Abstract
Strategies to early develop and implement motor skill promotion in preschoolers are lacking. Thus, we examined the effects of a card-based exercise promotion program in a kindergarten setting. 214 preschool children (5.5 ± 0.6 y, range 4.2–6.7 y) were examined in the present intervention study. Body mass index (BMI) and waist circumference were measured. Children were randomly assigned to the KIDZ-Box® physical activity intervention program (INT: n = 107) or the control group (CON: n = 107). Children were trained daily for 15 min over 7 month at the preschool for agility, balance, endurance and jump performance, employing the card-based KIDZ-Box® media package. At pre- and post-testing, dynamic balance, jump and agility performance were tested. Cross-sectionally, agility testing differed between sexes (p = 0.01) and BMI (p = 0.02). Trends towards a significant association were found between BMI and side-to-side jumping (p = 0.1) and beam balancing (p = 0.05). Relevant interventional effects favoring the intervention group were slightly found for agility (p = 0.04, ηp2 = 0.02) and moderately for side-to-side jumping (p < 0.001, ηp2 = 0.08). Balance performance did not relevantly improve. As jumping cards have been used frequently by the teachers, jumping improvements are plausible. The activity cards are feasibly applicable but should be employed with more structure during longer training sessions.
1. Introduction
Childhood obesity increased within the last decades all over the world [1]. Although a current stabilization of childhood overweight (around 12.5%) and obesity (4% to 6%) has been reported for Switzerland, the prevention of childhood obesity still remains an important public health issue [2]. It has been shown that childhood overweight and obesity tracks into adulthood [3,4]. Therefore, further reductions of childhood obesity levels through physical activity (PA) are mandatorily required [5].
Recent PA guidelines recommend that preschool children should accumulate at least 3 h of PA spread throughout the day [6]. The Canadian guidelines additionally recommend accumulation of at least 1 h of moderate to vigorous PA (MVPA) daily [7]. Only half of the preschoolers have been reported to meet 60 min of PA a day [8]. As low competence in fundamental motor skills (FMS) is associated with lower physical activity [9], and given the early childhood years are critical to learning FMS, there is a need for specific FMS programs in preschools. A couple of studies revealed evidence that appropriate amounts of physical activity lead to adequate motor skills development during the preschool years [10,11,12]. These studies, however, also emphasized the bidirectional or reciprocal interrelation between FMS and PA since higher levels of FMS can lead to higher PA-levels. But specific requirements, such as PA, need to be specifically trained. This is of even greater importance, since comparatively low motor skill abilities are linked to higher body fat [13] probably caused by lower amounts of PA in general and health-related PA in particular [14].
Preschool years are regarded as a critical period in developing children’s physical activity habits [15] and, in turn, to achieve well-developed FMS. This is of more interest, since higher levels of physical activity and motor skill levels seem to increase future sports club participation and self-efficacy [16]. As shown in a previous meta-analysis interventions are improving motor skills in children [17]. Therefore intervention tools to improve motor skills are highly recommended.
Against this background, the present study mainly focused on examining the influence of a daily 15 min lasting physical activity program on BMI and motor skills, such as agility, balance, and jump performance. Thus, we aimed at evaluating a motor skill enhancing media tool within an interventional training program for preschoolers. Thereby, the employed physical activity cards may serve as an appropriate tool box (KIDZ-Box®, Health Promotion Switzerland, Bern, Switzerland) to support kindergarten’s, teacher’s and children’s motivation to maintain physically active during everyday life.
2. Methods
2.1. Study Design
The present study was planned as a randomized control trial (RCT). Two cantons of the German speaking part of Switzerland took part in the study. 14 preschool classes from the canton Zug served as the intervention group and 7 classes from the canton Schwyz served as the control group. Due to ethical reasons, a randomization was not possible. Therefore, interval matching was applied. Interval matching has been performed on the basis of the covariates age, gender and BMI (continuous) using the full dataset. After fitting the values, every subject has been assigned to one of ten similar intervals. The same number of subject of every group was randomly assigned to these intervals. Finally 107 children per group have been matched for analysis.
The study was approved by the ethics committee of the University of Basel (EKBB, Basel, Switzerland) and all children, as well as their parents, signed an informed written consent to participate in the study. Teachers and parents were a priori informed about the study context (promoting children’s health), but did not receive detailed information on the specific objectives of the study.
