A Field Study of Low-Top vs. Mid-Top vs. High-Top American Football Cleats
Abstract
:1. Introduction
2. Method
2.1. Subject Characteristics
2.2. Shoes and Procedure

2.3. Field Drills

2.4. Statistics
3. Results
3.1. Goniometry

3.2. Performance
| Low-Top | Mid-Top | High-Top | ||
|---|---|---|---|---|
| 60-yd Sprint | Time (s) | 7.64 ± 0.1 | 7.69 ± 0.2 | 7.76 ± 0.2 |
| Cutting Drill | Time (s) | 13.8 ± 0.3 | 13.7 ± 0.3 | 13.7 ± 0.3 |
| Missed cones (#) | 0.3 ± 0.2 | 0.4 ± 0.2 | 0.5 ± 0.2 | |
| Bad contacts (#) | 0.1 ± 0.1 | 0.2 ± 0.1 | 0.1 ± 0.1 | |
| 5-10-5 Drill | Time (s) | 4.86 ± 0.1 | 4.94 ± 0.1 | 4.91 ± 0.1 |
| Agility Ladder | Total Steps (#) | 42.1 ± 1.0 | 41.6 ± 1.0 | 41.2 ± 1.0 |
| Missteps (#) | 4.6 ± 1.0 | 3.1 ± 0.6 | 3.8 ± 0.8 |
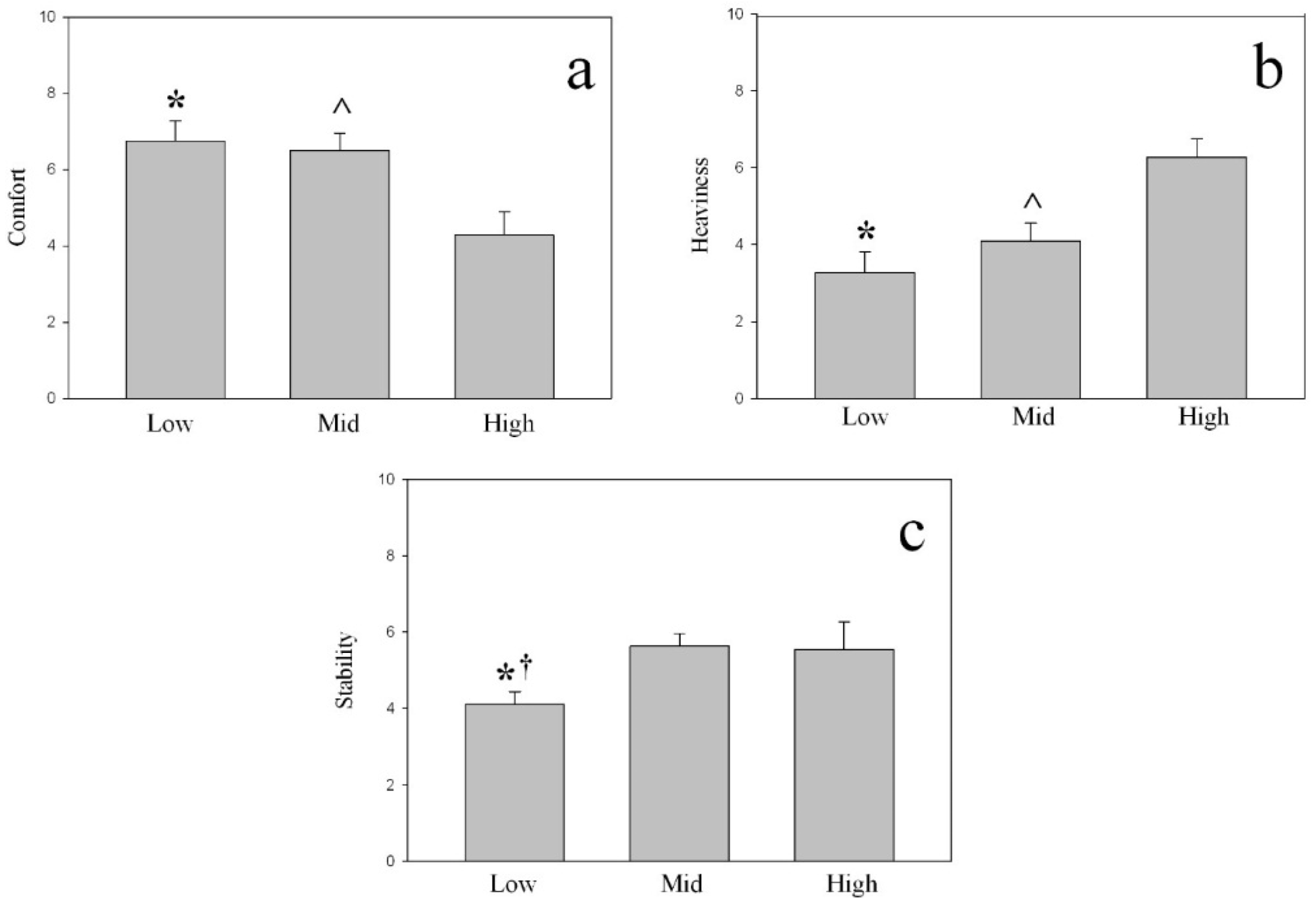
3.3. Perception

4. Discussion
4.1. Range-of-motion
4.2. Performance
4.3. Perception
4.4. Limitations and Future Directions
5. Conclusions
Acknowledgments
Author Contributions
Appendices
| Study | Subjects | Shoes | Movement | Findings |
|---|---|---|---|---|
| Avramakis et al. 2000 [51] | 12 male floorball players | High-top vs. low-top Adidas Handball Worldteam shoes | Sideward or combined forward-sideward cutting | High-top shoes reduced supination (e.g., improved lateral stability) compared to low-top shoes |
| Stacoff et al. 1996, 1998 [52,53] | 12 male floorball players | High-top basketball shoes vs. low-top handball, cross-training, and prototype shoes | Diagonal and sideward cutting | High-top shoes reduced inversion, β-angles, and foot slippage more than the low-top shoes |
| Stussi et al. 1989 [50] | 15 male athletes (various sports) | Shoes with shaft heights of 10.5, 14.5 and 23 cm (analogous to running, basketball, and boxing shoes, respectively) | Lateral cutting | Higher-top shoes had reduced supination |
| Study | Subjects | Shoes | Movement | Findings |
|---|---|---|---|---|
| Brizuela et al. 1997 [6] | 8 male recreational basketball players | High-top vs. low-top prototype basketball shoes | Vertical jumps | High-top shoe limited both eversion and plantarflexion (but not inversion), attributed to confining effects of the heel counter and taller upper jointly |
| Petrov et al. 1988 [31] | 4 cadaver legs | High-top (Nike Air Jordan V SE) vs. low-top (Nike Dart IV) | Controlled impacts | High-top shoe limited dorsiflexion and Achilles tendon tension moreso than low-top shoe; effects were greater when shoes were tied vs. untied |
| Sussmann et al. 1988 [54] | 8 female athletes | High-top vs. low-top shoe | Two-legged landings on a force platform after a rebound | High-top shoe had better ankle movement prophylaxis |
