Change-of-Direction Deficit and Positional Physical Profiles in Youth Futsal Players: A Cross-Sectional Study
Abstract
1. Introduction
2. Materials and Methods
2.1. Participants
2.2. Study Design
2.3. Procedures
2.3.1. Bilateral and Unilateral Countermovement Jumps
2.3.2. Bilateral and Unilateral Horizontal Jumps
2.3.3. 10 m and 25 m Sprint Test
2.3.4. Change of Direction—180° and COD Deficit
2.3.5. V-Cut Test and COD Deficit 25
2.4. Statical Analysis
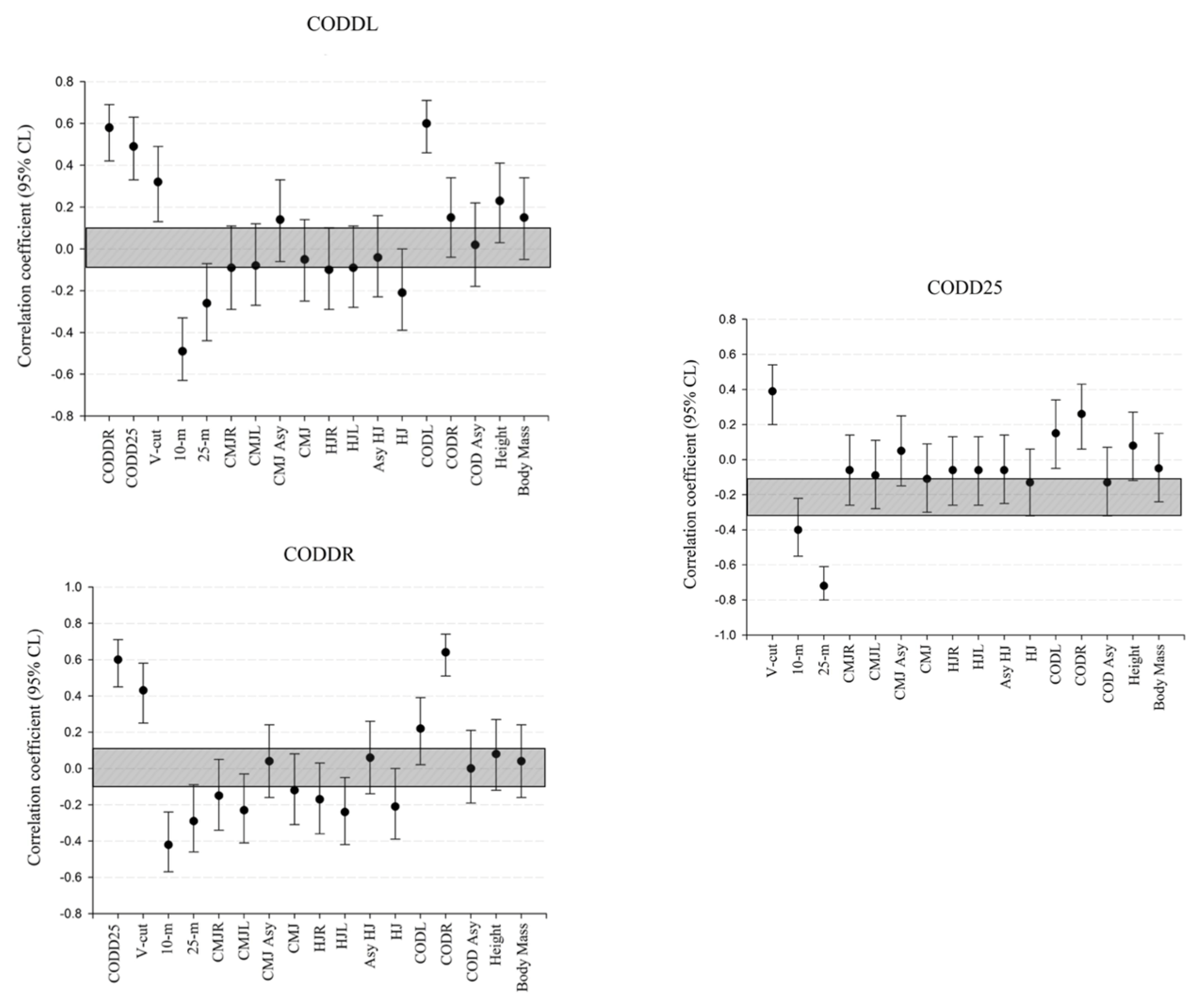
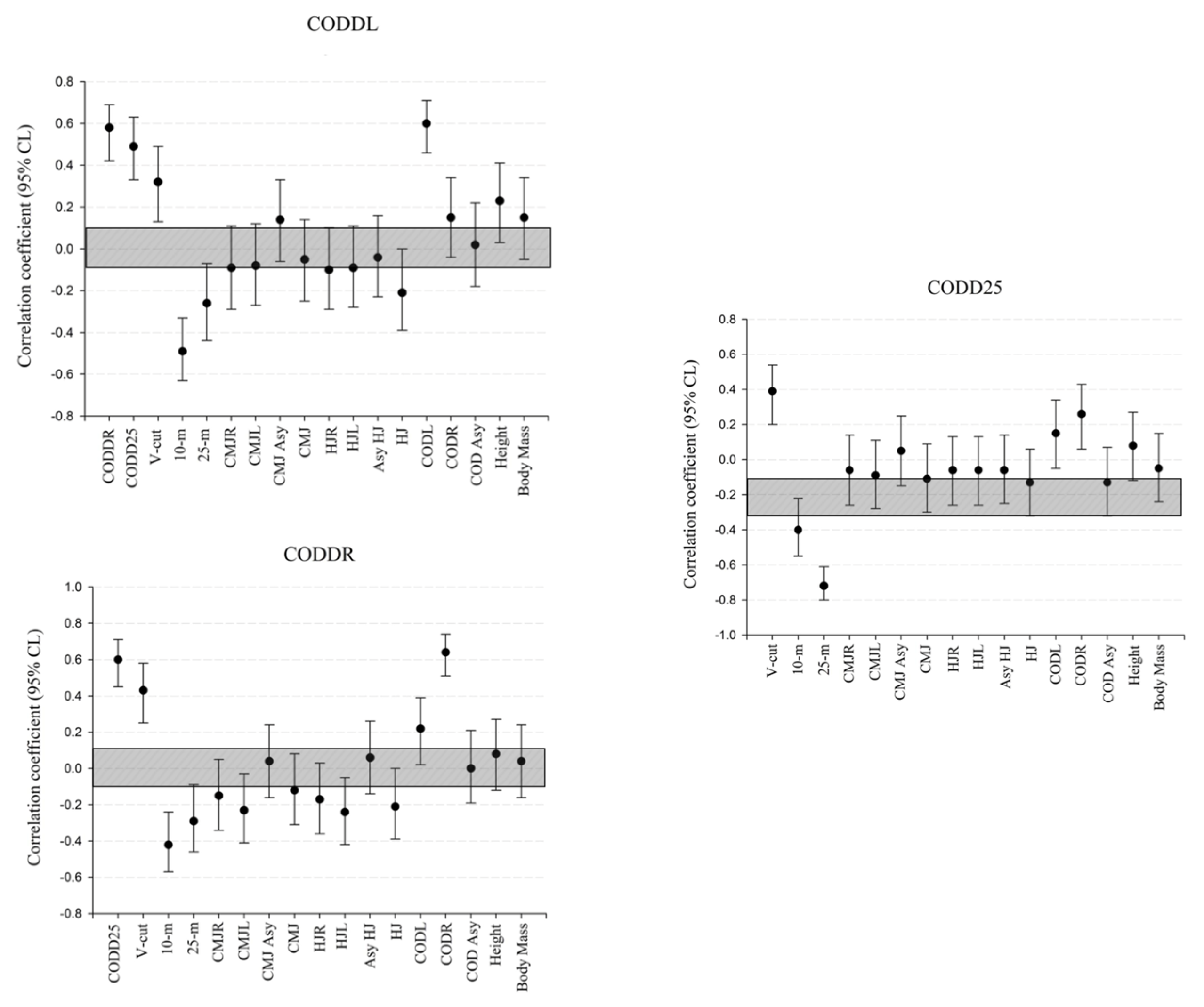
3. Results
4. Discussion
5. Conclusions
Author Contributions
Funding
Institutional Review Board Statement
Informed Consent Statement
Data Availability Statement
Acknowledgments
Conflicts of Interest
Abbreviations
| CMJ | Counter Movement Jump |
| COD | Change of Direction |
| CODD | Change-of-Direction Deficit |
| CV | Coefficient of Variation |
| ES | Effect Size |
| HJ | Horizontal Jump |
| ICC | Intraclass Correlation Coefficient |
References
- Matzenbacher, F.; Pasquarelli, B.; Rabelo, F.; Stanganelli, L.C.R. Demanda fisiológica no futsal competitivo. Características físicas e fisiológicas de atletas profissionais. Rev. Andal. Med. Deporte 2014, 7, 122–131. [Google Scholar] [CrossRef]
- Ayarra, R.; Nakamura, F.Y.; Iturricastillo, A.; Castillo, D.; Yanci, J. Differences in physical performance according to the competitive level in futsal players. J. Hum. Kinet. 2018, 64, 275. [Google Scholar] [CrossRef]
- Ribeiro, J.N.; Yousefian, F.; Illa, J.; Couceiro, M.; Sampaio, J.; Travassos, B. The Effects of Players’ Rotations on High-Intensity Activities in Professional Futsal Players. J. Hum. Kinet. 2024, 90, 215–226. [Google Scholar] [CrossRef]
- Castagna, C.; D’Ottavio, S.; Vera, J.G.; Álvarez, J.C.B. Match demands of professional Futsal: A case study. J. Sci. Med. Sport 2009, 12, 490–494. [Google Scholar] [CrossRef]
- Albalad-Aiguabella, R.; Mainer-Pardos, E.; Roso-Moliner, A.; Lozano, D.; Vicente-Rodríguez, G.; Muniz-Pardos, B. Fitness Profiles of Highly Trained Female Futsal Players According to Their Playing Positions. Int. J. Sports Physiol. Perform. 2025, 1, 1–8. [Google Scholar] [CrossRef] [PubMed]
- Lago-Fuentes, C.; Pérez-Celada, S.; Prieto-Troncoso, J.; Rey, E.; Mecías-Calvo, M. Anthropometric and conditional profile in semiprofessional futsal players: Differences between sexes. A case study. [Perfil antropométrico y condicional en jugadores semiprofesionales de futbol sala: Diferencias entre sexos. Un estudio de caso]. Rev. Int. Cienc. Deporte 2020, 16, 330–341. [Google Scholar] [CrossRef]