2.2. Participants
378 preschool children (N = 246, canton Zug; N = 132, canton Schwyz) between 4 and 6 years of age were initially recruited for the present study. In total, 354 children were allowed by their parents to join the study (94%). Due to inclusion criteria (healthy children, no pulmonic, cardiac or neurological disease), 321 children (171 girls, 150 boys) were included (Zug N = 206, Schwyz N = 115). Only children of the 1st and 2nd preschool year from public full-time preschools with a signed parental informed consent were examined. Exclusion criteria were acute illness, injury, cognitive and physical disability. Out of this sample, the 115 children from the canton Zug served as control sample (CON). The remaining children (N = 204) were assigned to our KIDZ-Box® physical activity intervention program (INT). Dropouts from the study occurred due to removal, illness, injury and holiday (N = 5). After interval matching adjusted for age, gender and BMI a total of 214 children were finally analyzed in the study (Zug N = 107, Schwyz N = 107; (5.5 ± 0.6 y, range 4.2–6.7 y). The flow chart of the recruitment process is provided in Figure 1.
Figure 1.
Flow chart of the study according to CONSORT.
Figure 1.
Flow chart of the study according to CONSORT.

2.3. Anthropometrics
Body height was measured without shoes to the nearest 0.2 cm using a mounted stadiometer (Seca, Basel, Switzerland). Body mass was assessed in light clothing and without shoes to the nearest 50 g with an electronic scale (Seca, Basel, Switzerland). BMI was calculated using body mass divided by height in meters squared, and children were graded as either non-overweight or overweight/obese based on the International Obesity Taskforce (IOTF) reference for children [18].
2.4. KIDZ-Box® Intervention
The children of the INT were instructed to train for agility, balance, endurance and jump performance using the KIDZ-Box® at the preschool. This teaching material was specifically developed for preschoolers based on typical preschool movement patterns by the Department of Sport, Exercise and Health of the University of Basel (Basel, Switzerland) in cooperation with Health Promotion Switzerland and consisted of different cards providing 20 task and information cards for cardiac function (3 cards: running), strength (3 cards), dexterity (7 cards), playing (4 cards), nutrition (4 cards), bone health (3 cards) (Figure 2, for more information see: http://gesundheitsfoerderung.ch/bevoelkerung/produkte-und-dienstleistungen/ernaehrung-und-bewegung/kidz-box.html). The exercises with special emphasize on jumping, muscle strength, agility and balance (dexterity) as well as endurance were used. In order to provide training progressions and to avoid underchallanges, exercise modifications were also provided for each exercise on the cards. Prior to the start of the intervention period, all preschool teachers were instructed in detail by research assistants. Within a total time frame of 7 months, the KIDZ-Box® activity cards were employed daily for 15 min. At the end of the intervention period, all cards should have been used. Card changes and emphasizes were accomplished by the teachers.
Figure 2.
The KIDZ-Box® exercise toolbox including 20 exercise cards (A), with illustrative exercise description (B) and explanations and task variations (C), respectively.
Figure 2.
The KIDZ-Box® exercise toolbox including 20 exercise cards (A), with illustrative exercise description (B) and explanations and task variations (C), respectively.

2.5. Motor Skill Testing
Pre- and post-testing were conducted by an experienced test team at the preschool. Before testing, all children performed a short 5-min warm-up including gymnastic, plyometrics, agility and balance exercises. Testing consisted of complex agility testing, repetitive side-to-side jumping and dynamic beam balancing.
2.5.1. Agility
Agility performance was assessed by employing an obstacle course. This test has been previously used and is described in detail elsewhere [19]. Children were asked to run 1 m from a cone to a bench, jumping over it (26 cm height, 28 cm width), turning around, under-passing the bench and running back to the cone three times in a row. The test was assessed by the time needed to complete the obstacle course. Time was measured in seconds using a stopwatch. This task had to be performed two times as fast as possible. The fastest trial was included into further analysis. One practice trial was conducted prior to testing.
2.5.2. Jumping Performance
Repetitive jumping performance was measured by alternating side-to-side jumping. During jumping, both legs had to be kept together. Jump counts within 15 s was assessed [19]. Prior to testing, children were allowed to perform five test jumps. This task had to be performed two times as fast as possible. The sum of the two counts was used for further analysis.
2.5.3. Balance
Dynamic balance performance was tested by barefoot forward balancing using a 3 m long and 3 cm wide bar [20]. Total step count until the foot touched the ground was counted. Prior to testing, one test trial was allowed. Then, three test trials were performed. The sum (step counts) of the best trial was included into further analysis. A good reliability has been reported elsewhere [21].
3. Statistics
The power analysis provided an 80% power (1-β error) to detect small effect sizes with an alpha significance level of 5% when including a total sample size of 200 subjects.
