Social Dynamics Established Through Sport: Implications for the Sports Training of Young Brazilian Basketball Athletes
Abstract
1. Introduction
2. Materials and Methods
2.1. Research Design
2.2. Quantitative Stage
2.2.1. Participants and Eligibility Criteria
2.2.2. Instruments
- (I)
- Eight items refer to the activities practiced in school physical education;
- (II)
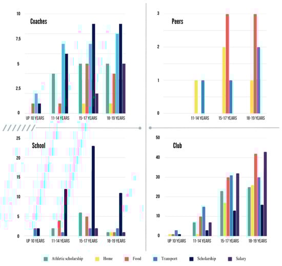
- Forty-six items are related to sports activities, subdivided into four parts, as illustrated in Figure 2.
2.2.3. Procedures
2.2.4. Statistical Analysis
2.3. Qualitative Stage
2.3.1. Participants and Eligibility Criteria
- (I)
- Athletes called up to the national team;
- (II)
- Athletes called up to the state team;
- (III)
- Athletes with more time spent practicing basketball.
2.3.2. Instruments
2.3.3. Procedures
2.3.4. Qualitative Analysis
2.3.5. Reliability
3. Results
3.1. Type of Support Received from Those Closest to Them
“[…] thanks to my mother I was always able to train more, I had money to catch a bus, to eat something on the street, but there were girls who didn’t have that condition, they didn’t have a family, with a good financial condition to help them […]” (Athlete 8).
“[…] my mother was the person who encouraged me a lot. I was going through a difficult time in my life; my parents had split up, my grandparents had died, I was having problems at school, and some behavioral problems, and basketball started to help me a lot. When I didn’t want to play anymore, that was when my mother encouraged me the most. She supported me even though I wasn’t in the right frame of mind. Those were the most important moments that perhaps made me dedicate myself even more […]. I felt better, which was very important; the support she gave me from an early age was very important” (Athlete 59).
“It’s always been my parents who have supported me in every decision I’ve made, in every decision I’ve taken, it’s always been them who have supported me, who have talked to me” (Athlete 7).
“My family paid for everything. Fortunately, I lived next to the court, so I didn’t have to spend any money” (Athlete 5).
“My family helped me a lot financially, with materials to improve my performance and motivation. There were matches that were shown live on TV, and they recorded them. Their reaction to me playing in the league was nice to see. So I think moral and financial support were the main things my family helped me with […]” (Athlete 88).
“[…] I was wonderfully welcomed at the club; to this day, my personal friends are the ones who played with me when I was 14, so for me, it was wonderful […]” (Athlete 102).
“My friends, these friends who are also in [project name], have been my friends since I started playing. I started playing with them. It was a process of evolution with them” (Athlete 125).
“[…] the players helped me a lot with this, giving me tips and so on […]” (Athlete 33).
3.2. Support Received During Sports Training
“Not really. I used to cycle there, and I didn’t have any support, no grant, nothing; I just went for the passion of basketball” (Athlete 88).
“No, I never did. The only thing I received was the grant from the club itself; we had to pay the monthly fee, and I didn’t pay it” (Athlete 7).
“From U16 onwards, when I managed to make the Brazilian team and play in the Copa America, I started to receive a salary from the Club” (Athlete 32).
“[…] until I was 14, it was on scholarship. From the age of 15 […] I did start to get paid. I didn’t sign a contract; it was more of an agreement with the coach, the president, and the team director to receive money to help me […] I started getting paid from the age of 14 to 15” (Athlete 59).
“[…] I really started to get help to train when I moved and went to play for Paraná when I was 17. From 13 to 17, it was my family who supported me financially […]” (Athlete 19).
3.3. Type of Support Received During Sports Training
“Yes, they [the club] paid for my tickets and accommodation, as well as my food and salary” (Athlete 98).
“At first, it was just for cost help. But then the 2021/2022 NBB season started, and I started getting paid minimum wage” (Athlete 2).
“They [the club] helped with transportation, with bus passes […]” (Athlete 90).
“I received housing, full meals, and a 400 reais allowance” (Athlete 33).
