encoder in Bench Press and Push-Ups. Sports, 7(9), 207. https://doi.org/10.3390/sports7090207
