The Impact of a Ballet and Modern Dance Performance on Heart Rate Variability in Collegiate Dancers
Abstract
1. Introduction
2. Materials and Methods
2.1. Participants
2.2. Procedures
2.3. Descriptive Variables
2.4. Analysis
3. Results
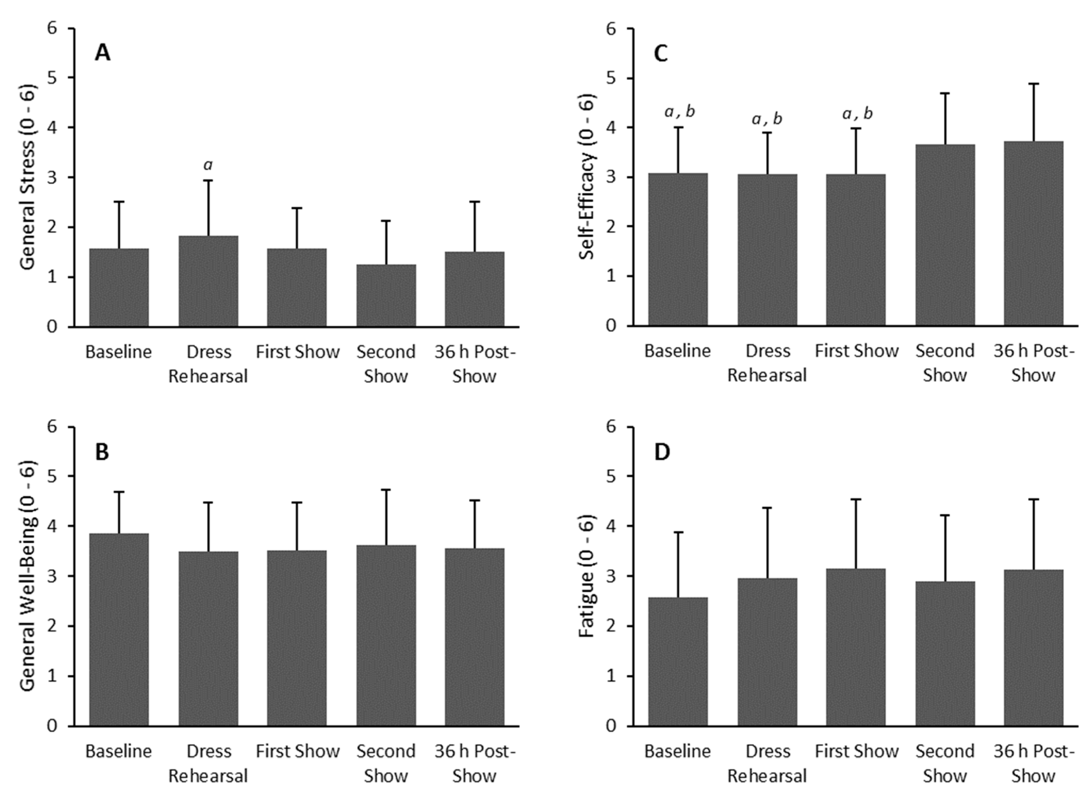
3.1. Heart Rate Variability
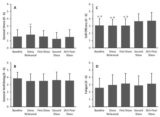
3.2. Rest-Q Sport
3.3. Dance and Academic Exposure
4. Discussion
4.1. Arousal versus anxiety
4.2. Dancers as Athletes
4.3. Limitations
5. Conclusions
Author Contributions
Funding
Conflicts of Interest
References
- Angioi, M.; Metsios, G.; Koutedakis, Y.; Wyon, M. Fitness in contemporary dance: A systematic review. Int. J. Sports Med. 2009, 30, 475–484. [Google Scholar] [CrossRef] [PubMed]
- Schantz, P.G.; Astrand, P.O. Physiological characteristics of classical ballet. Med. Sci. Sports Exerc. 1984, 16, 472–476. [Google Scholar] [CrossRef] [PubMed]
- Kerr, J.H.; Kawaguchi, C.; Oiwa, M.; Terayama, Y.; Zukawa, A. Stress, anxiety and other emotions in Japanese modern dance performance. S. Pac. J. Psychol. 1999, 11, 16–33. [Google Scholar] [CrossRef]
- Rimmer, J.H.; Jay, D.; Plowman, S.A. Physiological characteristics of trained dancers and intensity level of ballet class and rehearsal. Impulse 1994, 2, 97–105. [Google Scholar]
- Wyon, M.; Head, A.; Sharp, C.; Redding, E. The cardiorespiratory responses to modern dance classes. J. Dance Med. Sci. 2003, 6, 41–45. [Google Scholar]
- Wyon, M.; Redding, E. Physiological monitoring of cardiorespiratory adaptations during rehearsal and performance of contemporary dance. J. Strength Cond. Res. 2005, 19, 30–34. [Google Scholar] [CrossRef]
- Iellamo, F.; Pigozzi, F.; Di Salvo, V.; Vago, T.; Norbiato, G.; Lucini, D.; Pagani, M. The stress of competition dissociates neural and cortisol homeostasis in elite athletes. J. Sports Med. Phys. Fit. 2003, 43, 539–545. [Google Scholar]
- Males, J.R.; Kerr, J.H. Stress, emotion and performance in elite slalom canoeists. Sport Psychol. 1996, 10, 17–37. [Google Scholar] [CrossRef]
- Koutedakis, Y.; Jamurtas, A. The Dancer as a Performing Athlete: Physiological Considerations. Sports Med. 2004, 34, 651–661. [Google Scholar] [CrossRef]
- Stanley, J.; Peake, J.M.; Buchheit, M. Cardiac parasympathetic reactivation following exercise: Implications for training prescription. Sports Med. 2013, 42, 1259–1277. [Google Scholar] [CrossRef]
- White, D.W.; Raven, P.B. Autonomic neural control of heart rate during dynamic exercise: Revisited. J. Physiol. 2014, 592, 2491–2500. [Google Scholar] [CrossRef] [PubMed]