“I ended up getting a scholarship at a private school. The teams I played for always gave me a scholarship at a private school. So sport has paved the way, opening doors for me to improve my life” (Athlete 87).
4. Discussion
5. Limitations and Future Directions
6. Conclusions
Author Contributions
Funding
Institutional Review Board Statement
Informed Consent Statement
Data Availability Statement
Conflicts of Interest
References
- Hartley, C.; Haslam, A.A.; Coffee, P.; Rees, T. Social Support. In The New Psychology of Sport and Exercise: The Social Identity Approach; Haslam, S.A., Fransen, K., Boen, F., Eds.; Sage Publications: London, UK, 2019; pp. 245–264. [Google Scholar]
- Bianco, T.; Eklund, R.C. Conceptual Considerations for Social Support Research in Sport and Exercise Settings: The Case of Sport Injury. J. Sport Exerc. Psychol. 2001, 23, 85–107. [Google Scholar] [CrossRef]
- Hartley, C.; Coffee, P. Perceived and received dimensional support: Main and stress-buffering effects on dimensions of burnout. Front. Psychol. 2019, 10, 1724. [Google Scholar] [CrossRef] [PubMed]
- Freeman, P.; Coffee, P.; Rees, T. The PASS-Q: The perceived available support in sport questionnaire. J. Sport Exerc. Psychol. 2011, 33, 54–74. [Google Scholar] [CrossRef] [PubMed]
- Rees, T.; Hardy, L. An investigation of the social support experiences of high-level sports performers. Sport Psychol. 2000, 14, 327–347. [Google Scholar] [CrossRef]
- Brown, C.J.; Webb, T.L.; Robinson, M.A.; Cotgreave, R. Athletes’ experiences of social support during their transition out of elite sport: An interpretive phenomenological analysis. Psychol. Sport Exerc. 2018, 36, 71–80. [Google Scholar] [CrossRef]
- Rees, T. Social support in sport psychology. In Routledge International Handbook of Sports Psychology; Schinke, R.J., McGannon, K.R., Smith, B., Eds.; Routledge: Abingdon, UK, 2016; pp. 505–515. [Google Scholar]
- Sarason, B.R.; Pierce, G.R.; Sarason, I.G. Social support: The sense of acceptance and the role of relationships. In Social Support: An Interactional View; Sarason, B.R., Sarason, I.G., Pierce, G.R., Eds.; John Wiley & Sons: Hoboken, NJ, USA, 1990; pp. 97–128. [Google Scholar]
- Sarkar, M.; Fletcher, D. Psychological resilience in sport performers: A review of stressors and protective factors. J. Sports Sci. 2014, 32, 1419–1434. [Google Scholar] [CrossRef]
- Harwood, C.G.; Knight, C.J. Parenting in youth sport: A position paper on parenting expertise. Psychol. Sport Exerc. 2015, 16, 24–35. [Google Scholar] [CrossRef]
- Côté, J. The influence of the family in the development of talent in sport. Sport Psychol. 1999, 13, 395–417. [Google Scholar] [CrossRef]
- Holt, N.L.; Dunn, J.G.H. Toward a grounded theory of the psychosocial competencies and environmental conditions associated with soccer success. J. Appl. Sport Psychol. 2004, 16, 199–219. [Google Scholar] [CrossRef]
- Côté, J.; Turnnidge, J.; Vierimma, M. A personal assets approach to youth sport. In Routledge Handbook of Youth Sport; Green, K., Smith, A., Eds.; Routledge: London, UK; New York, NY, USA, 2016; pp. 243–255. [Google Scholar] [CrossRef]
- Maciel, L.F.P.; Nascimento, R.K.; Milistetd, M.; Nascimento, J.V.; Folle, A. Systematic review of social influences in sport: Family, coach and teammate support. Apunt. Educ. Física Deportes 2021, 3, 39–52. [Google Scholar] [CrossRef]
