Effect of Descent Velocity upon Muscle Activation and Performance in Two-Legged Free Weight Back Squats
Abstract
1. Introduction
2. Materials and Methods
2.1. Subjects
2.2. Procedures
2.3. Statistical Analysis
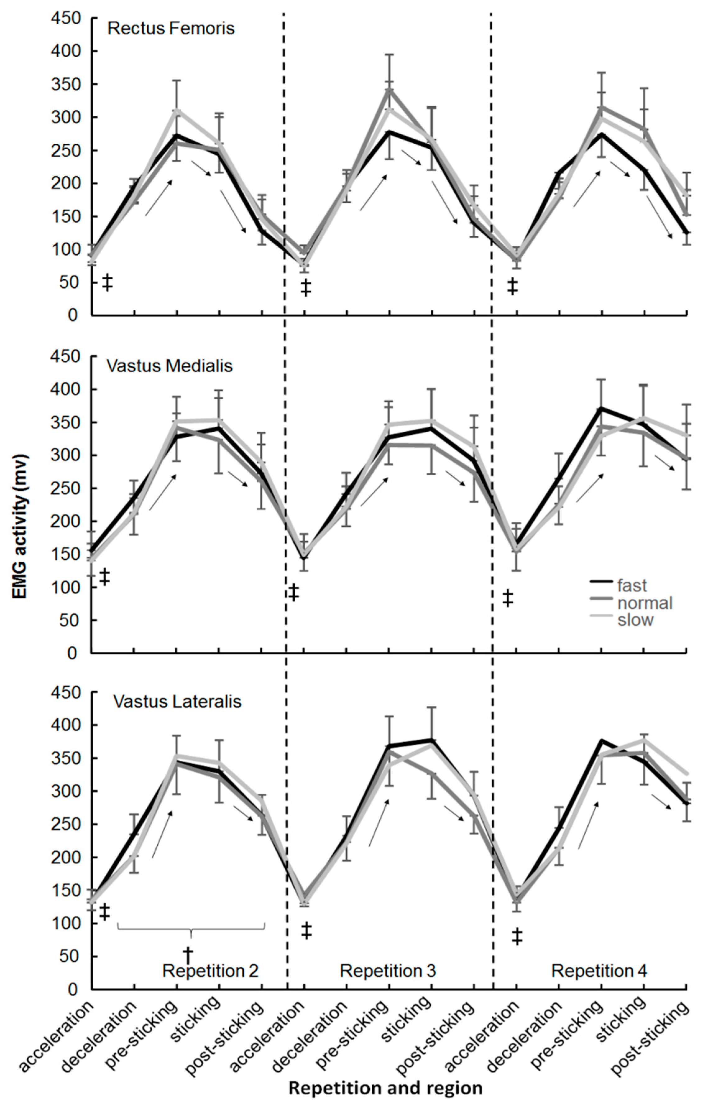
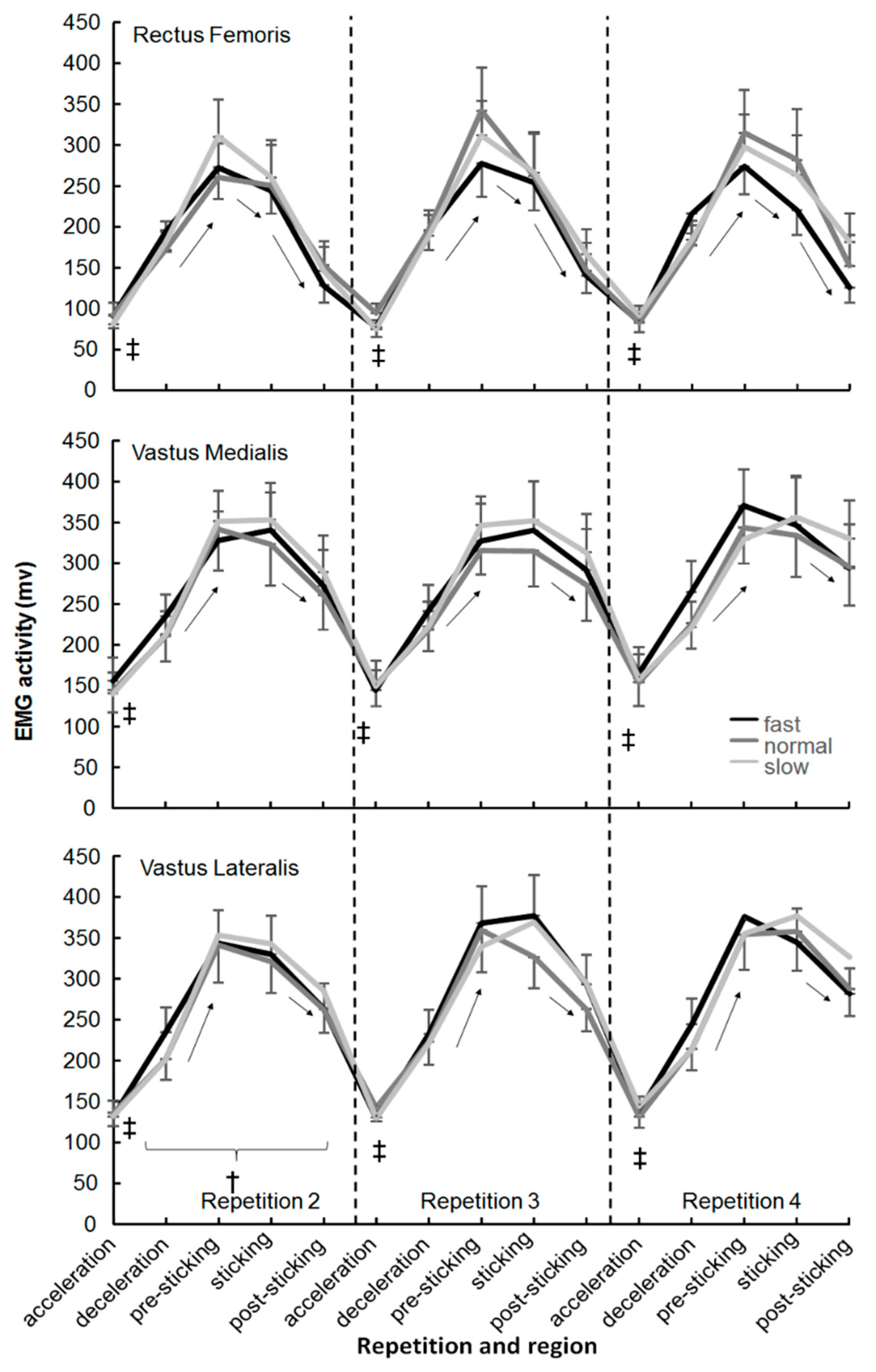
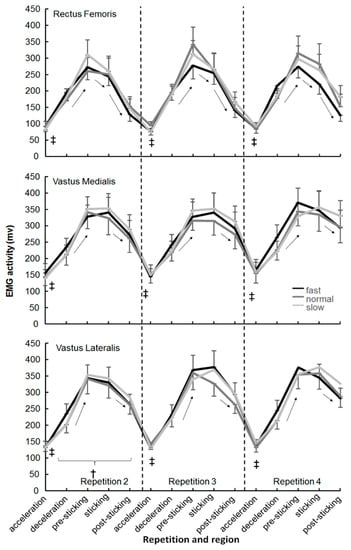
3. Results
4. Discussion
5. Conclusions
Funding
Conflicts of Interest
References
- Stone, M.H.; Potteiger, J.A.; Pierce, K.C.; Proulx, C.M.; O’Bryant, H.S.; Johnson, R.L.; Stone, M.E. Comparison of the effects of three different weight-training programs on the one repetition maximum squat. J. Strength Cond. Res. 2000, 14, 332–337. [Google Scholar]
- Hansen, K.; Cronin, J. Training Loads for the Development of Lower Body Muscular Power During Squatting Movements. Strength Cond. J. 2009, 31, 17–33. [Google Scholar] [CrossRef]
- Usui, S.; Maeo, S.; Tayashiki, K.; Nakatani, M.; Kanehisa, H. Low-load slow movement squat training increases muscle size and strength but not power. Int. J. Sports Med. 2016, 37, 305–312. [Google Scholar] [CrossRef] [PubMed]
- Caterisano, A.; Moss, R.F.; Pellinger, T.K.; Woodruff, K.; Lewis, V.C.; Booth, W.; Khadra, T. The effect of back squat depth on the EMG activity of 4 superficial hip and thigh muscles. J. Strength Cond. Res. 2002, 16, 428–432. [Google Scholar] [PubMed]
- Escamilla, R.F.; Fleisig, G.; Lowry, T.M.; Barrentine, S.W.; Andrews, J.R. A three-dimensional biomechanical analysis of the squat during varying stance widths. Med. Sci. Sports Exerc. 2001, 33, 984–998. [Google Scholar] [CrossRef]
- Paoli, A.; Marcolin, G.; Petrone, N. The effect of stance width on the electromyographical activity of eight superficial thigh muscles during back squat with different bar loads. J. Strength Cond. Res. 2009, 23, 246–250. [Google Scholar] [CrossRef]
- Pereira, G.R.; Leporace, G.; Chagas, D.; Furtado, L.F.; Praxedes, J.; Batista, L.A. Influence of hip external rotation on hip adductor and rectus femoris myoelectric activity during a dynamic parallel squat. J. Strength Cond. Res. 2010, 24, 2749–2754. [Google Scholar] [CrossRef]
- Saeterbakken, A.H.; Fimland, M.S. Muscle force output and electromyographic activity in squats with various unstable surfaces. J. Strength Cond. Res. 2013, 27, 130–136. [Google Scholar] [CrossRef]