- Sekulic, D.; Gilic, B.; Foretic, N.; Spasic, M.; Uljević, O.; Veršić, Š. Fitness profiles of professional futsal players: Identifying age-related differences. Biomed. Hum. Kinet. 2020, 12, 212. [Google Scholar] [CrossRef]
- Sekulic, D.; Pojskic, H.; Zeljko, I.; Pehar, M.; Modric, T.; Versic, S.; Novak, D. Physiological and anthropometric determinants of performance levels in professional futsal. Front. Psychol. 2021, 11, 621763. [Google Scholar] [CrossRef] [PubMed]
- López-Fernández, J.; García-Unanue, J.; Sánchez-Sánchez, J.; Colino, E.; Hernando, E.; Gallardo, L. Bilateral asymmetries assessment in elite and sub-elite male futsal players. Int. J. Environ. Res. Public Health 2020, 17, 3169. [Google Scholar] [CrossRef]
- Gadea-Uribarri, H.; Mainer-Pardos, E.; Bores-Arce, A.; Albalad-Aiguabella, R.; López-García, S.; Lago-Fuentes, C. External Load Variability in Elite Futsal: Positional Demands and Microcycle Structuring for Player Well-Being and Performance. Sports 2025, 13, 7. [Google Scholar] [CrossRef]
- Illa, J.; Alonso, Ò.; Serpiello, F.; Hodder, R.; Reche, X. Demandas de carga externa y diferencias posicionales en fútbol sala de élite mediante tecnología UWB. Apunts. Educ. Física Deportes 2021, 3, 53–59. [Google Scholar] [CrossRef]
- Zeljko, I.; Spasic, M.; Sekulic, D. Predicting futsal specific change of direction speed and reactive agility; analysis of specific correlates in top-level players. Life 2020, 2019, 147. [Google Scholar]
- Loturco, I.; Pereira, L.A.; Reis, V.P.; Abad, C.C.; Freitas, T.T.; Azevedo, P.H.; Nimphius, S. Change of direction performance in elite players from different team sports. J. Strength Cond. Res. 2022, 36, 862–866. [Google Scholar] [CrossRef]
- Nimphius, S.; Callaghan, S.J.; Spiteri, T.; Lockie, R.G. Change of direction deficit: A more isolated measure of change of direction performance than total 505 time. J. Strength Cond. Res. 2016, 30, 3024–3032. [Google Scholar] [CrossRef] [PubMed]
- Freitas, T.T.; Pereira, L.A.; Alcaraz, P.E.; Azevedo, P.H.; Bishop, C.; Loturco, I. Percentage-based change of direction deficit: A new approach to standardize time-and velocity-derived calculations. J. Strength Cond. Res. 2022, 36, 3521–3526. [Google Scholar] [CrossRef]
- Belo, J.; Valente-dos-Santos, J.; Pereira, J.R.; Duarte-Mendes, P.; M Gamonales, J.; Paulo, R. Study of Body Composition and Motor Skills of Futsal Athletes of Different Competitive Levels. Sports 2024, 12, 137. [Google Scholar] [CrossRef]