- Wuerth, S.; Lee, M.J.; Alfermann, D. Parental involvement and athletes’ career in youth sport. Psychol. Sport Exerc. 2004, 5, 21–33. [Google Scholar] [CrossRef]
- Côté, J.; Baker, J.; Abernethy, B. From play to practice: A developmental framework for the acquisition of expertise in team sport. In Recent Advances in Research on Sport Expertise; Starkes, J., Ericsson, A., Eds.; Human Kinetics: Champaign, IL, USA, 2003; pp. 89–113. [Google Scholar]
- Keegan, R.; Spray, C.; Harwood, C.; Lavallee, D. The motivational atmosphere in youth sport: Coach, parent, and peer influences on motivation in specializing sport participants. J. Appl. Sport Psychol. 2010, 22, 87–105. [Google Scholar] [CrossRef]
- Chan, D.K.; Lonsdale, C.; Fung, H.H. Influences of coaches, parents, and peers on the motivational patterns of child and adolescent athletes. Scand. J. Med. Sci. Sports 2012, 22, 558–568. [Google Scholar] [CrossRef] [PubMed]
- Cranmer, G.A.; Sollitto, M. Sport Support: Received Social Support as a Predictor of Athlete Satisfaction. Commun. Res. Rep. 2015, 32, 253–264. [Google Scholar] [CrossRef]
- Lu, F.J.H.; Lee, W.P.; Chang, Y.-K.; Chou, C.-C.; Hsu, Y.-W.; Lin, J.-H.; Gill, D.L. Interaction of athletes’ resilience and coaches’ social support on the stress-burnout relationship: A conjunctive moderation perspective. Psychol. Sport Exerc. 2016, 22, 202–209. [Google Scholar] [CrossRef]
- Cnen, T.-W.; Chiu, Y.-C.; Hsu, Y. Percepção do apoio social fornecido por treinadores, otimismo/pessimismo e bem-estar psicológico: Diferenças de gênero e modelos de efeito mediador. Int. J. Sports Sci. Coach. 2021, 16, 272–280. [Google Scholar] [CrossRef]
- Jowett, S.; Timson-Katchis, M. Social Networks in Sport: Parental Influence on the Coach-Athlete Relationship. Sport Psychol. 2005, 19, 267–287. [Google Scholar] [CrossRef]
- Scott, C.L.; Haycraft, E.; Plateau, C.R. Teammate influences on the eating attitudes and behaviours of athletes: A systematic review. Psychol. Sport Exerc. 2019, 43, 183–194. [Google Scholar] [CrossRef]
- MacPherson, E.; Kerr, G.; Stirling, A. The influence of peer groups in organized sport on female adolescents’ identity development. Psychol. Sport Exerc. 2016, 23, 73–81. [Google Scholar] [CrossRef]
- Holt, N.L.; Black, D.E.; Tamminen, K.A.; Fox, K.R.; Mandigo, J.L. Levels of social complexity and dimensions of peer experiences in youth sport. Psychol. Sport Exerc. 2008, 30, 411–431. [Google Scholar] [CrossRef]
- Ullrich-French, S.; Smith, A.L. Perceptions of relationships with parents and peers in youth sport: Independent and combined prediction of motivational outcomes. Psychol. Sport Exerc. 2006, 7, 193–214. [Google Scholar] [CrossRef]
- Lundy, G.I.; Allan, V.; Cowburn, I.; Cótê, J. Parental support, sibling influences and family dynamics across the development of canadian interuniversity student athletes. J. Athlete Dev. Exp. 2019, 1, 87–97. [Google Scholar] [CrossRef]
- Cótê, J.; Turnnidge, J.; Murata, A.; Mcguire, C.S.; Martin, L.J. Youth sport research: Describing the integrated dynamic elements of the personal assets framework. Int. J. Sport Psychol. 2020, 51, 562–578. [Google Scholar] [CrossRef]