| Vanwanseele et al. 2012 [55] | 11 netball players | High-top Nike Jordan vs. low-top Asics Ignite 3 | Single-legged landings on a force platform while receiving a chest pass | High-top shoe had lower maximal eversion angles than the low-top shoe, though the effect was not statistically significant |
| Study | Subjects | Shoes | Movement | Findings |
|---|---|---|---|---|
| Ashton-Miller et al. 1996 [8] and Ottaviani et al. 1995 [10] | 20 male athletes | ¾-top Nike Air Force Max basketball shoe vs. low-top Nike Air Force I basketball shoe | “Wobble board”-like testing apparatus | High-top shoe reduced inversion (but not eversion) forces better than the low-top shoe when the foot was in various degrees of plantarflexion |
| Johnson et al. [16] | 12 male soccer players | High-top vs. low-top soccer boots | Athletes’ lower limbs were immobilized and ankles everted to 40° | High-top soccer boots confer less stress to collateral ligaments |
| Robinson et al. 1986 [37] | 20 male athletes | High-top basketball shoes with space for plastic rods to be inserted in the shaft | Ankle-manipulating apparatus | Dorsiflexion, eversion, and inversion are negatively correlated to the stiffness of the high-top shoe’s shaft |
| Shapiro et al. [45] | 5 cadaver ankles | High-top vs. low-top athletic shoes | Ankle-manipulating apparatus | High-top shoe augmented inversion resistance compared to a low-top shoe |
Conflicts of Interest
References
- Barnes, R.A.; Smith, P.D. The role of footwear in minimizing lower limb injury. J. Sports Sci. 1994, 12, 341–353. [Google Scholar] [CrossRef] [PubMed]
- Barrett, J.; Bilisko, T. The role of shoes in the prevention of ankle sprains. Sports Med. 1995, 20, 277–280. [Google Scholar] [CrossRef] [PubMed]
- Caselli, M.A. Selecting the proper athletic shoe. Podiatry Manag. 2006, 25, 147–156. [Google Scholar]
- Thacker, S.B.; Stroup, D.F.; Branche, C.M.; Gilchrist, J.; Goodman, R.A.; Weitman, E.A. The prevention of ankle sprains in sports. A systematic review of the literature. Am. J. Sports Med. 1999, 27, 753–760. [Google Scholar] [PubMed]
- Yamashita, M.H. Evaluation and selection of shoe wear and orthoses for the runner. Phys. Med. Rehabil. Clin. N. Am. 2005, 16, 801–829. [Google Scholar] [CrossRef] [PubMed]
- Brizuela, G.; Llana, S.; Ferrandis, R.; García-Belenguer, A.C. The influence of basketball shoes with increased ankle support on shock attenuation and performance in running and jumping. J. Sports Sci. 1997, 15, 505–515. [Google Scholar] [CrossRef] [PubMed]
- Brauner, T.; Zwinzscher, M.; Sterzing, T. Basketball footwear requirements are dependent on playing position. Footwear Sci. 2012, 4, 191–198. [Google Scholar] [CrossRef]
- Ashton-Miller, J.A.; Ottaviani, R.A.; Hutchinson, C.; Wojtys, E.M. What best protects the inverted weightbearing ankle against further inversion? Evertor muscle strength compares favorably with shoe height, athletic tape, and three orthoses. Am. J. Sports Med. 1996, 24, 800–809. [Google Scholar] [CrossRef] [PubMed]