- Spyrou, K.; Alcaraz, P.E.; Martínez-Serrano, A.; Marín-Cascales, E.; Ferioli, D.; Contreras, J.P.S.; Ribeiro, J.N.; Travassos, B.; Freitas, T.T. Exploring countermovement jump variables across competitive levels and playing positions in futsal. Front. Sports Act. Living 2024, 6, 1371467. [Google Scholar] [CrossRef]
- Gadea-Uribarri, H.; Lago-Fuentes, C.; Bores-Arce, A.; Villavicencio Álvarez, V.E.; López-García, S.; Calero-Morales, S.; Mainer-Pardos, E. External Load Evaluation in Elite Futsal: Influence of Match Results and Game Location with IMU Technology. J. Funct. Morphol. Kinesiol. 2024, 9, 140. [Google Scholar] [CrossRef]
- Ribeiro, J.N.; Yousefian, F.; Illa, J.; Ferraz, A.; Nakamura, F.; Travassos, B. Profiling the acceleration and deceleration components in elite futsal players. Int. J. Perform. Anal. Sport 2024, 24, 641–653. [Google Scholar] [CrossRef]
- Costa e Silva, L.; Silva, A.L.; Teles, J.; Fragoso, I. Study on the Influence of Physical Activity Intensity and Maturation on Sports Injuries in Children and Adolescents. Appl. Sci. 2024, 14, 10632. [Google Scholar] [CrossRef]
- Rinaldo, N.; Gualdi-Russo, E.; Zaccagni, L. Influence of size and maturity on injury in young elite soccer players. Int. J. Environ. Res. Public Health 2021, 18, 3120. [Google Scholar] [CrossRef]
- Helme, M.; Tee, J.; Emmonds, S.; Low, C. Does lower-limb asymmetry increase injury risk in sport? A systematic review. Phys. Ther. Sport 2021, 49, 204–213. [Google Scholar] [CrossRef] [PubMed]
- Fort-Vanmeerhaeghe, A.; Bishop, C.; Buscà, B.; Aguilera-Castells, J.; Vicens-Bordas, J.; Gonzalo-Skok, O. Inter-limb asymmetries are associated with decrements in physical performance in youth elite team sports athletes. PLoS ONE 2020, 15, e0229440. [Google Scholar] [CrossRef] [PubMed]
- Guan, Y.; Bredin, S.S.D.; Taunton, J.; Jiang, Q.; Wu, N.; Warburton, D.E.R. Predicting the Risk of Injuries Through Assessments of Asymmetric Lower Limb Functional Performance: A Prospective Study of 415 Youth Taekwondo Athletes. Orthop. J. Sports Med. 2023, 11, 23259671231185586. [Google Scholar] [CrossRef]
- Fort-Vanmeerhaeghe, A.; Benet-Vigo, A.; Montalvo, A.; Arboix, A.; Buscà, B.; Arboix-Alió, J. Relationship between Performance and Inter-Limb Asymmetries Using Flywheel Resistance Device in Elite Youth Female Basketball Players. Biology 2022, 11, 812. [Google Scholar] [CrossRef]
- McKay, A.K.A.; Stellingwerff, T.; Smith, E.S.; Martin, D.T.; Mujika, I.; Goosey-Tolfrey, V.L.; Sheppard, J.; Burke, L.M. Defining Training and Performance Caliber: A Participant Classification Framework. Int. J. Sports Physiol. Perform. 2022, 17, 317–331. [Google Scholar] [CrossRef]