- McBride, J.M.; Larkin, T.R.; Dayne, A.M.; Haines, T.L.; Kirby, T.J. Effect of absolute and relative loading on muscle activity during stable and unstable squatting. Int. J. Sports Physiol. Perform. 2010, 5, 177–183. [Google Scholar] [CrossRef]
- Pick, J.; Becque, M.D. The relationship between training status and intensity on muscle activation and relative submaximal lifting capacity during the back squat. J. Strength Cond. Res. 2000, 14, 175–181. [Google Scholar]
- Cormie, P.; McCaulley, G.O.; McBride, J.M. Power versus strength-power jump squat training: Influence on the load-power relationship. Med. Sci. Sports Exerc. 2007, 39, 996–1003. [Google Scholar] [CrossRef] [PubMed]
- Baechle, T.R.; Earle, R.W. Essentials of Strength Training and Conditioning, 2nd ed.; Human Kinetics: Champaign, IL, USA, 2000. [Google Scholar]
- Baker, D.; Nance, S.; Moore, M. The load that maximazes the average mechanical power output during jump squats in power-trained athletes. J. Strength Cond. Res. 2001, 15, 92–97. [Google Scholar] [PubMed]
- Lyttle, A.D.; Wilson, G.J.; Ostrowski, K.J. Enhancing performance: Maximal power versus combined weights and plyometrics training. J. Strength Cond. Res. 1996, 10, 173–179. [Google Scholar] [CrossRef]
- Bompa, T.O.; Di Pasquale, M.; Cornacchia, L.J. Serious Strength Training, 2nd ed.; Human Kinetics: Champaign, IL, USA, 2003. [Google Scholar]
- Brooks, D. Resistance Training Guidelines, in Effective Strength Training: Analysis and Technique for Upper-Body, Lower-Body, and Trunk Exercises; Human Kinetics: Champaign, IL, USA, 2001; pp. 233–248, 259–263. [Google Scholar]
- Sakamoto, A.; Sinclair, P.J. Effect of movement velocity on the relationship between training load and the number of repetions of bench press. J. Strength Cond. Res. 2006, 20, 523–527. [Google Scholar] [PubMed]
- Sakamoto, A.; Sinclair, P.J. Muscle activations under varying lifting speeds and intensities during bench press. Eur. J. Appl. Physiol. Occup. Physiol. 2012, 112, 1015–1025. [Google Scholar] [CrossRef] [PubMed]
- Bobbert, M.F.; Casius, R. Is the effect of a countermovement on jump height due to active state development. Med. Sci. Sports Exerc. 2005, 37, 440–446. [Google Scholar] [CrossRef]