- Barrett, J.R.; Tanji, J.L.; Drake, C.; Fuller, D.; Kawasaki, R.I.; Fenton, R.M. High- versus low-top shoes for the prevention of ankle sprains in basketball players. A prospective randomized study. Am. J. Sports Med. 1993, 21, 582–585. [Google Scholar] [CrossRef] [PubMed]
- Ottaviani, R.A.; Ashton-Miller, J.A.; Kothari, S.U.; Wojtys, E.M. Basketball shoe height and the maximal muscular resistance to applied ankle inversion and eversion moments. Am. J. Sports Med. 1995, 23, 418–423. [Google Scholar] [CrossRef] [PubMed]
- Cronin, A. Effect of Selected Ankle Supports on Resistance to Inversion Force and Range of Motion. B.Sc., University of Ottawa: Ottawa, ON, Canada, 2001. [Google Scholar]
- Dick, R.; Ferrara, M.S.; Agel, J.; Courson, R.; Marshall, S.W.; Hanley, M.J.; Reifsteck, F. Descriptive epidemiology of collegiate men’s football injuries: National Collegiate Athletic Association Injury Surveillance System, 1988–1989 through 2003–2004. J. Athl. Train. 2007, 42, 221–233. [Google Scholar] [PubMed]
- Hootman, J.M.; Dick, R.; Agel, J. Epidemiology of collegiate injuries for 15 sports: Summary and recommendations for injury prevention initiatives. J. Athl. Train. 2007, 42, 311–319. [Google Scholar] [PubMed]
- Hunt, K.J.; George, E.; Harris, A.H. S.; Dragoo, J.L. Epidemiology of syndesmosis injuries in intercollegiate football: Incidence and risk factors from National Collegiate Athletic Association injury surveillance system data from 2004–2005 to 2008–2009. Clin. J. Sport Med. Off. J. Can. Acad. Sport Med. 2013, 23, 278–282. [Google Scholar] [CrossRef]
- Ricard, M.D.; Schulties, S.S.; Saret, J.J. Effects of high-top and low-top shoes on ankle inversion. J. Athl. Train. 2000, 35, 38–43. [Google Scholar] [PubMed]
- Johnson, G.R.; Dowson, D.; Wright, V. A biomechanical approach to the design of football boots. J. Biomech. 1976, 9, 581–585. [Google Scholar] [CrossRef] [PubMed]
- Iacovelli, J; Yang, J.; Thomas, G.; Wu, H.; Schiltz, T.; Foster, D.T. The effect of field condition and shoe type on lower extremity injuries in American football. Br. J. Sports Med. 2013, 47, 789–793. [Google Scholar] [CrossRef] [PubMed]
- Rovere, G.D.; Clarke, T.J.; Yates, C.S.; Burley, K. Retrospective comparison of taping and ankle stabilizers in preventing ankle injuries. Am. J. Sports Med. 1988, 16, 228–233. [Google Scholar] [CrossRef] [PubMed]
- Verhagen, E.A.; van der Beek, A.J.; van Mechelen, W. The effect of tape, braces and shoes on ankle range of motion. Sports Med. 2001, 31, 667–677. [Google Scholar] [CrossRef] [PubMed]
- Bauer, H. The effect of high-top and low-cut football shoes on speed and agility. Athl. J. 1970, 50, 74–75, 86–87. [Google Scholar]