- Jeffreys, I. Warm up revisited–the ‘ramp’ method of optimising performance preparation. Uksca J. 2006, 6, 15–19. [Google Scholar]
- Bishop, C.; Jarvis, P.; Turner, A.; Balsalobre-Fernandez, C. Validity and reliability of strategy metrics to assess countermovement jump performance using the newly developed my jump lab smartphone application. J. Hum. Kinet. 2022, 83, 185. [Google Scholar] [CrossRef]
- Balsalobre-Fernández, C.; Glaister, M.; Lockey, R.A. The validity and reliability of an iPhone app for measuring vertical jump performance. J. Sports Sci. 2015, 33, 1574–1579. [Google Scholar] [CrossRef] [PubMed]
- Bishop, C.; Read, P.; Lake, J.; Chavda, S.; Turner, A. Interlimb asymmetries: Understanding how to calculate differences from bilateral and unilateral tests. Strength Cond. J. 2018, 40, 1–6. [Google Scholar] [CrossRef]
- Mainer-Pardos, E.; Álvarez, V.E.V.; Moreno-Apellaniz, N.; Gutiérrez-Logroño, A.; Calero-Morales, S. Effects of a neuromuscular training program on the performance and inter-limb asymmetries in highly trained junior male tennis players. Heliyon 2024, 10, e27081. [Google Scholar] [CrossRef]
- Hopkins, W.; Marshall, S.; Batterham, A.; Hanin, J. Progressive statistics for studies in sports medicine and exercise science. Med. Sci. Sports Exerc. 2009, 41, 3. [Google Scholar] [CrossRef] [PubMed]
- Baroni, B.M.; Leal Junior, E.C. Aerobic capacity of male professional futsal players. J. Sports Med. Phys. Fit. 2010, 50, 395–399. [Google Scholar]
- Martinez-Riaza, L.; Herrero-Gonzalez, H.; Lopez-Alcorocho, J.M.; Guillen-Garcia, P.; Fernandez-Jaen, T.F. Epidemiology of injuries in the Spanish national futsal male team: A five-season retrospective study. BMJ Open Sport Exerc. Med. 2017, 2, e000180. [Google Scholar] [CrossRef] [PubMed]
- Castillo, M.; Martínez-Sanz, J.M.; Penichet-Tomás, A.; Sellés, S.; González-Rodriguez, E.; Hurtado-Sánchez, J.A.; Sospedra, I. Relationship between body composition and performance profile characteristics in female futsal players. Appl. Sci. 2022, 12, 11492. [Google Scholar] [CrossRef]
- Ramos Campo, D.J.; Martínez Sánchez, F.; Esteban García, P.; Rubio Arias, J.Á.; Bores Cerezal, A.; Clemente Suárez, V.; Jiménez Díaz, J.F. Body composition features in different playing position of professional team indoor players. Int. J. Morphol. 2014, 32, 1316–1324. [Google Scholar] [CrossRef]
- Ohmuro, T.; Iso, Y.; Tobita, A.; Hirose, S.; Ishizaki, S.; Sakaue, K.; Yasumatsu, M. Physical match performance of Japanese top-level futsal players in different categories and playing positions. Biol. Sport 2020, 37, 359–365. [Google Scholar] [CrossRef]
