The Influence of Workplace-Integrated Exercise Snacks on Cognitive Performance in Sedentary Middle-Aged Adults—A Randomized Pilot Study
Abstract
1. Introduction
2. Methods
2.1. Study Design
2.2. Participants
2.3. Randomization
2.4. Intervention
2.5. Neuropsychological Assessment
2.6. Standardization
2.7. Data Analysis
3. Results
3.1. Acute Effects
3.2. Chronic Effects
4. Discussion
5. Conclusions
Author Contributions
Funding
Institutional Review Board Statement
Informed Consent Statement
Data Availability Statement
Conflicts of Interest
References
- Tremblay, M.S.; Barnes, J.D.; Saunders, T.J.; Carson, V.; Latimer-Cheung, A.E.; Chastin, S.F.M.; Altenburg, T.M.; Chinapaw, M.J.M. Sedentary Behavior Research Network (SBRN)—Terminology Consensus Project Process and Outcome. Int. J. Behav. Nutr. Phys. Act. 2017, 14, 75. [Google Scholar] [CrossRef]
- Bull, F.C.; Al-Ansari, S.S.; Biddle, S.; Borodulin, K.; Buman, M.P.; Cardon, G.; Carty, C.; Chaput, J.-P.; Chastin, S.; Chou, R.; et al. World Health Organization 2020 Guidelines on Physical Activity and Sedentary Behaviour. Br. J. Sports Med. 2020, 54, 1451–1462. [Google Scholar] [CrossRef] [PubMed]
- Buksch, J.; Schlicht, W. Sitzende Lebensweise Als Ein Gesundheitlich Riskantes Verhalten (Sedentarism—A Health-Detrimental Behaviour). Dtsch. Z. Für Sportmed. 2014, 2014, 15–21. [Google Scholar] [CrossRef]
- Thivel, D.; Tremblay, A.; Genin, P.M.; Panahi, S.; Rivière, D.; Duclos, M. Physical Activity, Inactivity, and Sedentary Behaviors: Definitions and Implications in Occupational Health. Front. Public Health 2018, 6, 288. [Google Scholar] [CrossRef]
- Magnon, V.; Dutheil, F.; Auxiette, C. Sedentariness: A Need for a Definition. Front. Public Health 2018, 6, 372. [Google Scholar] [CrossRef] [PubMed]
- Park, J.H.; Moon, J.H.; Kim, H.J.; Kong, M.H.; Oh, Y.H. Sedentary Lifestyle: Overview of Updated Evidence of Potential Health Risks. Korean J. Fam. Med. 2020, 41, 365–373. [Google Scholar] [CrossRef]
- Bellettiere, J.; Winkler, E.A.H.; Chastin, S.F.M.; Kerr, J.; Owen, N.; Dunstan, D.W.; Healy, G.N. Associations of Sitting Accumulation Patterns with Cardio-Metabolic Risk Biomarkers in Australian Adults. PLoS ONE 2017, 12, e0180119. [Google Scholar] [CrossRef]
- Chandrasekaran, B.; Pesola, A.J.; Rao, C.R.; Arumugam, A. Does Breaking up Prolonged Sitting Improve Cognitive Functions in Sedentary Adults? A Mapping Review and Hypothesis Formulation on the Potential Physiological Mechanisms. BMC Musculoskelet. Disord. 2021, 22, 274. [Google Scholar] [CrossRef]