- Bobbert, M.F.; Gerritsen, K.G.M.; Litjens, M.C.A.; van Soest, A.J. Why is countermovement jump height greater than squat jump height? Med. Sci. Sports Exerc. 1996, 28, 1402–1412. [Google Scholar] [CrossRef] [PubMed]
- Walche, A.D.; Wilson, G.J.; Ettema, G.J. Stretch-shorten cycle compared with isometric preload: Contributions to enhanced muscular performance. J. Appl. Physiol. 1998, 84, 97–106. [Google Scholar] [CrossRef]
- Ettema, G.J.; Huijing, P.A.; De Haan, A. The potentiating effect of prestretch on the contractile performance of rat gastrocnemius medialis muscle during subsequent shortening and isometric contractions. J. Exp. Biol. 1992, 165, 121–136. [Google Scholar]
- van den Tillaar, R.; Andersen, V.; Saeterbakken, A. Comparison of muscle activation and performance during 6 RM, two legged free-weight squats. Kinesiol. Slov. 2014, 20, 5–16. [Google Scholar]
- van den Tillaar, R. Kinematics and muscle activation around the sticking region in free-weight barbell back squats. Kinesiol Slov. 2015, 21, 15–25. [Google Scholar]
- van den Tillaar, R.; Andersen, V.; Saeterbakken, A.H. The existence of a sticking region in free weight squats. J. Hum. Kinet. 2014, 42, 63–71. [Google Scholar] [CrossRef] [PubMed]
- Elliott, B.C.; Wilson, G.J.; Kerr, G.K. A biomechanical analysis of the sticking region in the bench press. Med. Sci. Sports Exerc. 1989, 21, 450–462. [Google Scholar] [CrossRef] [PubMed]
- van den Tillaar, R.; Ettema, G. A Comparison of Successful and Unsuccessful Attempts in Maximal Bench Pressing. Med. Sci. Sports Exerc. 2009, 41, 2056–2063. [Google Scholar] [CrossRef] [PubMed]
- ACSM. American College of Sports Medicine position stand. Progression models in resistance training for healthy adults. Med. Sci. Sports Exerc. 2009, 41, 687–708. [Google Scholar] [CrossRef] [PubMed]
- Gomo, O.; Van Den Tillaar, R. The effects of grip width on sticking region in bench press. J. Sports Sci. 2016, 34, 232–238. [Google Scholar] [CrossRef] [PubMed]
- Rahimi, R. Effect of different rest intervals on the exercise volume completed during squat bouts. J. Sports Sci. Med. 2005, 4, 361–366. [Google Scholar]