- Campos, F.S.; Borszcz, F.K.; Flores, L.J.F.; Barazetti, L.K.; Teixeira, A.S.; Hartmann Nunes, R.F.; Guglielmo, L.G.A. HIIT Models in Addition to Training Load and Heart Rate Variability Are Related With Physiological and Performance Adaptations After 10-Weeks of Training in Young Futsal Players. Front. Psychol. 2021, 12, 636153. [Google Scholar] [CrossRef]
- Iodice, P.; Trecroci, A.; Dian, D.; Proietti, G.; Alberti, G.; Formenti, D. Slow-Speed Resistance Training Increases Skeletal Muscle Contractile Properties and Power Production Capacity in Elite Futsal Players. Front. Sports Act. Living 2020, 2, 8. [Google Scholar] [CrossRef]
- Villanueva-Guerrero, O.; Lozano, D.; Roso-Moliner, A.; Nobari, H.; Lago-Fuentes, C.; Mainer-Pardos, E. Effects of different strength and velocity training programs on physical performance in youth futsal players. Heliyon 2024, 10, e30747. [Google Scholar] [CrossRef]
- Yanci, J.; Castillo, D.; Iturricastillo, A.; Ayarra, R.; Nakamura, F.Y. Effects of Two Different Volume-Equated Weekly Distributed Short-Term Plyometric Training Programs on Futsal Players’ Physical Performance. J. Strength Cond. Res. 2017, 31, 1787–1794. [Google Scholar] [CrossRef] [PubMed]
- Teixeira, A.S.; Arins, F.B.; De Lucas, R.D.; Carminatti, L.J.; Dittrich, N.; Nakamura, F.Y.; Guglielmo, L.G.A. Comparative Effects of Two Interval Shuttle-Run Training Modes on Physiological and Performance Adaptations in Female Professional Futsal Players. J. Strength Cond. Res. 2019, 33, 1416–1428. [Google Scholar] [CrossRef]
- Paz-Franco, A.; Rey, E.; Barcala-Furelos, R. Effects of 3 different resistance training frequencies on jump, sprint, and repeated sprint ability performances in professional futsal players. J. Strength Cond. Res. 2017, 31, 3343–3350. [Google Scholar] [CrossRef]
- Torres-Torrelo, J.; Rodríguez-Rosell, D.; Mora-Custodio, R.; Pareja-Blanco, F.; Yañez-García, J.M.; González-Badillo, J.J. Effects of resistance training and combined training program on repeated sprint ability in futsal players. Int. J. Sports Med. 2018, 39, 517–526. [Google Scholar] [CrossRef] [PubMed]
- Lago-Fuentes, C.; Rey, E.; Padrón-Cabo, A.; de Rellán-Guerra, A.S.; Fragueiro-Rodríguez, A.; García-Núñez, J. Effects of core strength training using stable and unstable surfaces on physical fitness and functional performance in professional female futsal players. J. Hum. Kinet. 2018, 65, 213. [Google Scholar] [CrossRef]