Motor skill parameters were tested applying repeated measures analyses of variance (rANOVA). For each parameter (balance step count, jumping counts and agility course time) a separate two (group: INT vs. CON) × 2 (time: pre vs. post) rANOVA were conducted, adjusted for age, sex and BMI. In case of a significant time × group interaction, Tukey’s HSD post-hoc testing was conducted. The significance level was set at * p < 0.05, ** p < 0.01, and *** p < 0.001. To estimate ANOVA effect sizes, partial eta squared (ηp2) was computed with ηp2 ≥ 0.01 indicating small, ≥0.059 medium and ≥0.138 large effects [22].
4. Results
Anthropometrical characteristics of the analyzed sample are presented in Table 1.
Table 1.
Anthropometrical data of intervention (INT) and control group (CON).
| INT (N = 107) | CON (N = 107) | |
|---|---|---|
| Gender (n, female/male) | 64/43 | 64/43 |
| Age (years) | 5.5 ± 0.6 | 5.4 ± 0.6 |
| Height (m) | 1.13 ± 0.06 | 1.14 ± 0.06 |
| Weight (kg) | 20.0 ± 2.7 | 20.6 ± 3.7 |
| BMI (kg m−2) | 15.5 ± 1.2 | 15.7 ± 2.1 |
| Obese N (%) | 0 (0) | 5 (4.7) |
| Overweight N (%) | 5 (4.7) | 5 (4.7) |
Card use has been evaluated after the intervention [23]. Each of the 20 activity cards was used by the teachers between 31% and 92%. Jumping cards were used most frequently.
4.1. Cross-Sectional Association between Motor Skills, Sex and Overweight
At baseline differences for agility testing were observed between sexes (boys: 17.0 s (SD 3.0) vs. girls: 18.4 s (4.1), p = 0.01; ηp2 = 0.03) as well as between overweight and non-overweight (non-overweight: 17.7 (3.7) vs. overweight: 20.1 (4.2), p = 0.01, ηp2 = 0.03). No sex differences were found in side-to-side jumping repetitions (boys: 33.2 (12.1) vs. girls: 32.6 (10.7), p = 0.7, ηp2 < 0.001). But differences were found between overweight and non-overweight (non-overweight: 33.3 (11.2) vs. overweight: 27.0 (10.5), p = 0.04, ηp2 = 0.02) for side-to-side jumping. Summed up steps during beam balancing did not reveal differences between sexes (boys: 5.6 (3.6) vs. girls: 6.4 (3.8), p = 0.1, ηp2 = 0.01) but a tendency towards differences in BMI (non-overweight: 6.3 (3.8) vs. overweight: 4.3 (2.7), p = 0.05, ηp2 = 0.02) was observed.
4.2. Interventional Changes of Anthropometry and Motor Skill Parameters
Means and standard deviations in BMI and motor skill abilities for INT and CON during pre and post testing are provided in Table 2.
Table 2.
Mean and standard deviation of anthropometrics and motor skill parameters before and after intervention.
| Parameter | INT (N = 107) | CON (N = 107) | p (time) | ηp2 | p (treatment × time) | ηp2 | ||
|---|---|---|---|---|---|---|---|---|
| Pretest | Posttest | Pretest | Posttest | |||||
| Mean (SD) | Mean (SD) | Mean (SD) | Mean (SD) | |||||
| BMI (kg·m−2) * | 15.5 (1.2) | 15.6 (1.3) | 15.7 (2.1) | 15.7 (2.1) | 0.3 | 0.005 | 0.5 | 0.002 |
| Agility (s) | 17.2 (3.2) | 15.0 (2.4) | 18.5 (4.1) | 17.1 (2.6) | <0.001 | 0.3 | 0.03 | 0.02 |
| Side-to-side jumping (jump count) | 35.1 (10.9) | 45.8 (10.0) | 32.0 (3.5) | 38.3 (10.0) | <0.001 | 0.6 | <0.001 | 0.09 |
| Balancing (sum of step count) | 8.1 (3.7) | 8.2 (4.5) | 6.2 (3.8) | 8.2 (4.7) | <0.001 | 0.2 | 0.9 | <0.001 |
Adjusted for age, sex and BMI; * adjustment was done without children’s BMI.