- Hermens, H.J.; Freriks, B.; Disselhorst-Klug, C.; Rau, G. Development of recommendations for SEMG sensors and sensor placement procedures. J. Electromyogr. Kinesiol. 2000, 10, 361–374. [Google Scholar] [CrossRef]
- Lander, J.E.; Bates, B.T.; Swahill, J.A.; Hamill, J. A comparison between free-weight and isokinetic bench pressing. Med. Sci. Sports Exerc. 1985, 17, 344–353. [Google Scholar] [CrossRef]
- Cohen, J. Statistical Power Analysis for the Behavioral Sciences, 2nd ed.; Lawrence Erlbaum Associates: Hillsdale, NJ, USA, 1988; p. 174. [Google Scholar]
- Madsen, N.H.; McLaughlin, T.M. Kinematic factors influencing performance and injury risk in the bench press exercise. Med. Sci. Sports Exerc. 1984, 16, 376–381. [Google Scholar] [CrossRef]
- van den Tillaar, R.; Saeterbakken, A.H.; Ettema, G. Is the occurrence of the sticking region the result of diminishing potentiation in bench press? J. Sports Sci. 2012, 30, 591–599. [Google Scholar] [CrossRef] [PubMed]





| Events | Interval (s) | Velocity (m/s) | Displacement Barbell (m) | Maximal Force (F) | ||||||||
|---|---|---|---|---|---|---|---|---|---|---|---|---|
| Fast | Normal | Slow | Fast | Normal | Slow | Fast | Normal | Slow | Fast | Normal | Slow | |
| Repetition 2 | ||||||||||||
| Vdown | 0.43 ± 0.11 * | 0.82 ± 0.29 * | 1.72 ± 0.80 * | −1.03 ± 0.17 * | −0.74 ± 0.15 * | −0.44 ± 0.12 * | 0.26 ± 0.10 * | 0.38 ± 0.16 | 0.40 ± 0.20 | |||
| V0 | 0.61 ± 0.22 | 0.56 ± 0.27 | 0.88 ± 0.52 | 0.41 ± 0.09 * | 0.28 ± 0.15 | 0.25 ± 0.16 | 3195 ± 792 | 3067 ± 686 | 2778 ± 559 * | |||
| Vmax1 | 0.24 ± 0.07 | 0.25 ± 0.06 | 0.28 ± 0.07 * | 0.55 ± 0.12 | 0.54 ± 0.10 | 0.47 ± 0.11 * | 0.10 ± 0.04 | 0.09 ± 0.03 | 0.09 ± 0.03 | |||
| Vmin | 0.43 ± 0.12 | 0.40 ± 0.16 | 0.43 ± 0.11 | 0.32 ± 0.13 | 0.34 ± 0.14 | 0.30 ± 0.11 | 0.16 ± 0.03 | 0.15 ± 0.04 | 0.15 ± 0.03 | |||
| Vmax2 | 0.60 ± 0.16 | 0.63 ± 0.15 | 0.66 ± 0.17 | 0.93 ± 0.21 | 0.86 ± 0.23 | 0.86 ± 0.17 | 0.31 ± 0.03 | 0.31 ± 0.03 | 0.31 ± 0.04 | |||
| Repetition 3 | ||||||||||||
| Vdown | 0.43 ± 0.09 * | 0.86 ± 0.34 * | 1.59 ± 0.77 * | −0.98 ± 0.21 * | −0.72 ± 0.18 * | −0.44 ± 0.10 * | 0.24 ± 0.10 * | 0.39 ± 0.15 | 0.39 ± 0.19 | |||
| V0 | 0.67 ± 0.27 | 0.54 ± 0.22 | 0.89 ± 0.58 | 0.42 ± 0.08 * | 0.27 ± 0.14 | 0.26 ± 0.17 | 3254 ± 842 | 3070 ± 743 | 2772 ± 551 * | |||