- Biswas, A.; Oh, P.I.; Faulkner, G.E.; Bajaj, R.R.; Silver, M.A.; Mitchell, M.S.; Alter, D.A. Sedentary Time and Its Association With Risk for Disease Incidence, Mortality, and Hospitalization in Adults: A Systematic Review and Meta-Analysis. Ann. Intern. Med. 2015, 162, 123–132. [Google Scholar] [CrossRef]
- Falck, R.S.; Davis, J.C.; Liu-Ambrose, T. What Is the Association between Sedentary Behaviour and Cognitive Function? A Systematic Review. Br. J. Sports Med. 2017, 51, 800–811. [Google Scholar] [CrossRef]
- Boberska, M.; Szczuka, Z.; Kruk, M.; Knoll, N.; Keller, J.; Hohl, D.H.; Luszczynska, A. Sedentary Behaviours and Health-Related Quality of Life. A Systematic Review and Meta-Analysis. Health Psychol. Rev. 2018, 12, 195–210. [Google Scholar] [CrossRef]
- Raichlen, D.A.; Aslan, D.H.; Sayre, M.K.; Bharadwaj, P.K.; Ally, M.; Maltagliati, S.; Lai, M.H.C.; Wilcox, R.R.; Klimentidis, Y.C.; Alexander, G.E. Sedentary Behavior and Incident Dementia Among Older Adults. JAMA 2023, 330, 934. [Google Scholar] [CrossRef] [PubMed]
- Dillon, K.; Morava, A.; Prapavessis, H.; Grigsby-Duffy, L.; Novic, A.; Gardiner, P.A. Total Sedentary Time and Cognitive Function in Middle-Aged and Older Adults: A Systematic Review and Meta-Analysis. Sports Med.—Open 2022, 8, 127. [Google Scholar] [CrossRef]
- Haapala, E.A.; Väistö, J.; Lintu, N.; Westgate, K.; Ekelund, U.; Poikkeus, A.-M.; Brage, S.; Lakka, T.A. Physical Activity and Sedentary Time in Relation to Academic Achievement in Children. J. Sci. Med. Sport 2017, 20, 583–589. [Google Scholar] [CrossRef]
- Diamond, A. Want to Optimize Executive Functions and Academic Outcomes? Simple, Just Nourish the Human Spirit. In Minnesota Symposia on Child Psychology; Zelazo, P.D., Sera, M.D., Eds.; Wiley: Hoboken, NJ, USA, 2013; pp. 203–230. [Google Scholar]
- Cortés Pascual, A.; Moyano Muñoz, N.; Quílez Robres, A. The Relationship Between Executive Functions and Academic Performance in Primary Education: Review and Meta-Analysis. Front. Psychol. 2019, 10, 1582. [Google Scholar] [CrossRef] [PubMed]
- Lin, Q.; Abbey, C.; Zhang, Y.; Wang, G.; Lu, J.; Dill, S.-E.; Jiang, Q.; Singh, M.K.; She, X.; Wang, H.; et al. Association between Mental Health and Executive Dysfunction and the Moderating Effect of Urban–Rural Subpopulation in General Adolescents from Shangrao, China: A Population-Based Cross-Sectional Study. BMJ Open 2022, 12, e060270. [Google Scholar] [CrossRef]
- Luerssen, A.; Ayduk, O. Executive Functions Promote Well-Being: Outcomes and Mediators. In The Happy Mind: Cognitive Contributions to Well-Being; Robinson, M.D., Eid, M., Eds.; Springer International Publishing: Cham, Switzerland, 2017; pp. 59–75. [Google Scholar]
