Pacing and Changes in Body Composition in 48 h Ultra-Endurance Running—A Case Study
Abstract
1. Introduction
2. Materials and Methods
2.1. The Runner
2.2. The Race
2.3. Procedures
2.4. Statistical Analysis
3. Results
4. Discussion
4.1. Decrease in Running Speed
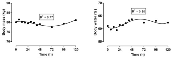
4.2. Change in Body Mass
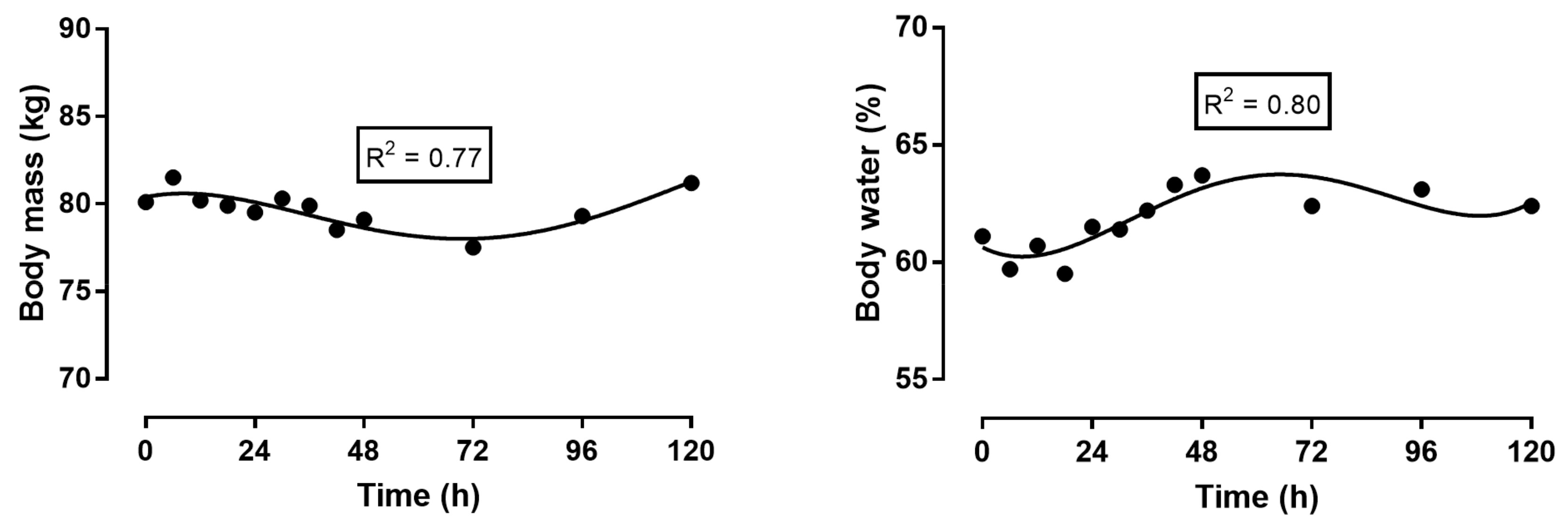
4.3. Changes in Body Water during the Race
4.4. Limitations, Strength and Practical Applications
5. Conclusions
Author Contributions
Funding
Acknowledgments
Conflicts of Interest
References
- Abbiss, C.R.; Laursen, P.B. Describing and understanding pacing strategies during athletic competition. Sports Med. 2008, 38, 239–252. [Google Scholar] [CrossRef] [PubMed]
- Hanley, B. Pacing profiles and pack running at the iaaf world half marathon championships. J. Sports Sci. 2015, 33, 1189–1195. [Google Scholar] [CrossRef] [PubMed]
- March, D.S.; Vanderburgh, P.M.; Titlebaum, P.J.; Hoops, M.L. Age, sex, and finish time as determinants of pacing in the marathon. J. Strength Cond. Res. 2011, 25, 386–391. [Google Scholar] [CrossRef] [PubMed]
- Angus, S.D. Did recent world record marathon runners employ optimal pacing strategies? J. Sports Sci. 2014, 32, 31–45. [Google Scholar] [CrossRef] [PubMed]
- Hanley, B. Pacing, packing and sex-based differences in olympic and iaaf world championship marathons. J. Sports Sci. 2016, 34, 1675–1681. [Google Scholar] [CrossRef] [PubMed]
- Nikolaidis, P.T.; Knechtle, B. Pacing in age group marathoners in the “new york city marathon”. Res. Sports Med. 2018, 26, 86–99. [Google Scholar] [CrossRef] [PubMed]
- Nikolaidis, P.T.; Knechtle, B. Effect of age and performance on pacing of marathon runners. Open Access J. Sports Med. 2017, 8, 171–180. [Google Scholar] [CrossRef] [PubMed]
- Nikolaidis, P.T.; Knechtle, B. Do fast older runners pace differently from fast younger runners in the ‘New York City marathon’? J. Strength Cond. Res. 2017. [Google Scholar] [CrossRef] [PubMed]
- Santos-Lozano, A.; Collado, P.S.; Foster, C.; Lucia, A.; Garatachea, N. Influence of sex and level on marathon pacing strategy. Insights from the new york city race. Int. J. Sports Med. 2014, 35, 933–938. [Google Scholar] [CrossRef] [PubMed]
- Tan, P.L.; Tan, F.H.; Bosch, A.N. Similarities and differences in pacing patterns in a 161-km and 101-km ultra-distance road race. J. Strength Cond. Res. 2016, 30, 2145–2155. [Google Scholar] [CrossRef] [PubMed]
- Rust, C.A.; Rosemann, T.; Zingg, M.A.; Knechtle, B. Do non-elite older runners slow down more than younger runners in a 100 km ultra-marathon? BMC Sports Sci. Med. Rehabil. 2015, 7. [Google Scholar] [CrossRef] [PubMed]