- Ortega, J.A.F.; Buitrago, J.A.R.; Rodriguez, D.A.S. Aspectos centrales de la identificación y desarrollo de talentos deportivos: Revisión sistemática. Retos Nuevas Tend. Educ. Física Deporte Recreación 2021, 39, 915–928. [Google Scholar]
- Lockie, R.G.; Moreno, M.R.; Lazar, A.; Orjalo, A.J.; Giuliano, D.V.; Risso, F.G.; Davis, D.L.; Crelling, J.B.; Lockwood, J.R.; Jalilvand, F. The physical and athletic performance characteristics of Division I collegiate female soccer players by position. J. Strength Cond. Res. 2018, 32, 334–343. [Google Scholar] [CrossRef] [PubMed]
- Albalad-Aiguabella, R.; Navarrete-Villanueva, D.; Mainer-Pardos, E.; Villanueva-Guerrero, O.; Muniz-Pardos, B.; Vicente-Rodríguez, G. Physical Training Considerations for Futsal Players According to Strength and Conditioning Coaches: A Qualitative Study. Sports 2025, 13, 126. [Google Scholar] [CrossRef]
- Spyrou, K.; Freitas, T.T.; Marín-Cascales, E.; Alcaraz, P.E. Physical and Physiological Match-Play Demands and Player Characteristics in Futsal: A Systematic Review. Front. Psychol. 2020, 11, 569897. [Google Scholar] [CrossRef] [PubMed]
- Naser, N.; Ali, A.; Macadam, P. Physical and physiological demands of futsal. J. Exerc. Sci. Fit. 2017, 15, 76–80. [Google Scholar] [CrossRef]
- Freitas, T.T.; Pereira, L.A.; Alcaraz, P.E.; Arruda, A.F.; Guerriero, A.; Azevedo, P.H.; Loturco, I. Influence of strength and power capacity on change of direction speed and deficit in elite team-sport athletes. J. Hum. Kinet. 2019, 68, 167. [Google Scholar] [CrossRef]
- Sammoud, S.; Bouguezzi, R.; Negra, Y.; Chaabene, H. The Reliability and Sensitivity of Change of Direction Deficit and Its Association with Linear Sprint Speed in Prepubertal Male Soccer Players. J. Funct. Morphol. Kinesiol. 2021, 6, 41. [Google Scholar] [CrossRef]
- Freitas, T.T.; Alcaraz, P.E.; Bishop, C.; Calleja-González, J.; Arruda, A.F.S.; Guerriero, A.; Reis, V.P.; Pereira, L.A.; Loturco, I. Change of Direction Deficit in National Team Rugby Union Players: Is There an Influence of Playing Position? Sports 2018, 7, 2. [Google Scholar] [CrossRef]
- Clarke, R.; Read, P.J.; De Ste Croix, M.B.A.; Hughes, J.D. The Deceleration Deficit: A Novel Field-Based Method to Quantify Deceleration During Change of Direction Performance. J. Strength Cond. Res. 2022, 36, 2434–2439. [Google Scholar] [CrossRef]
- Atakan, M.M.; Unver, E.; Demırcı, N.; Cinemre, Ş.A.; Bulut, S.; Turnagol, H.H. Effect of body composition on fitness performance in young male football players. Turk. J. Sport Exerc. 2017, 19, 54–59. [Google Scholar]