- Williams, R.; Andreassi, S.; Moselli, M.; Fantini, F.; Tanzilli, A.; Lingiardi, V.; Laghi, F. Relationship between Executive Functions, Social Cognition, and Attachment State of Mind in Adolescence: An Explorative Study. Int. J. Environ. Res. Public Health 2023, 20, 2836. [Google Scholar] [CrossRef] [PubMed]
- Xu, L.; Gu, H.; Cai, X.; Zhang, Y.; Hou, X.; Yu, J.; Sun, T. The Effects of Exercise for Cognitive Function in Older Adults: A Systematic Review and Meta-Analysis of Randomized Controlled Trials. Int. J. Environ. Res. Public Health 2023, 20, 1088. [Google Scholar] [CrossRef]
- Mandolesi, L.; Polverino, A.; Montuori, S.; Foti, F.; Ferraioli, G.; Sorrentino, P.; Sorrentino, G. Effects of Physical Exercise on Cognitive Functioning and Wellbeing: Biological and Psychological Benefits. Front. Psychol. 2018, 9, 509. [Google Scholar] [CrossRef]
- Tuckwell, G.A.; Vincent, G.E.; Gupta, C.C.; Ferguson, S.A. Does Breaking up Sitting in Office-Based Settings Result in Cognitive Performance Improvements Which Last throughout the Day? A Review of the Evidence. Ind. Health 2022, 60, 501–513. [Google Scholar] [CrossRef]
- Hoare, E.; Stavreski, B.; Jennings, G.; Kingwell, B. Exploring Motivation and Barriers to Physical Activity among Active and Inactive Australian Adults. Sports 2017, 5, 47. [Google Scholar] [CrossRef] [PubMed]
- Atakan, M.M.; Li, Y.; Koşar, Ş.N.; Turnagöl, H.H.; Yan, X. Evidence-Based Effects of High-Intensity Interval Training on Exercise Capacity and Health: A Review with Historical Perspective. Int. J. Environ. Res. Public Health 2021, 18, 7201. [Google Scholar] [CrossRef]
- Coates, A.M.; Joyner, M.J.; Little, J.P.; Jones, A.M.; Gibala, M.J. A Perspective on High-Intensity Interval Training for Performance and Health. Sports Med. 2023, 53, 85–96. [Google Scholar] [CrossRef] [PubMed]
- Vollaard, N.B.J.; Metcalfe, R.S. Research into the Health Benefits of Sprint Interval Training Should Focus on Protocols with Fewer and Shorter Sprints. Sports Med. 2017, 47, 2443–2451. [Google Scholar] [CrossRef]
- Whyte, L.J.; Gill, J.M.R.; Cathcart, A.J. Effect of 2 Weeks of Sprint Interval Training on Health-Related Outcomes in Sedentary Overweight/Obese Men. Metabolism 2010, 59, 1421–1428. [Google Scholar] [CrossRef]
- Mekari, S.; Earle, M.; Martins, R.; Drisdelle, S.; Killen, M.; Bouffard-Levasseur, V.; Dupuy, O. Effect of High Intensity Interval Training Compared to Continuous Training on Cognitive Performance in Young Healthy Adults: A Pilot Study. Brain Sci. 2020, 10, 81. [Google Scholar] [CrossRef] [PubMed]