- Lambert, M.I.; Dugas, J.P.; Kirkman, M.C.; Mokone, G.G.; Waldeck, M.R. Changes in running speeds in a 100 km ultra-marathon race. J. Sports Sci. Med. 2004, 3, 167–173. [Google Scholar] [PubMed]
- Knechtle, B.; Rosemann, T.; Zingg, M.A.; Stiefel, M.; Rust, C.A. Pacing strategy in male elite and age group 100 km ultra-marathoners. Open Access J. Sports Med. 2015, 6, 71–80. [Google Scholar] [CrossRef] [PubMed]
- Knechtle, B.; Nikolaidis, P.T. Physiology and pathophysiology in ultra-marathon running. Front. Physiol. 2018, 9, 634. [Google Scholar] [CrossRef] [PubMed]
- Knechtle, B.; Nikolaidis, P.T. Pacing in a 94-year-old runner during a 6-h run. Open Access J. Sports Med. 2018, 9, 19–25. [Google Scholar] [CrossRef] [PubMed]
- Kao, W.F.; Shyu, C.L.; Yang, X.W.; Hsu, T.F.; Chen, J.J.; Kao, W.C.; Polun, C.; Huang, Y.J.; Kuo, F.C.; Huang, C.I.; et al. Athletic performance and serial weight changes during 12- and 24-h ultra-marathons. Clin. J. Sport Med. 2008, 18, 155–158. [Google Scholar] [CrossRef] [PubMed]
- Knechtle, B.; Knechtle, P.; Wirth, A.; Rüst, C.A.; Rosemann, T. A faster running speed is associated with a greater body weight loss in 100-km ultra-marathoners. J. Sports Sci. 2012, 30, 1131–1140. [Google Scholar] [CrossRef] [PubMed]
- Rust, C.A.; Knechtle, B.; Knechtle, P.; Wirth, A.; Rosemann, T. Body mass change and ultraendurance performance: A decrease in body mass is associated with an increased running speed in male 100-km ultramarathoners. J. Strength Cond. Res. 2012, 26, 1505–1516. [Google Scholar] [CrossRef] [PubMed]
- Millet, G.Y.; Banfi, J.C.; Kerherve, H.; Morin, J.B.; Vincent, L.; Estrade, C.; Geyssant, A.; Feasson, L. Physiological and biological factors associated with a 24 h treadmill ultra-marathon performance. Scand. J. Med. Sci. Sports 2011, 21, 54–61. [Google Scholar] [CrossRef] [PubMed]
- Best, R.; Barwick, B.; Best, A.; Berger, N.; Harrison, C.; Wright, M.; Sparrow, J. Changes in pain and nutritional intake modulate ultra-running performance: A case report. Sports 2018, 6, 111. [Google Scholar] [CrossRef] [PubMed]
- Freund, W.; Weber, F.; Billich, C.; Schuetz, U.H. The foot in multistage ultra-marathon runners: Experience in a cohort study of 22 participants of the trans Europe footrace project with mobile mri. BMJ Open 2012, 2, e001118. [Google Scholar] [CrossRef] [PubMed]
- Dayrunners, Athens International Ultramarathon Festival. Available online: www.dayrunners.gr (accessed on 1 September 2018).
- International Association of Ultrarunners. Available online: www.iau-ultramarathon.org/ (accessed on 1 September 2018).