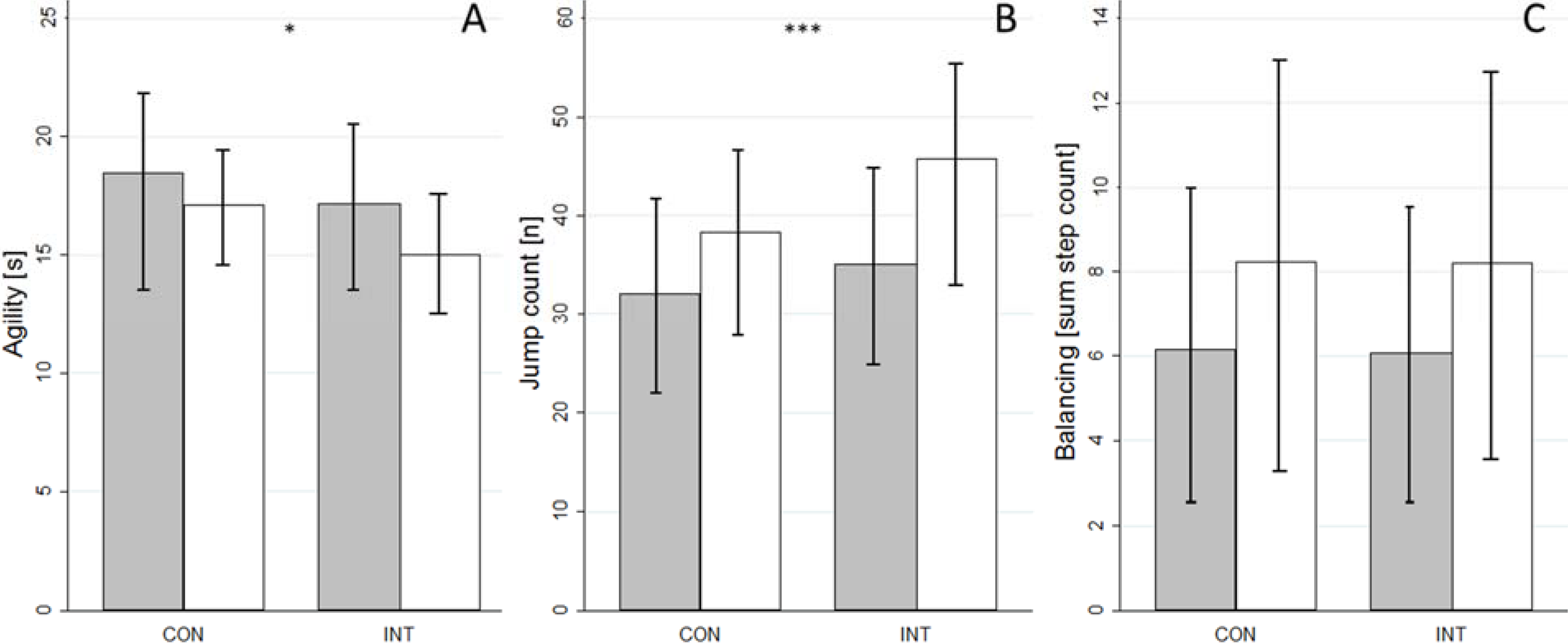
A time-effect (F = 94.82, p < 0.001, ηp2 = 0.3) and a group × time interaction effect were found for agility testing (F = 5.12, p = 0.03, ηp2 = 0.02) between pre- and post-testing (Figure 3A). However, post hoc testing did not reveal difference for either group (p > 0.2). Side-to-side jumping also revealed a small time-effect (F = 330.77, p < 0.001, ηp2 = 0.6) and a moderate group × time interaction (F = 21.58, p < 0.001, ηp2 = 0.09) (Figure 3B). Post-hoc testing revealed differences between pre- and post-testing for INT and CON as well. However, the improvement was higher for INT. No group × time interaction was found for balance testing (F = 0.03, p = 0.9, ηp2 < 0.001) between pre- and post-testing. A significant and large time effect has been observed for balance testing (F = 49.86, p < 0.001, ηp2 = 0.2) (Figure 3C).
Figure 3.
Agility (A), jump (B) and balance (C) performance for the control group (CON) and intervention group (INT) before (grey) and after (white) the intervention period. * p < 0.05; *** p < 0.001.
Figure 3.
Agility (A), jump (B) and balance (C) performance for the control group (CON) and intervention group (INT) before (grey) and after (white) the intervention period. * p < 0.05; *** p < 0.001.

5. Discussion
5.1. Main Results
The present cross-sectional data showed that overweight children demonstrate a lower performance in motor skill tests than normal weighted children. The KIDZ-Box® intervention has the potential to improve agility performance, however, repetitive side-to-side jumping, specific balance performance, and anthropometrics were not affected in this study.