- Brown, B.M.; Peiffer, J.J.; Sohrabi, H.R.; Mondal, A.; Gupta, V.B.; Rainey-Smith, S.R.; Taddei, K.; Burnham, S.; Ellis, K.A.; Szoeke, C.; et al. Intense Physical Activity Is Associated with Cognitive Performance in the Elderly. Transl. Psychiatry 2012, 2, e191. [Google Scholar] [CrossRef]
- Allison, M.K.; Baglole, J.H.; Martin, B.J.; Macinnis, M.J.; Gurd, B.J.; Gibala, M.J. Brief Intense Stair Climbing Improves Cardiorespiratory Fitness. Med. Sci. Sports Exerc. 2017, 49, 298–307. [Google Scholar] [CrossRef] [PubMed]
- Jenkins, E.M.; Nairn, L.N.; Skelly, L.E.; Little, J.P.; Gibala, M.J. Do Stair Climbing Exercise “Snacks” Improve Cardiorespiratory Fitness? Appl. Physiol. Nutr. Metab. 2019, 44, 681–684. [Google Scholar] [CrossRef]
- Islam, H.; Gibala, M.J.; Little, J.P. Exercise Snacks: A Novel Strategy to Improve Cardiometabolic Health. Exerc. Sport Sci. Rev. 2022, 50, 31–37. [Google Scholar] [CrossRef]
- Stamatakis, E.; Ahmadi, M.N.; Friedenreich, C.M.; Blodgett, J.M.; Koster, A.; Holtermann, A.; Atkin, A.; Rangul, V.; Sherar, L.B.; Teixeira-Pinto, A.; et al. Vigorous Intermittent Lifestyle Physical Activity and Cancer Incidence Among Nonexercising Adults: The UK Biobank Accelerometry Study. JAMA Oncol. 2023, 9, 1255. [Google Scholar] [CrossRef]
- Weston, K.L.; Little, J.P.; Weston, M.; McCreary, S.; Kitchin, V.; Gill, A.; Niven, A.; McNarry, M.A.; Mackintosh, K.A. Application of Exercise Snacks across Youth, Adult and Clinical Populations: A Scoping Review. Sports Med.—Open 2025, 11, 27. [Google Scholar] [CrossRef]
- Stenling, A.; Moylan, A.; Fulton, E.; Machado, L. Effects of a Brief Stair-Climbing Intervention on Cognitive Performance and Mood States in Healthy Young Adults. Front. Psychol. 2019, 10, 2300. [Google Scholar] [CrossRef]
- Nasrollahi, N.; Quensell, J.; Machado, L. Effects of a Brief Stair-Climbing Intervention on Cognitive Functioning and Mood States in Older Adults: A Randomized Controlled Trial. J. Aging Phys. Act. 2022, 30, 455–465. [Google Scholar] [CrossRef] [PubMed]
- Chang, Y.K.; Labban, J.D.; Gapin, J.I.; Etnier, J.L. The Effects of Acute Exercise on Cognitive Performance: A Meta-Analysis. Brain Res. 2012, 1453, 87–101. [Google Scholar] [CrossRef]
- Canadian Society for Exercise Physiology Get Active Questionnaire. Available online: https://csep.ca/2021/01/20/pre-screening-for-physical-activity/ (accessed on 22 March 2025).
- Shariat, A.; Cleland, J.A.; Danaee, M.; Alizadeh, R.; Sangelaji, B.; Kargarfard, M.; Ansari, N.N.; Sepehr, F.H.; Tamrin, S.B.M. Borg CR-10 Scale as a New Approach to Monitoring Office Exercise Training. Work 2018, 60, 549–554. [Google Scholar] [CrossRef] [PubMed]