- Jebb, S.A.; Cole, T.J.; Doman, D.; Murgatroyd, P.R.; Prentice, A.M. Evaluation of the novel tanita body-fat analyser to measure body composition by comparison with a four-compartment model. Br. J. Nutr. 2000, 83, 115–122. [Google Scholar] [CrossRef] [PubMed]
- Bircher, S.; Enggist, A.; Jehle, T.; Knechtle, B. Effects of an extreme endurance race on energy balance and body composition—A case study. J. Sports Sci. Med. 2006, 5, 154–162. [Google Scholar] [PubMed]
- Knechtle, B.; Enggist, A.; Jehle, T. Energy turnover at the race across america (raam)—A case report. Int. J. Sports Med. 2005, 26, 499–503. [Google Scholar] [CrossRef] [PubMed]
- Heidenfelder, A.; Rosemann, T.; Rüst, C.A.; Knechtle, B. Pacing strategies of ultracyclists in the “race across America”. Int. J. Sports Physiol. Perform. 2016, 11, 319–327. [Google Scholar] [CrossRef] [PubMed]
- Knechtle, B.; Bragazzi, N.L.; Rosemann, T.; Rust, C.A. Pacing in a self-paced world record attempt in 24-h road cycling. Springerplus 2015, 4, 650. [Google Scholar] [CrossRef] [PubMed]
- Mueller, S.M.; Anliker, E.; Knechtle, P.; Knechtle, B.; Toigo, M. Changes in body composition in triathletes during an ironman race. Eur. J. Appl. Physiol. 2013, 113, 2343–2352. [Google Scholar] [CrossRef] [PubMed]
- Zehnder, M.; Christ, E.R.; Ith, M.; Acheson, K.J.; Pouteau, E.; Kreis, R.; Trepp, R.; Diem, P.; Boesch, C.; Décombaz, J. Intramyocellular lipid stores increase markedly in athletes after 1.5 days lipid supplementation and are utilized during exercise in proportion to their content. Eur. J. Appl. Physiol. 2006, 98, 341–354. [Google Scholar] [CrossRef] [PubMed]
- Van Loon, L.J.C.; Koopman, R.; Stegen, J.H.C.H.; Wagenmakers, A.J.M.; Keizer, H.A.; Saris, W.H.M. Intramyocellular lipids form an important substrate source during moderate intensity exercise in endurance-trained males in a fasted state. J. Physiol. 2003, 553, 611–625. [Google Scholar] [CrossRef] [PubMed]
- Knechtle, B.; Knechtle, P.; Rosemann, T.; Oliver, S. Atriple iron triathlon leads to a decrease in total body mass but not to dehydration. Res. Q. Exerc. Sport 2010, 81, 319–327. [Google Scholar] [CrossRef] [PubMed]
- Knechtle, B.; Schwanke, M.; Knechtle, P.; Kohler, G. Decrease in body fat during an ultra-endurance triathlon is associated with race intensity. Br. J. Sports Med. 2008, 42, 609–613. [Google Scholar] [CrossRef] [PubMed]
- Knechtle, B.; Knechtle, P.; Rosemann, T. No exercise-associated hyponatremia found in an observational field study of male ultra-marathoners participating in a 24-h ultra-run. Phys. Sportsmed. 2010, 38, 94–100. [Google Scholar] [CrossRef] [PubMed]
- Bescos, R.; Rodriguez, F.A.; Iglesias, X.; Benitez, A.; Marina, M.; Padulles, J.M.; Torrado, P.; Vazquez, J.; Knechtle, B. High energy deficit in an ultraendurance athlete in a 24-h ultracycling race. In Baylor University Medical Center Proceedings; Taylor & Francis: Abingdon-on-Thames, UK, 2012; Volume 25, pp. 124–128. [Google Scholar]
- Chlíbková, D.; Knechtle, B.; Rosemann, T.; Žákovská, A.; Tomášková, I.; Shortall, M.; Tomášková, I. Changes in foot volume, body composition, and hydration status in male and female 24-h ultra-mountain bikers. J. Int. Soc. Sports Nutr. 2014, 11, 12. [Google Scholar] [CrossRef] [PubMed]
- Chlíbková, D.; Knechtle, B.; Rosemann, T.; Tomášková, I.; Chadim, V.; Shortall, M. Nutrition habits in 24-h mountain bike racers. SpringerPlus 2014, 3, 1–11. [Google Scholar] [CrossRef] [PubMed]
- Stewart, I.B.; Stewart, K.L. Energy balance during two days of continuous stationary cycling. J. Int. Soc. Sports Nutr. 2007, 4, 15. [Google Scholar] [CrossRef] [PubMed]
- Knechtle, B.; Knechtle, P.; Kohler, G. The effect of 1,000 km nonstop cycling on fat mass and skeletal muscle mass. Res. Sports Med. 2011, 19, 170–185. [Google Scholar] [CrossRef] [PubMed]