- Clinghan, R.; Arnold, G.P.; Drew, T.S.; Cochrane, L.A.; Abboud, R.J. Do you get value for money when you buy an expensive pair of running shoes? Br. J. Sports Med. 2008, 42, 189–193. [Google Scholar] [CrossRef] [PubMed]
- Lam, W.K.; Sterzing, T.; Cheung, J.T.M. Reliability of a basketball specific testing protocol for footwear fit and comfort perception. Footwear Sci. 2011, 3, 151–158. [Google Scholar] [CrossRef]
- Miller, J.E.; Nigg, B.M.; Liu, W.; Stefanyshyn, D.J.; Nurse, M.A. Influence of foot, leg and shoe characteristics on subjective comfort. Foot Ankle Int. 2000, 21, 759–767. [Google Scholar] [PubMed]
- Mills, K.; Blanch, P.; Vicenzino, B. Identifying clinically meaningful tools for measuring comfort perception of footwear. Med. Sci. Sports Exerc. 2010, 42, 1966–1971. [Google Scholar] [CrossRef] [PubMed]
- Mündermann, A.; Stefanyshyn, D.J.; Nigg, B.M. Relationship between footwear comfort of shoe inserts and anthropometric and sensory factors. Med. Sci. Sports Exerc. 2001, 33, 1939–1945. [Google Scholar] [CrossRef] [PubMed]
- Reinschmidt, C.; Nigg, B.M. Current issues in the design of running and court shoes. Sportverletz. Sportschaden 2000, 14, 71–81. [Google Scholar] [CrossRef] [PubMed]
- Faganel, P.P.; Drake, T.C.; Dahl-Miller, A.R.; Senchina, D.S. Height variations in football shoes (cleats) for running backs and receivers may not alter ankle spatting effects in football field drills. J. Undergrad. Res. Sch. Excel. 2013, 4, 6–10. [Google Scholar]
- Hagen, M.; Hömme, A.K.; Umlauf, T.; Hennig, E.M. Effects of different shoe-lacing patterns on dorsal pressure distribution during running and perceived comfort. Res. Sports Med. 2010, 18, 176–187. [Google Scholar] [CrossRef] [PubMed]
- Reuter, G.; Dahl, A.; Senchina, D. Ankle spatting compared to bracing or taping during maximal-effort sprint drills. Int. J. Exerc. Sci. 2011, 4, 49–64. [Google Scholar]
- Hennig, E.M. Biomechanical aspects of footwear. In Routledge Handbook of Biomechanics and Human Movement Science; Hong, Y., Bartlett, R., Eds.; Routledge: Abingdon, Oxon, UK, 2008. [Google Scholar]
- Petrov, O.; Blocher, K.; Bradbury, R.L.; Saxena, A.; Toy, M.L. Footwear and ankle stability in the basketball player. Clin. Podiatr. Med. Surg. 1988, 5, 275–290. [Google Scholar] [PubMed]
- Cordova, M.L.; Ingersoll, C.D.; LeBlanc, M.J. Influence of ankle support on joint range of motion before and after exercise: A meta-analysis. J. Orthop. Sports Phys. Ther. 2000, 30, 170–177. [Google Scholar] [CrossRef] [PubMed]
- Meana, M.; Alegre, L.M.; Elvira, J.L.L.; Aguado, X. Kinematics of ankle taping after a training session. Int. J. Sports Med. 2008, 29, 70–76. [Google Scholar] [CrossRef] [PubMed]