- Partington, J.E.; Leiter, R.G. Partington’s Pathways Test. Psychol. Serv. Cent. J. 1949, 1, 11–20. [Google Scholar] [CrossRef]
- Strauss, E.; Sherman, E.M.S.; Spreen, O.; Spreen, O. A Compendium of Neuropsychological Tests: Administration, Norms, and Commentary, 3rd ed.; Oxford University Press: Oxford, UK; New York, NY, USA, 2006. [Google Scholar]
- Müller, L.D.; Guhn, A.; Zeller, J.B.M.; Biehl, S.C.; Dresler, T.; Hahn, T.; Fallgatter, A.J.; Polak, T.; Deckert, J.; Herrmann, M.J. Neural Correlates of a Standardized Version of the Trail Making Test in Young and Elderly Adults: A Functional near-Infrared Spectroscopy Study. Neuropsychologia 2014, 56, 271–279. [Google Scholar] [CrossRef]
- Tischler, L.; Petermann, F. Trail Making Test (TMT). Z. Für Psychiatr. Psychol. Psychother. 2010, 58, 79–81. [Google Scholar] [CrossRef]
- Crowe, S.F. The Differential Contribution of Mental Tracking, Cognitive Flexibility, Visual Search, and Motor Speed to Performance on Parts A and B of the Trail Making Test. J. Clin. Psychol. 1998, 54, 585–591. [Google Scholar] [CrossRef]
- Christidi, F.; Kararizou, E.; Triantafyllou, N.; Anagnostouli, M.; Zalonis, I. Derived Trail Making Test Indices: Demographics and Cognitive Background Variables across the Adult Life Span. Aging Neuropsychol. Cogn. 2015, 22, 667–678. [Google Scholar] [CrossRef] [PubMed]
- Wagner, S.; Helmreich, I.; Dahmen, N.; Lieb, K.; Tadic, A. Reliability of Three Alternate Forms of the Trail Making Tests A and B. Arch. Clin. Neuropsychol. 2011, 26, 314–321. [Google Scholar] [CrossRef]
- Stroop, J.R. Studies of Interference in Serial Verbal Reactions. J. Exp. Psychol. 1935, 18, 643–662. [Google Scholar] [CrossRef]
- MacLeod, C.M. The Stroop Task: The “Gold Standard” of Attentional Measures. J. Exp. Psychol. Gen. 1992, 121, 12–14. [Google Scholar] [CrossRef]
- Rivera, D.; Perrin, P.B.; Stevens, L.F.; Garza, M.T.; Weil, C.; Saracho, C.P.; Rodríguez, W.; Rodríguez-Agudelo, Y.; Rábago, B.; Weiler, G.; et al. Stroop Color-Word Interference Test: Normative Data for the Latin American Spanish Speaking Adult Population. NeuroRehabilitation 2015, 37, 591–624. [Google Scholar] [CrossRef]
- Scarpina, F.; Tagini, S. The Stroop Color and Word Test. Front. Psychol. 2017, 8, 557. [Google Scholar] [CrossRef]
- Periáñez, J.A.; Lubrini, G.; García-Gutiérrez, A.; Ríos-Lago, M. Construct Validity of the Stroop Color-Word Test: Influence of Speed of Visual Search, Verbal Fluency, Working Memory, Cognitive Flexibility, and Conflict Monitoring. Arch. Clin. Neuropsychol. 2021, 36, 99–111. [Google Scholar] [CrossRef]