- Maniam, V. Secondary school students’ participation in sports and their parents’ level of support: A qualitative study. Phys. Cult. Sport Stud. Res. 2017, 76, 14–22. [Google Scholar] [CrossRef][Green Version]
- Mossman, G.J.; Cronin, L.D. Life skills development and enjoyment in youth soccer: The importance of parental behaviours. J. Sports Sci. 2019, 37, 850–856. [Google Scholar] [CrossRef]
- Kim, J.; Coleman, T.; Godfrey, M.; Vierimaa, M.; Eys, M. The dynamics of informal role development within sport teams: A case study approach. Psychol. Sport Exerc. 2020, 48, 101670. [Google Scholar] [CrossRef]
- Coutinho, P.; Ribeiro, J.; Silva, S.M.; Fonseca, A.M.; Mesquita, I. The influence of parents, coaches, and peers in the long-term development of highly skilled and less skilled volleyball players. Front. Psychol. 2020, 12, 667542. [Google Scholar] [CrossRef]
- Chan, C. Social support, career beliefs, and career self-efficacy in determination of Taiwanese college athletes’ career development. J. Hosp. Leis. Sport Tour. Educ. 2020, 26, 100232. [Google Scholar] [CrossRef]
- Creswell, J.W. Research Design: Qualitative, Quantitative, and Mixed Methods Approaches, 4th ed.; SAGE: Los Angeles, CA, USA, 2014. [Google Scholar]
- Dewey, J. Human Nature and Conduct: An Introduction to Social Psychology; Henry Holt and Company: New York, NY, USA, 1992. [Google Scholar] [CrossRef]
- Ibáñez, S.J.; Pérez-Goye, E.; García-Rubio, J.; Courel-Ibáñez, J. Effects of task constraints on training workload in elite women’s soccer. Int. J. Sports Sci. Coach. 2019, 15, 99–107. [Google Scholar] [CrossRef]
- Collet, C.; Nascimento, J.V.; Folle, A.; Ibáñez, S.J. Construcción y validación de un instrumento para el análisis de la formación deportiva en voleibol. Cuad. Psicol. Deporte 2019, 19, 178–191. [Google Scholar] [CrossRef]
- Côté, J.; Turnnidge, J.; Evans, M. The dynamic process of development through sport. Kinesiol. Slov. 2014, 20, 14–26. [Google Scholar]
- Sparkes, A.C.; Smith, B. Qualitative Research Methods in Sport, Exercise and Health: From Process to Product; Routledge: Abingdon, UK, 2013. [Google Scholar] [CrossRef]
- Creswell, J.W.; Plano Clark, V.L. Designing and Conducing Mixed Methods Research, 3rd ed.; Sage Publications: Los Angeles, CA, USA, 2018. [Google Scholar]
- McCrudden, M.T.; McTigue, E.M. Implementing integration in an explanatory sequential mixed methods study of belief bias about climate change with high school students. J. Mix. Methods Res. 2013, 13, 381–400. [Google Scholar] [CrossRef]
- Galatti, L.R.; Marques, R.F.; Barros, M.A.S.; Seoane, A.M.; Paes, R.R. Excellence in women basketball: Sport career development of world champions and olympic medalists brazilian athletes. J. Sport Psychol. 2019, 28, 17–23. [Google Scholar]
- Braun, V.; Clark, V. Reflecting on reflexive thematic analysis. Qual. Res. Sport Exerc. Health 2019, 11, 589–597. [Google Scholar] [CrossRef]
- Braun, V.; Clark, V. Using thematic analysis in psychology. Qual. Res. Psychol. 2006, 3, 77–101. [Google Scholar] [CrossRef]
- Descombe, M. Communities of Practice: A research paradigm for the mixed methods approach. J. Mix. Methods Res. 2008, 2, 270–283. [Google Scholar] [CrossRef]
- Smith, B.; McGannon, K.R. Developing rigor in qualitative research: Problems and opportunities within sport and exercise psychology. Int. Rev. Sport Exerc. Psychol. 2018, 11, 101–121. [Google Scholar] [CrossRef]