- Trower, B.; Buxton, B.; German, T.; Joyner, A.; McMillan, J.; Tsang, K. The effects of prophylactic taping on ankle joint motion and performance. J. Athl. Train. 1997, 42, S14. [Google Scholar]
- Verhagen, E.A.; van Mechelen, W.; de Vente, W. The effect of preventive measures on the incidence of ankle sprains. Clin. J. Sport Med. 2000, 10, 291–296. [Google Scholar] [CrossRef] [PubMed]
- Frederick, E.C. Biomechanical consequences of sport shoe design. Exerc. Sport Sci. Rev. 1986, 14, 375–400. [Google Scholar] [PubMed]
- Robinson, J.R.; Frederick, E.C.; Cooper, L.B. Systematic ankle stabilization and the effect on performance. Med. Sci. Sports Exerc. 1986, 18, 625–628. [Google Scholar] [CrossRef] [PubMed]
- Abián-Vicén, J.; Alegre, L.M.; Fernández-Rodríguez, J.M.; Aguado, X. Prophylactic ankle taping: Elastic versus inelastic taping. Foot Ankle Int. 2009, 30, 218–225. [Google Scholar] [CrossRef] [PubMed]
- Hardy, L.; Huxel, K.; Brucker, J.; Nesser, T. Prophylactic ankle braces and star excursion balance measures in healthy volunteers. J. Athl. Train. 2008, 43, 347–351. [Google Scholar] [CrossRef] [PubMed]
- Papadopoulos, E.S.; Nikolopoulos, C.S.; Athanasopoulos, S. The effect of different skin-ankle brace application pressures with and without shoes on single-limb balance, electromyographic activation onset and peroneal reaction time of lower limb muscles. Foot 2008, 18, 228–236. [Google Scholar] [CrossRef]
- Refshauge, K.M.; Kilbreath, S.L.; Raymond, J. The effect of recurrent ankle inversion sprain and taping on proprioception at the ankle. Med. Sci. Sports Exerc. 2000, 32, 10–15. [Google Scholar] [CrossRef] [PubMed]
- Robbins, S.; Waked, E.; Rappel, R. Ankle taping improves proprioception before and after exercise in young men. Br. J. Sports Med. 1995, 29, 242–247. [Google Scholar] [CrossRef] [PubMed]
- Simoneau, G.G.; Degner, R.M.; Kramper, C.A.; Kittleson, K.H. Changes in ankle joint proprioception resulting from strips of athletic tape applied over the skin. J. Athl. Train. 1997, 32, 141–147. [Google Scholar] [PubMed]
- You, S.H.; Granata, K.P.; Bunker, L.K. Effects of circumferential ankle pressure on ankle proprioception, stiffness, and postural stability: A preliminary investigation. J. Orthop. Sports Phys. Ther. 2004, 34, 449–460. [Google Scholar] [CrossRef] [PubMed]
- Shapiro, M.S.; Kabo, J.M.; Mitchell, P.W.; Loren, G.; Tsenter, M. Ankle sprain prophylaxis: An analysis of the stabilizing effects of braces and tape. Am. J. Sports Med. 1994, 22, 78–82. [Google Scholar] [CrossRef] [PubMed]
- Garrick, J.G.; Requa, R.K. Role of external support in the prevention of ankle sprains. Med. Sci. Sports 1973, 5, 200–203. [Google Scholar] [PubMed]
- Torg, J.S.; Quedenfeld, T. Knee and ankle injuries traceed to shoes and cleats. Phys. Sportsmed. 1973, 1, 39–43. [Google Scholar]