| Vmax1 | 0.24 ± 0.06 | 0.24 ± 0.05 | 0.27 ± 0.07 * | 0.56 ± 0.14 | 0.52 ± 0.14 | 0.44 ± 0.12 * | 0.09 ± 0.03 | 0.09 ± 0.02 | 0.08 ± 0.02 | |||
| Vmin | 0.42 ± 0.19 | 0.45 ± 0.14 | 0.48 ± 0.12 | 0.33 ± 0.16 | 0.29 ± 0.13 ↓ | 0.25 ± 0.10 ↓† | 0.16 ± 0.04 | 0.16 ± 0.03 | 0.15 ± 0.03 | |||
| Vmax2 | 0.66 ± 0.24 | 0.70 ± 0.24 | 0.80 ± 0.28 ↓ | 0.87 ± 0.25 ↓ | 0.86 ± 0.24 | 0.82 ± 0.17 ↓ | 0.30 ± 0.03 | 0.31 ± 0.04 | 0.32 ± 0.05 | |||
| Repetition 4 | ||||||||||||
| Vdown | 0.43 ± 0.11 * | 0.85 ± 0.40 * | 1.82 ± 0.78 * | −0.99 ± 0.20 * | −0.72 ± 0.17 * | −0.40 ± 0.12 * | 0.26 ± 0.12 * | 0.38 ± 0.17 | 0.42 ± 0.17 | |||
| V0 | 0.65 ± 0.27 | 0.57 ± 0.28 | 0.85 ± 0.48 | 0.41 ± 0.10 * | 0.29 ± 0.15 | 0.22 ± 0.14 | 3203 ± 880 | 3112 ± 741 | 2690 ± 474 * | |||
| Vmax1 | 0.23 ± 0.05 | 0.23 ± 0.05 | 0.26 ± 0.06 * | 0.54 ± 0.14 | 0.54 ± 0.14 | 0.42 ± 0.11 * | 0.09 ± 0.02 | 0.09 ± 0.02 | 0.08 ± 0.03 | |||
| Vmin | 0.50 ± 0.20 ↓ | 0.48 ± 0.12 ↓ | 0.59 ± 0.27 ↓ | 0.28 ± 0.15 ↓↓ | 0.25 ± 0.13 ↓ | 0.19 ± 0.08 ↓↓† | 0.17 ± 0.04 | 0.16 ± 0.02 | 0.15 ± 0.05 | |||
| Vmax2 | 0.77 ± 0.31 ↓ | 0.83 ± 0.35 ↓ | 0.87 ± 0.26 ↓ | 0.85 ± 0.26 ↓ | 0.82 ± 0.26 | 0.78 ± 0.19 ↓ | 0.31 ± 0.04 | 0.32 ± 0.04 | 0.31 ± 0.05 | |||
© 2019 by the author. Licensee MDPI, Basel, Switzerland. This article is an open access article distributed under the terms and conditions of the Creative Commons Attribution (CC BY) license (http://creativecommons.org/licenses/by/4.0/).
Share and Cite
Van den Tillaar, R. Effect of Descent Velocity upon Muscle Activation and Performance in Two-Legged Free Weight Back Squats. Sports 2019, 7, 15. https://doi.org/10.3390/sports7010015
Van den Tillaar R. Effect of Descent Velocity upon Muscle Activation and Performance in Two-Legged Free Weight Back Squats. Sports. 2019; 7(1):15. https://doi.org/10.3390/sports7010015
Chicago/Turabian StyleVan den Tillaar, Roland. 2019. "Effect of Descent Velocity upon Muscle Activation and Performance in Two-Legged Free Weight Back Squats" Sports 7, no. 1: 15. https://doi.org/10.3390/sports7010015
APA StyleVan den Tillaar, R. (2019). Effect of Descent Velocity upon Muscle Activation and Performance in Two-Legged Free Weight Back Squats. Sports, 7(1), 15. https://doi.org/10.3390/sports7010015