- Côté, J.; Murata, A.; Martin, L.J. The Personal and Social Development of Children in Sport. In The Wiley-Blackwell Handbook of Childhood Social Development; Smith, P.K., Hart, C.H., Eds.; John Wiley & Sons Ltd.: Hoboken, NJ, USA, 2022; pp. 386–404. [Google Scholar] [CrossRef]
- Mars, T.; Knight, C.J.; Davis, L.; Nyström, M.B.T.; Rouquette, O.Y. Understanding parental secure base support across youth sport contexts in Sweden. Psyc. Sport Exerc. 2024, 73, 102658. [Google Scholar] [CrossRef]
- Burke, S.; Sharp, L.A.; Woods, D.; Paradis, K.F. Enhancing parental support through parenteducation programs in youth sport: A systematic review. Int. Rev. Sport Exerc. Psychol. 2021, 17, 208–235. [Google Scholar] [CrossRef]
- Tanveer, M.; Batrakoulis, A.; Asghar, E.; Tanveer, U.; Roy, N.; Souissi, M.A.; Ardigò, L.P.; Badicu, G. Associations of parental support and involvement in sports with overweight and obesity among children and adolescents in Pakistan: An empirical cross-sectional study. Phys Act. Rev. 2025, 13, 35–47. [Google Scholar] [CrossRef]
- Folle, A.; Nascimento, J.V.; Salles, W.N.; Maciel, L.F.P.; Dallegrave, E.J. Family involvement in the process of women’s basketball sports development. J. Phys. Educ. 2018, 29, 2914. [Google Scholar] [CrossRef][Green Version]
- Lima, L.A.; Reverdito, R.S.; Scaglia, A.J.; Galatti, L.R. Engagement in athletic career: A study of female Brazilian handball world champions. Int. J. Sports Sci. Coach. 2022, 18, 1056–1066. [Google Scholar] [CrossRef]
- Motta, M.D.C.; Lima, L.A.; Ginciene, G.; Subijana, C.L.; Galatti, L.R. Analysis of the sports career of brazilian international elite squash athletes. J. Phys. Educ. 2021, 32, e-3242. [Google Scholar] [CrossRef]
- Reis, C.P.; Ferreira, M.C.C.; Moraes, L.C.C.A. O apoio dos pais ao desenvolvimento da carreira de atletas masculinos de basquetebol. Rev. Bras. Ciências Esporte 2016, 38, 149–155. [Google Scholar] [CrossRef][Green Version]
- Varguese, M.; Ruparell, S.; Labella, C. Youth athlete development models: A narrative review. Sports Health Multidiscip. Approach 2022, 14, 20–29. [Google Scholar] [CrossRef]
- Leonardi, T.J.; Gutierrez, D.M.; Sarti, A.C.; Souza, L.A.; Nicolau, P.S.; Galatti, L.R.; Paes, R.R. Funding and performance of amateur and youth organizations in Brazil: A longitudinal analysis of a basketball league. Motriz 2021, 27, e1021001621. [Google Scholar] [CrossRef]
- Mosher, A.; Till, K.; Fraser-Thomas, J.; Baker, J. Revisiting early sport specialization: What’s the problem? Sports Health Multidiscip. Approach 2022, 14, 13–19. [Google Scholar] [CrossRef]
- Dorsch, T.E.; Smith, A.L.; Blazo, J.A.; Coakley, J.; Côté, J.; Wagstaff, C.R.D.; Warner, S.; King, M.Q. Toward an integrated understanding of the youth sport system. Res. Q. Exerc. Sport 2020, 93, 105–119. [Google Scholar] [CrossRef]
- Rugg, C.M.; Coughlan, M.J.; Li, J.N.; Hame, S.L.; Feeley, B.T. Early sport specialization among former national collegiate athletic association athletes: Trends, scholarship attainment, injury, and attrition. Am. J. Sports Med. 2021, 49, 1049–1058. [Google Scholar] [CrossRef]
- Popkin, C.A.; Bayomy, A.F.; Ahmad, C.S. Early sport specialization. J. Am. Acad. Orthop. Surg. 2019, 27, e995–e1000. [Google Scholar] [CrossRef]