- Traiperm, N.; Gatterer, H.; Burtscher, M. Plasma electrolyte and hematological changes after marathon running in adolescents. Med. Sci. Sports Exerc. 2013, 45, 1182–1187. [Google Scholar] [CrossRef] [PubMed]
- Pastene, J.; Germain, M.; Allevard, A.M.; Gharib, C.; Lacour, J.R. Water balance during and after marathon running. Eur. J. Appl. Physiol. Occup. Physiol. 1996, 73, 49–55. [Google Scholar] [CrossRef] [PubMed]
- Hoffer, E.C.; Meador, C.K.; Simpson, D.C. Correlation of whole-body impedance with total body water volume. J. Appl. Physiol. 1969, 27, 531–534. [Google Scholar] [CrossRef] [PubMed]
- Knechtle, B.; Marchand, Y. Variations of the body weight and the skinfold thickness in an athlete during a very long lasting endurance exercise. Schweiz. Z. Sportmed. Sporttraumatol. 2003, 51, 174–178. [Google Scholar]
- Knechtlel, B.; Zapf, J.; Zwyssig, D.; Lippuner, K.; Hoppeler, H. Energy turnover and muscle structure in long-duration exercise: A case study. Schweiz. Z. Sportmed. Sporttraumatol. 2003, 51, 180–187. [Google Scholar]
- Klapcinska, B.; Waskiewicz, Z.; Chrapusta, S.J.; Sadowska-Krepa, E.; Czuba, M.; Langfort, J. Metabolic responses to a 48-h ultra-marathon run in middle-aged male amateur runners. Eur. J. Appl. Physiol. 2013, 113, 2781–2793. [Google Scholar] [CrossRef] [PubMed]
- Waskiewicz, Z.; Klapcinska, B.; Sadowska-Krepa, E.; Czuba, M.; Kempa, K.; Kimsa, E.; Gerasimuk, D. Acute metabolic responses to a 24-h ultra-marathon race in male amateur runners. Eur. J. Appl. Physiol. 2012, 112, 1679–1688. [Google Scholar] [CrossRef] [PubMed]
- Berneis, K.; Keller, U. Bioelectrical impedance analysis during acute changes of extracellular osmolality in man. Clin. Nutr. 2000, 19, 361–366. [Google Scholar] [CrossRef] [PubMed]
- Slinde, F.; Rossander-Hulthen, L. Bioelectrical impedance: Effect of 3 identical meals on diurnal impedance variation and calculation of body composition. Am. J. Clin. Nutr. 2001, 74, 474–478. [Google Scholar] [CrossRef] [PubMed]
- Nikolaidis, P.T.; Knechtle, B. Age of peak performance in 50-km ultramarathoners—Is it older than in marathoners? Open Access J. Sports Med. 2018, 9, 37–45. [Google Scholar] [CrossRef] [PubMed]
- Nikolaidis, P.T.; Knechtle, B. Performance in 100-km ultra-marathoners—At which age it reaches its peak? J. Strength Cond. Res. 2018. [Google Scholar] [CrossRef] [PubMed]







| Variables | Race Time (h) | |||||||
|---|---|---|---|---|---|---|---|---|
| 6 | 12 | 18 | 24 | 30 | 36 | 42 | 48 | |
| Hydration (L) | 2.9 | 1.2 | 0.9 | 0.5 | 0.5 | 0.1 | 0.3 | 0.2 |
| Body mass (kg) | 81.5 | 80.2 | 79.9 | 79.5 | 80.3 | 79.9 | 78.5 | 79.1 |
| Body water (%) | 59.7 | 60.7 | 59.5 | 61.5 | 61.4 | 62.2 | 63.3 | 63.7 |
| Speed (km/h) | 6.8 | 6.2 | 6.0 | 5.3 | 5.0 | 2.7 | 3.5 | 3.0 |
© 2018 by the authors. Licensee MDPI, Basel, Switzerland. This article is an open access article distributed under the terms and conditions of the Creative Commons Attribution (CC BY) license (http://creativecommons.org/licenses/by/4.0/).
Share and Cite
Knechtle, B.; Rosemann, T.; Nikolaidis, P.T. Pacing and Changes in Body Composition in 48 h Ultra-Endurance Running—A Case Study. Sports 2018, 6, 136. https://doi.org/10.3390/sports6040136
Knechtle B, Rosemann T, Nikolaidis PT. Pacing and Changes in Body Composition in 48 h Ultra-Endurance Running—A Case Study. Sports. 2018; 6(4):136. https://doi.org/10.3390/sports6040136
Chicago/Turabian StyleKnechtle, Beat, Thomas Rosemann, and Pantelis T. Nikolaidis. 2018. "Pacing and Changes in Body Composition in 48 h Ultra-Endurance Running—A Case Study" Sports 6, no. 4: 136. https://doi.org/10.3390/sports6040136
APA StyleKnechtle, B., Rosemann, T., & Nikolaidis, P. T. (2018). Pacing and Changes in Body Composition in 48 h Ultra-Endurance Running—A Case Study. Sports, 6(4), 136. https://doi.org/10.3390/sports6040136