5.2. Associations of Motor Skills with Overweight and Sex
Concerning motor skill abilities, we found that agility performance is affected by overweight. Side-to-side jumping performance also seemed to be negatively altered in overweight children. In both tasks, increased body mass adversely affected total time needed to complete the agility course and total jump counts. These findings have been recently highlighted in a large sample of obese US preschoolers that also showed decreased hopping and jumping performance, compared to their non-obese counterparts [24]. In line with these findings, a large Swiss study corroboratively found an impaired performance of overweight children in agility testing [25]. Other studies corroboratively found similar associations between motor skill ability and overweight status in this age group [26,27,28]. Graf and co-workers additionally found a link between overweight and endurance performance [29]. Since overweight children also frequently develop impaired musculoskeletal function, it seems likely that motor tasks requiring high-energy expenditures are difficult to perform and maintain for these children. Studies about balancing skills in preschoolers are in line with our results, as impaired balance skills were shown in overweight children [27,30]. Differences in motor skills depending on overweight are alarming, especially since differences present in this young age group might be more pronounced in older children.
Furthermore, we found significant better results in boys during agility testing. According to a meta-analysis about sex differences in motor performance [31] in this age group, boys are significantly better in strength, speed and endurance testing, but no sex differences were present in coordination testing until 11 years of age. No sex differences were found in side-to-side jumping. This finding was unexpected, but could occur because the side-to-side jumping test does not only require endurance and strength but also coordination. In coordination skills, as balancing, no sex differences have been expected.
5.3. Interventional Changes in Motor Skills and Anthropometry
In all motor skill testing, time-effects were observed. This may be because of the on-going maturation of several functional systems within this age group or because of the familiarization with the test conditions at the post-test [31,32]. A slightly relevant interaction effect was found for side-to-side jumping. Although both groups increased the agility skills between pre- and post-testing, the effect size was small. For side-to-side jumping, the effect size was medium with a difference between the groups favoring the intervention group. With regard to the jumping improvements, preschool teacher reported that jumping and hopping cards were preferably used [23]. Jumping and hopping require less space and have been reported as feasible and favored by the children. This observation might be in line with findings that preschool physical activity are often spontaneous, short and intermittent task with a large component of jumping and hopping activity patterns [33,34]. Regarding jumping and hopping, they have a high-energy expenditure and a beneficial impact on bone-health [35]; the value of repetitive jumping and hopping, combined with (agility) running should be highlighted. Balancing showed no significant differences between groups but an improvement over time in both groups. These findings agree with the fact that only few KIDZ-Box® cards are intended to improve balancing skills [23].
It has been shown that being physically active positively influences motor skill performance of preschoolers [10,36]. Therefore physical activity should be promoted. Also, adequate physical activity levels seem to improve motor performance that may enhance the participation of recreational sports participation during later childhood years [37]. In turn, children who practiced sports in a club environment seem to show better motor skills abilities [38,39]. Thus, higher amounts of suitable and appealing physical activity for overweight children should be increased in school- and club-settings.
As most of the studies revealed differences in endurance testing between overweight and non-overweight children and to meet required health-related total energy expenditures, it might be reasonable to provide less repetition of hopping tasks or running distances for obese children for each set and to provide more sets with more breaks in between. Thereby, higher amount of cumulative exercise bouts of shorter durations should be provided to achieve appropriate health-related energy expenditures. Since every KIDZ-Box® card always provides three exercise variations, the instructor can easily individualize the exercises for every child. Therefore, the motivation might stay high for every preschooler.
5.4. Strengths and Limitations
Some limitations need to be addressed. The sample of the present study does not represent the numbers of overweight and obese children reported in the whole Swiss population [2]. This could be explained by the fact that the two cantons Zug and Schwyz are two of the richest cantons of Switzerland with a comparatively high level of socio-economic status [40]. As shown in previous research, overweight and obesity in children is significantly associated with low socio-economic status of their parents [41]. The choice of exercises was made on an individual basis. Since the applicability and exercise choice of the KIDZ-Box® has been evaluated very positive by teachers and parents (18), we would recommend a disseminating use of the KIDZ-Box® across the preschool sector. The exercise emphasize per session, however, was set by the preschool teachers themselves. However, the chosen exercises were well documented. Due to organizational reasons, testing was performed at the preschool, not in our laboratory. Despite sufficient test-retest reliability of the applied tests, together with our school-setting approach, elevated baseline variability was found. Nevertheless, the KIDZ-Box® intervention led to slight improvements of agility and side-to-side jumping with a small and medium effect, respectively. The study approach (e.g., self-selected card use, no exercise professional for the intervention) provides a high external (ecological) validity. Thereby, the employed physical activity cards can serve as an assisting tool box (KIDZ-Box®) to support the motivation of kindergartens, teachers, parents, and children to stay physically active using various stimulating exercise cards with respective variations.