- Cervantes Blásquez, J.C.; Font, G.R.; Ortís, L.C. Heart rate variability and precompetitive anxiety in swimmers. Psicothema 2009, 2, 531–536. [Google Scholar]
- Edmonds, R.; Leicht, A.; McKean, M.; Burkett, B. Daily heart rate variability during an 18-day staging camp in Paralympic medalist swimmers. J. Exerc. Physiol. Online 2014, 17, 84–92. [Google Scholar]
- Morales, J.; García, V.; Garcia-Massó, X.; Salvá, P.; Escobar, R.; Busca, B. The use of heart rate variability in assessing precompetitive stress in high-standard judo athletes. Int. J. Sports Med. 2013, 34, 144–151. [Google Scholar] [CrossRef]
- Gruzelier, J.H.; Thompson, T.; Redding, E.; Brandt, R.; Steffert, T. Application of alpha/theta neurofeedback and heart rate variability training to young contemporary dancers: State anxiety and creativity. Int. J. Psychophysiol. 2014, 93, 105–111. [Google Scholar] [CrossRef] [PubMed]
- Raymond, J.; Sajid, I.; Parkinson, L.A.; Gruzelier, J.H. Biofeedback and dance performance: A preliminary investigation. Appl. Psychophysiol. Biofeedback 2005, 30, 65–73. [Google Scholar] [CrossRef]
- Task Force of the European Society of Cardiology and the North American Society of Pacing and Electrophysiology. Heart rate variability: Standards of measurement, physiological interpretation, and clinical use. Circulation 1996, 93, 1043–1065. [CrossRef]
- Kellman, M.; Kallus, K.W. Recovery-Stress Questionnaire for Athletes: User Manual; Human Kinetics: Champaign, IL, USA, 2001; Volume 1, ISBN 978-0736037761. [Google Scholar]
- Leicht, A.; Hirning, D.A.; Allen, G.D. Heart rate variability and endogenous sex hormones during the menstrual cycle in young women. Exp. Physiol. 2003, 88, 441–446. [Google Scholar] [CrossRef] [PubMed]
- Liederbach, M.; Hagins, M.; Gamboa, J.M. Assessing and reporting dancer capacities, risk factors, and injuries: Recommendations from the IADMS standard measures consensus initiative. J. Dance Med. Sci. 2012, 16, 139–153. [Google Scholar]
- Hopkins, W.G.; Marshall, S.W.; Batterham, A.M.; Hanin, J. Progressive statistics for studies in sports medicine and exercise science. Med. Sci. Sports Exerc. 2009, 41, 3–13. [Google Scholar] [CrossRef]
- Krasnow, D.; Chatfield, S.J. Development of the “performance competence evaluation measure” assessing qualitative aspects of dance performance. J. Dance Med. Sci. 2009, 13, 101–107. [Google Scholar]
- Kerr, J.H.; Cox, T. Arousal and individual differences in sport. Pers. Individ. Differ. 1991, 12, 1075–1085. [Google Scholar] [CrossRef]