- Puri, S.; Shaheen, M.; Grover, B. Nutrition and Cognitive Health: A Life Course Approach. Front. Public Health 2023, 11, 1023907. [Google Scholar] [CrossRef]
- Cohen, J. Statistical Power Analysis for the Behavioral Sciences, 2nd ed.; L. Erlbaum Associates: Hillsdale, NJ, USA, 1988. [Google Scholar]
- Basso, J.C.; Suzuki, W.A. The Effects of Acute Exercise on Mood, Cognition, Neurophysiology, and Neurochemical Pathways: A Review. Brain Plast. 2016, 2, 127–152. [Google Scholar] [CrossRef] [PubMed]
- Tomporowski, P.D. Effects of Acute Bouts of Exercise on Cognition. Acta Psychol. 2003, 112, 297–324. [Google Scholar] [CrossRef] [PubMed]
- Kao, S.; Westfall, D.R.; Soneson, J.; Gurd, B.; Hillman, C.H. Comparison of the Acute Effects of High-intensity Interval Training and Continuous Aerobic Walking on Inhibitory Control. Psychophysiology 2017, 54, 1335–1345. [Google Scholar] [CrossRef] [PubMed]
- Murman, D. The Impact of Age on Cognition. Semin. Hear. 2015, 36, 111–121. [Google Scholar] [CrossRef] [PubMed]
- Wang, R.; Ekblom, M.M.; Arvidsson, D.; Fridolfsson, J.; Börjesson, M.; Ekblom, Ö. The Interrelationship between Physical Activity Intensity, Cardiorespiratory Fitness, and Executive Function in Middle-Aged Adults: An Observational Study of Office Workers. Front. Public Health 2022, 10, 1035521. [Google Scholar] [CrossRef] [PubMed]
- Mekari, S.; Dupuy, O.; Martins, R.; Evans, K.; Kimmerly, D.S.; Fraser, S.; Neyedli, H.F. The Effects of Cardiorespiratory Fitness on Executive Function and Prefrontal Oxygenation in Older Adults. GeroScience 2019, 41, 681–690. [Google Scholar] [CrossRef]


| Intervention Group | Control Group | |
|---|---|---|
| Participants [n] (m/f) | 12 (4/8) | 13 (2/11) |
| Age [years] 1 | 50.6 ± 5.6 | 52.2 ± 5.1 |
| Sedentary Time [hours per day] 1 | 10.5 ± 2.3 | 9.5 ± 1.5 |
| T0 1 | T1 1 | Δ 1 | p 2 | g | |
|---|---|---|---|---|---|
| TMT-A [s] | 24.8 ± 6.4 | 19.6 ± 4.4 | −5.2 ± 5.8 | 0.005 * | 0.85 |
| TMT-B [s] | 53.6 ± 18.2 | 43.0 ± 9.7 | −10.6 ± 15.5 | 0.018 * | 0.64 |
| SW [score] | 102.6 ± 10.0 | 113.1 ± 10.6 | 10.5 ± 4.6 | <0.001 * | −2.14 |
| SC [score] | 78.2 ± 8.8 | 82.5 ± 10.5 | 4.3 ± 4.7 | 0.004 * | −0.85 |
| SCW [score] | 44.4 ± 4.9 | 49.0 ± 6.8 | 4.6 ± 3.6 | <0.001 * | −1.17 |
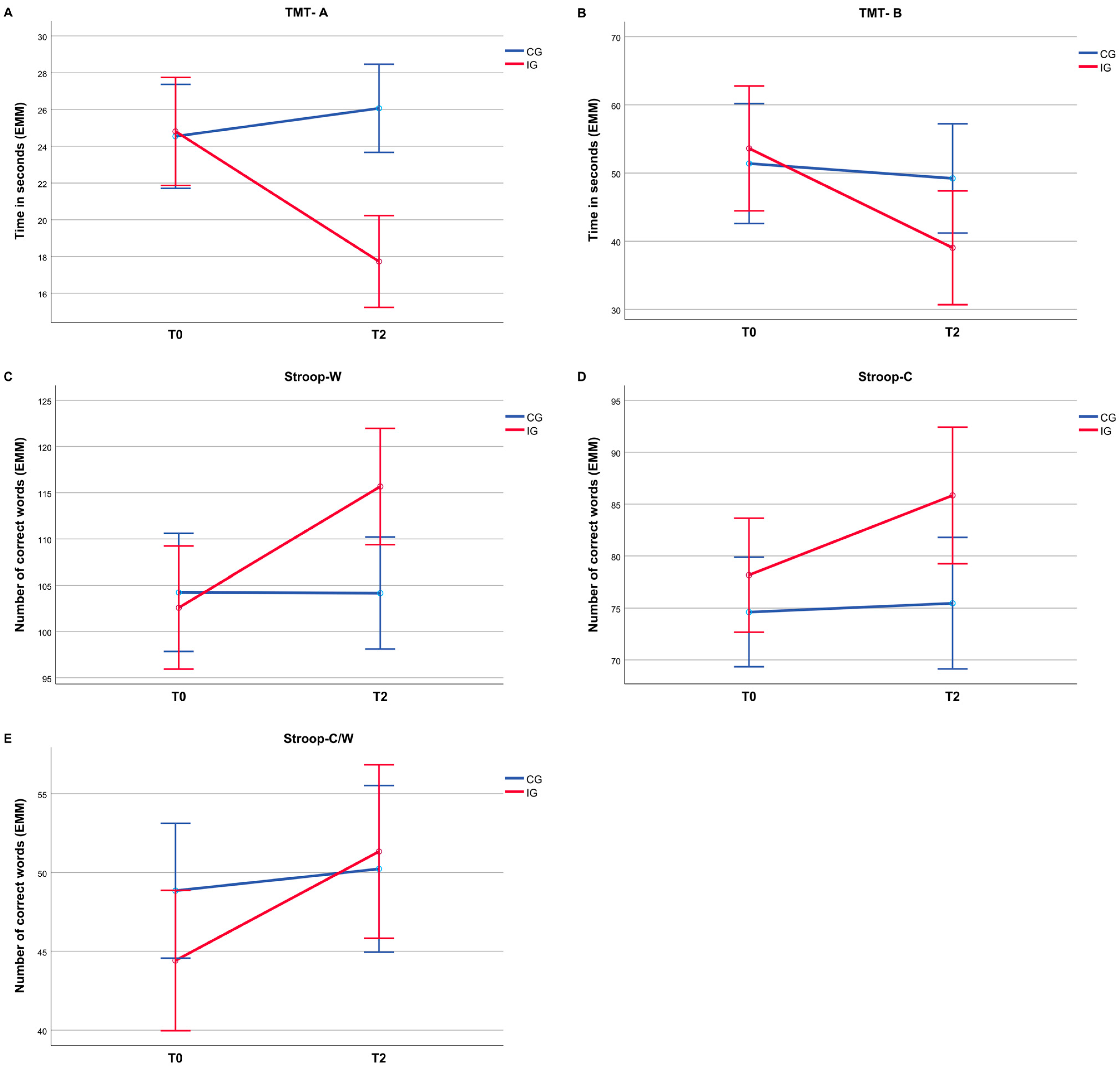
| Test | Group | T0 1 | T2 1 | Δ 1 |
|---|---|---|---|---|
| TMT-A [s] | IG | 24.8 ± 6.4 | 17.7 ± 3.3 | −7.1 ± 5.0 |
| CG | 24.5 ± 3.5 | 26.1 ± 5.1 | 1.6 ± 4.7 | |