6. Conclusions and Perspectives
In conclusion, being overweight affected all motor skills, not only those that require high-energy expenditure tasks (hopping, agility), but also balancing. Small interventional changes of motor skills were found for agility and side-to-side jumping. Frequently applied jumping cards seem to account for the moderate effects in side-to-side jumping improvements. Balancing remained unchanged. Future research should focus on task-specific motor skill improvement and should include measure of endurance capacity (such as 20 m shuttle run). Moreover, future interventional exercise studies in this age group should be in a more structured fashion and supervised over longer session durations. The contents and progression levels should be more systematically employed. Thereby, the KIDZ-Box® card might be helpful to explain and illustrate motor skill tasks.
Acknowledgments
We thank all children, their parents, and teachers for their participation and for their confidence. We appreciate their engagement to compliantly follow all study requirements. We also appreciate the encouragement of F. Bürgi for her helpful advises on the manuscript and Anita Baumann as well as Nadine Siebenhaar for conducting the studies in the preschools.
Author Contributions
Lukas Zahner and Ralf Roth conceived and designed the experiments; Ralf Roth performed the experiments; Lars Donath and Katharina Imhof analyzed the data; Katharina Imhof contributed to data analyzing and manuscript writing; Lars Donath wrote the paper.
Conflicts of Interest
The authors declare no conflict of interest.
References
- Wang, Y.; Lobstein, T. Worldwide trends in childhood overweight and obesity. Int. J. Pediatr. Obes. 2006, 1, 11–25. [Google Scholar] [CrossRef] [PubMed]
- Aeberli, I.; Henschen, I.; Molinari, L.; Zimmermann, M.B. Stabilization of the prevalence of childhood obesity in Switzerland. Swiss Med. Wkly. 2010, 140, 1–3. [Google Scholar]
- Singh, A.S.; Mulder, C.; Twisk, J.W.; van Mechelen, W.; Chinapaw, M.J. Tracking of childhood overweight into adulthood: A systematic review of the literature. Obes. Rev. 2008, 9, 474–488. [Google Scholar] [CrossRef] [PubMed]
- Craigie, A.M.; Lake, A.A.; Kelly, S.A.; Adamson, A.J.; Mathers, J.C. Tracking of obesity-related behaviours from childhood to adulthood: A systematic review. Maturitas 2011, 70, 266–284. [Google Scholar] [CrossRef] [PubMed]
- Miyachi, M.; Kawano, H.; Sugawara, J.; Takahashi, K.; Hayashi, K.; Yamazaki, K.; Tabata, I.; Tanaka, H. Unfavorable effects of resistance training on central arterial compliance: A randomized intervention study. Circulation 2004, 110, 2858–2863. [Google Scholar] [CrossRef] [PubMed]
- Department of Health. Health Improvement and Protection. In Start Active, Stay Active: A Report on Physical Activity from the Four Home Countries’ Chief Medical Officers; Department of Health: London, UK, 2011. [Google Scholar]
- Tremblay, M.S.; Leblanc, A.G.; Carson, V.; Choquette, L.; Connor Gorber, S.; Dillman, C.; Duggan, M.; Gordon, M.J.; Hicks, A.; Janssen, I.; et al. Canadian physical activity guidelines for the early years (aged 0–4 years). Appl. Physiol. Nutr. Metab. 2012, 37, 345–369. [Google Scholar] [CrossRef] [PubMed]
- Tucker, P. The physical activity levels of preschool-aged children: A systematic review. Early Child. Res. Q. 2008, 23, 547–558. [Google Scholar] [CrossRef]
- Reilly, J.J. Physical activity, sedentary behaviour and energy balance in the preschool child: Opportunities for early obesity prevention. Proc. Nutr. Soc. 2008, 67, 317–325. [Google Scholar] [CrossRef] [PubMed]
- Burgi, F.; Meyer, U.; Granacher, U.; Schindler, C.; Marques-Vidal, P.; Kriemler, S.; Puder, J.J. Relationship of physical activity with motor skills, aerobic fitness and body fat in preschool children: A cross-sectional and longitudinal study (Ballabeina). Int. J. Obes. Lond. 2011, 35, 937–944. [Google Scholar] [CrossRef] [PubMed]