- Wilson, G.D.; Roland, D. The Science and Psychology of Music Performance: Creative Strategies for Teaching and Learning; Oxford University Press: Oxford, UK, 2002; pp. 47–58. [Google Scholar]
- Iellamo, F.; Legramante, J.M.; Pigozzi, F.; Spataro, A.; Norbiato, G.; Lucini, D.; Pagani, M. Conversion from vagal to sympathetic predominance with strenuous training in high-performance world class athletes. Circulation 2002, 105, 2719–2724. [Google Scholar] [CrossRef] [PubMed]
- Welsh, A.H.; Knight, E.J. Magnitude-based inference: A Statistical Review. Med. Sci. Sports Exerc. 2015, 47, 874–884. [Google Scholar] [CrossRef] [PubMed]




| Heart Rate Variability | Baseline | Dress Rehearsal | First Concert | Second Concert | 36 h Post-Concert |
|---|---|---|---|---|---|
| Mean HR (bpm) | 69.3 ± 9.4 | 71.1 ± 11.0 | 75.8 ± 11.6 * | 75.1 ± 10.1 * | 72.1 ± 8.0 |
| %Δ (95% CI) | - | 2.3 (−2.9, 7.9) | 8.9 (3.2, 14.9) | 8.3 (3.9, 13.0) | 4.4 (−0.5, 9.4) |
| ES | - | 0.09 | 0.35 | 0.33 | 0.18 |
| QI | - | Trivial | Likely Positive | Likely Positive | Trivial |
| RMSSD (ms) | 70.3 ± 38.4 | 71.3 ± 43.1 | 40.6 ± 28.4 * | 40.5±21.8 * | 62.5 ± 30.2 |
| %Δ (95% CI) | - | −2.4 (−18.4, 16.9) | −44.5 (−56.2, −29.6) | −43.0 (−54.1, −29.3) | −16.1 (−30.1, 1.1) |
| ES | - | −0.02 | −0.61 | −0.58 | −0.18 |
| QI | - | Trivial | Most Likely Negative | Most Likely Negative | Trivial |
© 2018 by the authors. Licensee MDPI, Basel, Switzerland. This article is an open access article distributed under the terms and conditions of the Creative Commons Attribution (CC BY) license (http://creativecommons.org/licenses/by/4.0/).
Share and Cite
Edmonds, R.; Wood, M.; Fehling, P.; DiPasquale, S. The Impact of a Ballet and Modern Dance Performance on Heart Rate Variability in Collegiate Dancers. Sports 2019, 7, 3. https://doi.org/10.3390/sports7010003
Edmonds R, Wood M, Fehling P, DiPasquale S. The Impact of a Ballet and Modern Dance Performance on Heart Rate Variability in Collegiate Dancers. Sports. 2019; 7(1):3. https://doi.org/10.3390/sports7010003
Chicago/Turabian StyleEdmonds, Rohan, Meaghan Wood, Patricia Fehling, and Sarah DiPasquale. 2019. "The Impact of a Ballet and Modern Dance Performance on Heart Rate Variability in Collegiate Dancers" Sports 7, no. 1: 3. https://doi.org/10.3390/sports7010003
APA StyleEdmonds, R., Wood, M., Fehling, P., & DiPasquale, S. (2019). The Impact of a Ballet and Modern Dance Performance on Heart Rate Variability in Collegiate Dancers. Sports, 7(1), 3. https://doi.org/10.3390/sports7010003