- Bishop, C.; McAuley, W.; Read, P.; Gonzalo-Skok, O.; Lake, J.; Turner, A. Acute effect of repeated sprints on interlimb asymmetries during unilateral jumping. J. Strength Cond. Res. 2021, 35, 2127–2132. [Google Scholar] [CrossRef]
- Guan, Y.; Bredin, S.S.D.; Taunton, J.; Jiang, Q.; Wu, N.; Warburton, D.E.R. Association between Inter-Limb Asymmetries in Lower-Limb Functional Performance and Sport Injury: A Systematic Review of Prospective Cohort Studies. J. Clin. Med. 2022, 11, 360. [Google Scholar] [CrossRef] [PubMed]
- Bloomfield, J.; Polman, R.; O’Donoghue, P. Physical demands of different positions in FA Premier League soccer. J. Sports Sci. Med. 2007, 6, 63. [Google Scholar] [PubMed]
- Mijatovic, D.; Krivokapic, D.; Versic, S.; Dimitric, G.; Zenic, N. Change of Direction Speed and Reactive Agility in Prediction of Injury in Football; Prospective Analysis over One Half-Season. Healthcare 2022, 10, 440. [Google Scholar] [CrossRef] [PubMed]
- Oliveira, J.P.; Sampaio, T.; Marinho, D.A.; Barbosa, T.M.; Morais, J.E. Exploring Injury Prevention Strategies for Futsal Players: A Systematic Review. Healthcare 2024, 12, 1387. [Google Scholar] [CrossRef]
- Liu, R.; Liu, J.; Ma, X.; Li, Q.; An, R. Effect of FIFA 11+ intervention on change of direction performance in soccer and futsal players: A systematic review and meta-analysis. Int. J. Sports Sci. Coach. 2021, 16, 862–872. [Google Scholar] [CrossRef]

| Variable | Winger—Left (n = 16) | Winger—Right (n = 27) | Pivot (n = 18) | Goalkeeper (n = 15) | Defender (n = 22) | Total (n = 98) |
|---|---|---|---|---|---|---|
| Age (y) * | 17 ± 1 | 17 ± 1 * | 18 ± 1 | 18 ± 1 | 17 ± 1 | 17 ± 1 |
| Height (cm) * | 174 ± 5 *# | 175 ± 6 *# | 179 ± 5 | 182 ± 6 | 175 ± 6 *# | 177 ± 6 |
| Body mass (kg) * | 68 ± 7 # | 66 ± 6 *# | 73 ± 4 | 78 ± 10 | 71 ± 7 # | 71 ± 8 |
| CMJL (cm) | 19.5 ± 2.4 | 18.6 ± 3.1 | 18.7 ± 2.2 | 17.1 ± 2.9 | 19.4 ± 3.2 | 18.7 ± 2.9 |
| CMJR (cm) | 18.9 ± 3.6 | 18.3 ± 2.9 | 18.9 ± 2.7 | 17.2 ± 2.9 | 18.8 ± 2.7 | 18.5 ± 2.9 |
| CMJ Asy (%) | 9.8 ± 11.8 | 8.9 ± 5.1 | 7.2 ± 4.3 | 7.3 ± 6.1 | 7 ± 5.2 | 8.1 ± 6.6 |
| CMJ (cm) | 36.4 ± 3.5 | 35.0 ± 4.6 | 36.9 ± 4.2 | 34.2 ± 4.06 | 36.9 ± 2.9 | 35.9 ± 3.9 |
| HJL (cm) | 183.9 ± 9.9 | 184.4 ± 13.2 | 186.0 ± 10.7 | 180.5 ± 13.3 | 186.5 ± 9.4 | 184.5 ± 11.4 |
| HJR (cm) | 183.4 ± 10.5 | 183.2 ± 9.8 | 185.4 ± 11.6 | 181.5 ± 14.4 | 183.5 ± 9.3 | 183.4 ± 10.8 |
| HJ Asy (%) | 2.4 ± 2.3 | 4.4 ± 3.3 | 3.5 ± 2.1 | 2.7 ± 3 | 4.6 ± 4.1 | 3.7 ± 3.2 |
| HJ (cm) | 204.6 ± 16.3 | 206.3 ± 13 | 210.7 ± 11.4 | 203.2 ± 13.6 | 205.6 ± 11.6 | 206.2 ± 13.1 |