| TMT-B [s] | IG | 53.6 ± 18.2 | 39.0 ± 7.9 | −14.6 ± 13.0 |
| CG | 51.4 ± 13.4 | 49.2 ± 18.5 | −2.2 ± 11.9 | |
| SW [score] | IG | 102.6 ± 10.0 | 115.7 ± 11.8 | 13.1 ± 5.5 |
| CG | 104.2 ± 12.7 | 104.2 ± 10.0 | 0.0 ± 6.7 | |
| SC [score] | IG | 78.2 ± 8.8 | 85.8 ± 11.0 | 7.6 ± 5.9 |
| CG | 74.6 ± 10.1 | 75.5 ± 11.8 | 0.9 ± 4.2 | |
| SCW [score] | IG | 44.4 ± 4.9 | 51.3 ± 5.5 | 6.9 ± 3.0 |
| CG | 48.9 ± 9.6 | 50.2 ± 12.1 | 1.3 ± 4.3 |
| Test | F (Time) | p 1 | F (Group) | p 1 | F (Time × Group) | p 1 | |||
|---|---|---|---|---|---|---|---|---|---|
| TMT-A | 8.25 | 0.009 * | 0.26 | 6.16 | 0.021 * | 0.21 | 19.80 | <0.001 * | 0.46 |
| TMT-B | 11.30 | 0.003 * | 0.33 | 0.52 | 0.479 | 0.02 | 6.18 | 0.021 * | 0.21 |
| SW | 27.85 | <0.001 * | 0.55 | 1.30 | 0.265 | 0.05 | 28.51 | <0.001 * | 0.55 |
| SC | 17.44 | <0.001 * | 0.43 | 2.92 | 0.101 | 0.11 | 11.20 | 0.003 * | 0.33 |
| SCW | 30.72 | <0.001 * | 0.57 | 0.24 | 0.628 | 0.01 | 13.64 | 0.001 * | 0.37 |
Disclaimer/Publisher’s Note: The statements, opinions and data contained in all publications are solely those of the individual author(s) and contributor(s) and not of MDPI and/or the editor(s). MDPI and/or the editor(s) disclaim responsibility for any injury to people or property resulting from any ideas, methods, instructions or products referred to in the content. |
© 2025 by the authors. Licensee MDPI, Basel, Switzerland. This article is an open access article distributed under the terms and conditions of the Creative Commons Attribution (CC BY) license (https://creativecommons.org/licenses/by/4.0/).
Share and Cite
Mues, J.P.; Flohr, S.; Kurpiers, N. The Influence of Workplace-Integrated Exercise Snacks on Cognitive Performance in Sedentary Middle-Aged Adults—A Randomized Pilot Study. Sports 2025, 13, 186. https://doi.org/10.3390/sports13060186
Mues JP, Flohr S, Kurpiers N. The Influence of Workplace-Integrated Exercise Snacks on Cognitive Performance in Sedentary Middle-Aged Adults—A Randomized Pilot Study. Sports. 2025; 13(6):186. https://doi.org/10.3390/sports13060186
Chicago/Turabian StyleMues, Jonas P., Stefan Flohr, and Nicolas Kurpiers. 2025. "The Influence of Workplace-Integrated Exercise Snacks on Cognitive Performance in Sedentary Middle-Aged Adults—A Randomized Pilot Study" Sports 13, no. 6: 186. https://doi.org/10.3390/sports13060186
APA StyleMues, J. P., Flohr, S., & Kurpiers, N. (2025). The Influence of Workplace-Integrated Exercise Snacks on Cognitive Performance in Sedentary Middle-Aged Adults—A Randomized Pilot Study. Sports, 13(6), 186. https://doi.org/10.3390/sports13060186