- Eliakim, A.; Nemet, D.; Balakirski, Y.; Epstein, Y. The effects of nutritional-physical activity school-based intervention on fatness and fitness in preschool children. J. Pediatr. Endocrinol. Metab. 2007, 20, 711–718. [Google Scholar] [CrossRef] [PubMed]
- Reilly, J.J.; Kelly, L.; Montgomery, C.; Williamson, A.; Fisher, A.; McColl, J.H.; Lo Conte, R.; Paton, J.Y.; Grant, S. Physical activity to prevent obesity in young children: Cluster randomised controlled trial. BMJ 2006, 333, 1041. [Google Scholar] [CrossRef] [PubMed]
- Okely, A.D.; Booth, M.L.; Chey, T. Relationships between body composition and fundamental movement skills among children and adolescents. Res. Q. Exerc. Sport 2004, 75, 238–247. [Google Scholar] [CrossRef] [PubMed]
- Fisher, A.; Reilly, J.J.; Kelly, L.A.; Montgomery, C.; Williamson, A.; Paton, J.Y.; Grant, S. Fundamental movement skills and habitual physical activity in young children. Med. Sci. Sports Exerc. 2005, 37, 684–688. [Google Scholar] [CrossRef] [PubMed]
- Ward, D.S.; Vaughn, A.; McWilliams, C.; Hales, D. Interventions for increasing physical activity at child care. Med. Sci. Sports Exerc. 2010, 42, 526–534. [Google Scholar] [CrossRef] [PubMed]
- Okely, A.D.; Booth, M.L. Mastery of fundamental movement skills among children in New South Wales: Prevalence and sociodemographic distribution. J. Sci. Med. Sport 2004, 7, 358–372. [Google Scholar] [CrossRef] [PubMed]
- Logan, S.W.; Robinson, L.E.; Wilson, A.E.; Lucas, W.A. Getting the fundamentals of movement: A meta-analysis of the effectiveness of motor skill interventions in children. Child Care Health Dev. 2012, 38, 305–315. [Google Scholar] [CrossRef] [PubMed]
- Cole, T.J.; Bellizzi, M.C.; Flegal, K.M.; Dietz, W.H. Establishing a standard definition for child overweight and obesity worldwide: International survey. BMJ 2000, 320, 1240. [Google Scholar] [CrossRef] [PubMed]
- Roth, K.; Mauer, S.; Obinger, M.; Ruf, K.C.; Graf, C.; Kriemler, S.; Lenz, D.; Lehmacher, W.; Hebestreit, H. Prevention through Activity in Kindergarten Trial (PAKT): A cluster randomised controlled trial to assess the effects of an activity intervention in preschool children. BMC Public Health 2010, 10, 410. [Google Scholar] [CrossRef] [PubMed]
- Burgi, F.; Niederer, I.; Schindler, C.; Bodenmann, P.; Marques-Vidal, P.; Kriemler, S.; Puder, J.J. Effect of a lifestyle intervention on adiposity and fitness in socially disadvantaged subgroups of preschoolers: A cluster-randomized trial (Ballabeina). Prev. Med. 2012, 54, 335–340. [Google Scholar] [CrossRef] [PubMed]
- Niederer, I.; Kriemler, S.; Zahner, L.; Bürgi, F.; Ebenegger, V.; Hartmann, T.; Meyer, U.; Schindler, C.; Nydegger, A.; Marques-Vidal, P.; et al. Influence of a lifestyle intervention in preschool children on physiological and psychological parameters (Ballabeina): Study design of a cluster randomized controlled trial. BMC Public Health 2009, 9, 94. [Google Scholar] [CrossRef] [PubMed]
- Cohen, J. Statistical Power Analysis for the Behavior Sciences, 2nd ed.; Lawrence Erlbaum Associates: Mahwah, NJ, USA, 1988. [Google Scholar]
- Ehmig, S.; Dunkel, A.; Lenares, J. Evaluation des Modulprojekts Kidz-Box im Kanton Zug; Health Promotion Switzerland: Lugano, Switzerland, 2009. [Google Scholar]
- Castetbon, K.; Andreyeva, T. Obesity and motor skills among 4 to 6-year-old children in the United States: Nationally-representative surveys. BMC Pediatr. 2012, 12, 28. [Google Scholar] [CrossRef] [PubMed]
- Wirth, B.; Knecht, C.; Humphreys, K. Spine day 2012: Spinal pain in Swiss school children- epidemiology and risk factors. BMC Pediatr. 2013, 13, 159. [Google Scholar] [CrossRef] [PubMed]
- Jones, R.A.; Okely, A.D.; Gregory, P.; Cliff, D.P. Relationships between weight status and child, parent and community characteristics in preschool children. Int. J. Pediatr. Obes. 2009, 4, 54–60. [Google Scholar] [CrossRef] [PubMed]