| CODL (s) * | 2.58 ± 0.1 # | 2.62 ± 0.1 # | 2.61 ± 0.1 # | 2.76 ± 0.1 | 2.63 ± 0.1 # | 2.64 ± 0.1 |
| CODR (s) * | 2.58 ± 0.1 # | 2.60 ± 0.1 | 2.62 ± 0.1 | 2.71 ± 0.1 | 2.63 ± 0.1 | 2.63 ± 0.1 |
| COD Asy | 2.6 ± 2.5 | 3.7 ± 2.9 | 3.7 ± 2.4 | 3.6 ± 2.6 | 2.2 ± 1.9 | 3.1 ± 2.5 |
| V-cut (s) * | 6.94 ± 0.2 # | 7.01 ± 0.2 | 7.03 ± 0.2 | 7.17 ± 0.2 | 7.07 ± 0.2 | 7.04 ± 0.2 |
| 10 m (s) | 1.88 ± 0.1 | 1.90 ± 0.1 | 1.88 ± 0.1 | 1.93 ± 0.1 | 1.89 ± 0.1 | 1.9 ± 0.1 |
| 25 m (s) | 3.82 ± 0.1 | 3.83 ± 0.1 | 3.83 ± 0.1 | 3.92 ± 0.13 | 3.84 ± 0.1 | 3.8 ± 0.1 |
| CODDL (%) | 37.2 ± 5.1 | 38.1 ± 6.8 | 38.4 ± 5.8 | 42.7 ± 5.61 | 39.3 ± 5.9 | 38.9 ± 6.1 |
| CODDR (%) | 37.2 ± 4.9 | 37.3 ± 6.8 | 39.1 ± 6.9 | 39.8 ± 5.94 | 39.5 ± 6.3 | 38.5 ± 6.3 |
| CODD25 (%) | 81.9 ± 6.8 | 83.0 ± 6.1 | 83.8 ± 7.9 | 82.4 ± 5.45 | 84.2 ± 8.2 | 83.2 ± 6.9 |
Disclaimer/Publisher’s Note: The statements, opinions and data contained in all publications are solely those of the individual author(s) and contributor(s) and not of MDPI and/or the editor(s). MDPI and/or the editor(s) disclaim responsibility for any injury to people or property resulting from any ideas, methods, instructions or products referred to in the content. |
© 2025 by the authors. Licensee MDPI, Basel, Switzerland. This article is an open access article distributed under the terms and conditions of the Creative Commons Attribution (CC BY) license (https://creativecommons.org/licenses/by/4.0/).
Share and Cite
Villanueva-Guerrero, O.; Gonzalo-Skok, O.; Albalad-Aiguabella, R.; Mainer-Pardos, E. Change-of-Direction Deficit and Positional Physical Profiles in Youth Futsal Players: A Cross-Sectional Study. Sports 2025, 13, 263. https://doi.org/10.3390/sports13080263
Villanueva-Guerrero O, Gonzalo-Skok O, Albalad-Aiguabella R, Mainer-Pardos E. Change-of-Direction Deficit and Positional Physical Profiles in Youth Futsal Players: A Cross-Sectional Study. Sports. 2025; 13(8):263. https://doi.org/10.3390/sports13080263
Chicago/Turabian StyleVillanueva-Guerrero, Oscar, Oliver Gonzalo-Skok, Rafael Albalad-Aiguabella, and Elena Mainer-Pardos. 2025. "Change-of-Direction Deficit and Positional Physical Profiles in Youth Futsal Players: A Cross-Sectional Study" Sports 13, no. 8: 263. https://doi.org/10.3390/sports13080263
APA StyleVillanueva-Guerrero, O., Gonzalo-Skok, O., Albalad-Aiguabella, R., & Mainer-Pardos, E. (2025). Change-of-Direction Deficit and Positional Physical Profiles in Youth Futsal Players: A Cross-Sectional Study. Sports, 13(8), 263. https://doi.org/10.3390/sports13080263