- Costa, I.P.; Costa, C.; Ordonhes, M.T.; Zamboni, K.J.; Cavichiolli, F.R. The Brazilian program Bolsa-Atleta: Relationship between investment and sports results from 2005 to 2016. Res. Soc. Dev. 2021, 10, e10910312699. [Google Scholar] [CrossRef]
- Martin, A.J.; Ginns, P.; Papworth, B. Motivation and engagement: Same or different? Does it matter? Learn. Individ. Differ. 2017, 55, 150–162. [Google Scholar] [CrossRef]




| Training Stage | No Incentive | Informational | Emotional | Tangible | Chi2 |
|---|---|---|---|---|---|
| Parents | |||||
| Up to the age of 10 | 3 (6%) | 6 (5%) | 26 (16%) | 15 (7%) | x2 = 70.04 p-value = <0.001 |
| 11 to 14 years old | 11 (22%) | 15 (14%) | 51 (32%) | 52 (26%) | |
| 15 to 17 years old | 18 (36%) | 20 (19%) | 62 (38%) | 68 (33%) | |
| 18 and 19 years old | 18 (36%) | 62 (60%) | 20 (12%) | 68 (33%) | |
| Coaches | |||||
| Up to the age of 10 | 4 (18%) | 30 (8%) | 11 (15%) | 5 (7%) | x2 = 12.51 p-value = 0.186 |
| 11 to 14 years old | 6 (27%) | 84 (24%) | 25 (35%) | 14 (19%) | |
| 15 to 17 years old | 6 (27%) | 118 (34%) | 18 (25%) | 26 (37%) | |
| 18 and 19 years old | 6 (27%) | 118 (34%) | 18 (25%) | 26 (37%) | |
| Peers | |||||
| Up to the age of 10 | 13 (14%) | 9 (6%) | 25 (9%) | 3 (3%) | x2 = 19.47 p-value = 0.021 |
| 11 to 14 years old | 31 (34%) | 29 (19%) | 66 (25%) | 3 (3%) | |
| 15 to 17 years old | 23 (26%) | 56 (37%) | 87 (33%) | 2 (2%) | |
| 18 and 19 years old | 23 (26%) | 56 (37%) | 87 (33%) | 2 (2%) | |
| Financial Support | Up to 10 Years | 11 to 14 Years | 15 to 17 Years | 18 to 19 Years Old | Chi2 |
|---|---|---|---|---|---|
| No | 92% | 79.8% | 58.4% | 51.8% | x2 = 50.28 |
| Yes | 8% | 20.2% | 41.6% | 48.2% | p-value < 0.001 |
Disclaimer/Publisher’s Note: The statements, opinions and data contained in all publications are solely those of the individual author(s) and contributor(s) and not of MDPI and/or the editor(s). MDPI and/or the editor(s) disclaim responsibility for any injury to people or property resulting from any ideas, methods, instructions or products referred to in the content. |
© 2025 by the authors. Licensee MDPI, Basel, Switzerland. This article is an open access article distributed under the terms and conditions of the Creative Commons Attribution (CC BY) license (https://creativecommons.org/licenses/by/4.0/).
Share and Cite
Maciel, L.F.P.; Ibáñez, S.J.; Beirith, M.K.; Folle, A. Social Dynamics Established Through Sport: Implications for the Sports Training of Young Brazilian Basketball Athletes. Sports 2025, 13, 84. https://doi.org/10.3390/sports13030084
Maciel LFP, Ibáñez SJ, Beirith MK, Folle A. Social Dynamics Established Through Sport: Implications for the Sports Training of Young Brazilian Basketball Athletes. Sports. 2025; 13(3):84. https://doi.org/10.3390/sports13030084
Chicago/Turabian StyleMaciel, Larissa Fernanda Porto, Sergio José Ibáñez, Mariana Klauck Beirith, and Alexandra Folle. 2025. "Social Dynamics Established Through Sport: Implications for the Sports Training of Young Brazilian Basketball Athletes" Sports 13, no. 3: 84. https://doi.org/10.3390/sports13030084
APA StyleMaciel, L. F. P., Ibáñez, S. J., Beirith, M. K., & Folle, A. (2025). Social Dynamics Established Through Sport: Implications for the Sports Training of Young Brazilian Basketball Athletes. Sports, 13(3), 84. https://doi.org/10.3390/sports13030084