- Graf, C.; Koch, B.; Kretschmann-Kandel, E.; Falkowski, G.; Christ, H.; Coburger, S.; Lehmacher, W.; Bjarnason-Wehrens, B.; Platen, P.; Tokarski, W.; et al. Correlation between BMI, leisure habits and motor abilities in childhood (CHILT-project). Int. J. Obes. Relat. Metab. Disord. 2004, 28, 22–26. [Google Scholar] [CrossRef] [PubMed]
- Morano, M.; Colella, D.; Caroli, M. Gross motor skill performance in a sample of overweight and non-overweight preschool children. Int. J. Pediatr. Obes. 2011, 6 (Suppl. 2), 42–46. [Google Scholar] [CrossRef]
- Wearing, S.C.; Hennig, E.M.; Byrne, N.M.; Steele, J.R.; Hills, A.P. The impact of childhood obesity on musculoskeletal form. Obes. Rev. 2006, 7, 209–218. [Google Scholar] [CrossRef] [PubMed]
- Hondt, E.; Deforche, B.; de Bourdeaudhuij, I.; Lenoir, M. Relationship between motor skill and body mass index in 5- to 10-year-old children. Adapt Phys. Activ. Q. 2009, 26, 21–37. [Google Scholar] [PubMed]
- Thomas, J.R.; French, K.E. Gender differences across age in motor performance a meta-analysis. Psychol. Bull. 1985, 98, 260–282. [Google Scholar] [CrossRef] [PubMed]
- Matthiass, H. Reifung, Wachstum und Wachstumsstörungen des Haltungs-und Bewegungsapparates im Jugendalter; Karger: Basel, Switzerland, 1966; p. 113. [Google Scholar]
- Baquet, G.; Stratton, G.; van Praagh, E.; Berthoin, S. Improving physical activity assessment in prepubertal children with high-frequency accelerometry monitoring: A methodological issue. Prev. Med. 2007, 44, 143–147. [Google Scholar] [CrossRef] [PubMed]
- Bailey, R.C.; Olson, J.; Pepper, S.L.; Porszasz, J.; Barstow, T.J.; Cooper, D.M. The level and tempo of children’s physical activities: An observational study. Med. Sci. Sports Exerc. 1995, 27, 1033–1041. [Google Scholar] [CrossRef] [PubMed]
- Meyer, U.; Romann, M.; Zahner, L.; Schindler, C.; Puder, J.J.; Kraenzlin, M.; Rizzoli, R.; Kriemler, S. Effect of a general school-based physical activity intervention on bone mineral content and density: A cluster-randomized controlled trial. Bone 2011, 48, 792–797. [Google Scholar] [CrossRef] [PubMed]
- Stodden, D.F.; Goodway, J.D.; Langendorfer, S.J.; Roberton, M.A.; Rudisill, M.E.; Garcia, C.; Garcia, L.E. A developmental perspective on the role of motor skill competence in physical acitivity: An emergent relationship. Quest 2008, 60, 290–306. [Google Scholar] [CrossRef]
- Vandorpe, B.; Vandendriessche, J.; Vaeyens, R.; Pion, J.; Matthys, S.; Lefevre, J.; Philippaerts, R.; Lenoir, M. Relationship between sports participation and the level of motor coordination in childhood: A longitudinal approach. J. Sci. Med. Sport 2012, 15, 220–225. [Google Scholar] [CrossRef] [PubMed]
- Zahner, L.; Muehlbauer, T.; Schmid, M.; Meyer, U.; Puder, J.J.; Kriemler, S. Association of sports club participation with fitness and fatness in children. Med. Sci. Sports Exerc. 2009, 41, 344–350. [Google Scholar] [CrossRef] [PubMed]
- Jaakkola, T.; Kalaja, S.; Liukkonen, J.; Jutila, A.; Virtanen, P.; Watt, A. Relations among physical activity patterns, lifestyle activities, and fundamental movement skills for Finnish students in grade 7. Percept. Mot. Skills 2009, 108, 97–111. [Google Scholar] [CrossRef] [PubMed]
- Michaleff, Z.A.; Kamper, S.J.; Maher, C.G.; Evans, R.; Broderick, C.; Henschke, N. Low back pain in children and adolescents: A systematic review and meta-analysis evaluating the effectiveness of conservative interventions. Eur. Spine J. 2014, 23, 2046–2058. [Google Scholar] [CrossRef] [PubMed]
- Waddell, G. The Back Pain Revolution; Churchill Livingstone: Edinburgh, UK, 1998; Volume 2, p. 438. [Google Scholar]
© 2014 by the authors; licensee MDPI, Basel, Switzerland. This article is an open access article distributed under the terms and conditions of the Creative Commons Attribution license (http://creativecommons.org/licenses/by/4.0/).