- Clarke, T.E.; Frederick, E.C.; Hamill, C.L. The effects of shoe design parameters on rearfoot control in running. Med. Sci. Sports Exerc. 1983, 15, 376–381. [Google Scholar] [PubMed]
- Rowson, S.; McNally, C.; Duma, S.M. Can footwear affect achilles tendon loading? Clin. J. Sport Med. Off. J. Can. Acad. Sport Med. 2010, 20, 344–349. [Google Scholar] [CrossRef]
- Stussi, A.; Stacoff, A.; Tiegermann, V. Rapid sideward movements in tennis. In The Shoe in Sport; Segesser, B., Pforringer, W., Eds.; Year Book Medical Publishers: Chicago, IL, USA, 1989; pp. 53–62. [Google Scholar]
- Avramakis, E.; Stakoff, A.; Stüssi, E. [Effect of shoe shaft and shoe sole height on the upper ankle joint in lateral movements in floorball (uni-hockey)]. Sportverletz. Sportschaden Organ Ges. Für Orthop.-Traumatol. Sportmed 2000, 14, 98–106. [Google Scholar]
- Stacoff, A.; Steger, J.; Stüssi, E.; Reinschmidt, C. Lateral stability in sideward cutting movements. Med. Sci. Sports Exerc. 1996, 28, 350–358. [Google Scholar] [PubMed]
- Stacoff, A.; Avramakis, E.; Siegenthaler, R.; Stussi, E. High-cut shoes and lateral heel stability during cutting movements in floorball. J. Biomech. 1998, 31, 178. [Google Scholar] [CrossRef]
- Sussman, D.H.; Hamill, J.; Miller, M. Effect of shoe height and prophylactic taping on ankle joint motion during simulated basketball rebounding. In Biomechanics XI-B; De Groot, B., Hollander, A.P., Huijing, P.A., van Ingen Schenau, G.J., Eds.; Free University Press: Amsterdam, The Netherlands, 1988; pp. 826–830. [Google Scholar]
- Vanwanseele, B.; Stuelcken, M.; Greene, A.; Smith, R. The effect of external ankle support on knee and ankle joint loading in netball players. J. Foot Ankle Res. 2012, 5, 511–515. [Google Scholar] [CrossRef]
© 2014 by the authors; licensee MDPI, Basel, Switzerland. This article is an open access article distributed under the terms and conditions of the Creative Commons Attribution license (http://creativecommons.org/licenses/by/4.0/).
Share and Cite
Daack, C.W.; Senchina, D.S. A Field Study of Low-Top vs. Mid-Top vs. High-Top American Football Cleats. Sports 2014, 2, 85-98. https://doi.org/10.3390/sports2040085
Daack CW, Senchina DS. A Field Study of Low-Top vs. Mid-Top vs. High-Top American Football Cleats. Sports. 2014; 2(4):85-98. https://doi.org/10.3390/sports2040085
Chicago/Turabian StyleDaack, Calvin W., and David S. Senchina. 2014. "A Field Study of Low-Top vs. Mid-Top vs. High-Top American Football Cleats" Sports 2, no. 4: 85-98. https://doi.org/10.3390/sports2040085
APA StyleDaack, C. W., & Senchina, D. S. (2014). A Field Study of Low-Top vs. Mid-Top vs. High-Top American Football Cleats. Sports, 2(4), 85-98. https://doi.org/10.3390/sports2040085
