Variation in Accelerometer-Derived Instantaneous Acceleration Distribution Curves of Elite Male Soccer Players According to Playing Position: A Pilot Study
Abstract
1. Introduction
2. Materials and Methods
2.1. Participants
2.2. Data Recording Procedures
2.3. Statistical Analyses
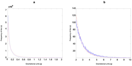
3. Results
4. Discussion
5. Conclusions
Supplementary Materials
Author Contributions
Funding
Institutional Review Board Statement
Informed Consent Statement
Data Availability Statement
Conflicts of Interest
References
- Oliva-Lozano, J.M.; Muyor, J.M.; Fortes, V.; McLaren, S.J. Decomposing the variability of match physical performance in professional soccer: Implications for monitoring individuals. Eur. J. Sport Sci. 2020, 21, 1588–1596. [Google Scholar] [CrossRef] [PubMed]
- Robertson, S.; Bartlett, J.; Gastin, P. Red, Amber, or Green? Athlete Monitoring in Team Sport: The Need for Decision-Support Systems. Int. J. Sports Physiol. Perform. 2017, 12, 73–79. [Google Scholar] [CrossRef] [PubMed]
- Burgess, D. The research doesn’t always apply: Practical solutions to evidence-nased training-load monitoring in elite team sports. Int. J. Sports Physiol. Perform. 2017, 12, 136–141. [Google Scholar] [CrossRef]
- Miguel, M.; Oliveira, R.; Loureiro, N.; García-Rubio, J.; Ibáñez, S.J. Load Measures in Training/Match Monitoring in Soccer: A Systematic Review. Int. J. Environ. Res. Public Health 2021, 18, 2721. [Google Scholar] [CrossRef]
- Impellizzeri, F.; Marcora, S.M.; Coutts, A.J. Internal and external training load: 15 years on. Int. J. Sports Physiol. Perform. 2019, 14, 270–273. [Google Scholar] [CrossRef]
- Bourdon, P.C.; Cardinale, M.; Murray, N.; Gastin, P.; Kellmann, M.; Varley, M.C.; Gabbett, T.J.; Coutts, A.J.; Burgess, D.; Gregson, W.; et al. Monitoring athlete training loads: Consensus statement. Int. J. Sports Physiol. Perform. 2017, 12, 161–170. [Google Scholar] [CrossRef]
- Jeffries, A.; Marcora, S.; Coutts, A.J.; Wallace, L.; McCall, A.; Impellizzeri, F. Development of a revised conceptual framework of physical training for measurement validation and other applications. Sports Med. 2022, 52, 709–724. [Google Scholar] [CrossRef] [PubMed]
- Silva, H.; Nakamura, F.Y.; Beato, M.; Marcelino, R. Acceleration and deceleration demands during training sessions in football: A systematic review. Sci. Med. Footb. 2022, 7, 198–213. [Google Scholar] [CrossRef]
- Martín-García, A.; Casamichana, D.; Gómez-Díaz, A.; Cos, F.; Gabbet, T.J. Positional differences in the most demanding passages of play in football competition. J. Sports Sci. Med. 2018, 17, 563–570. [Google Scholar]
- Martinez-Hernández, D.; Quinn, M.; Jones, P.A. Most common movements preceding goal scoring situations in female professional soccer. Sci. Med. Footb. 2023, 8, 260–268. [Google Scholar] [CrossRef]
- Dalen, T.; Jorgen, I.; Gertjan, E.; Geir Havard, H.; Ulrik, W. Player load, acceleration, and deceleration during forty-five competitive matches of elite soccer. J. Strength Cond. Res. 2016, 30, 351–359. [Google Scholar] [CrossRef] [PubMed]
- Martínez-Cabrera, F.I.; Núñez-Sanchéz, F.J.; Losada, J.; Otero-Esquina, T.; Sánchez, H.; Hoyo, M. Use of individual relative thresholds to assess acceleration in young soccer players according to initial speed. J. Strength Cond. Res. 2021, 35, 1110–1118. [Google Scholar] [CrossRef] [PubMed]
- Malone, J.; Lovell, R.; Varley, M.C.; Coutts, A.J. Unpacking the black box: Applications and considerations for using GPS devices in sport. Int. J. Sports Physiol. Perform. 2017, 12, S2–S18. [Google Scholar] [CrossRef]
- Abbott, W.; Brickley, G.; Smeeton, N.J.; Mills, S. Individualizing acceleration in English Premier League academy soccer players. J. Strength Cond. Res. 2018, 32, 3503–3510. [Google Scholar] [CrossRef]
- Martínez-Cabrera, F.I.; Núñez-Sanchéz, F.J.; Hoyo, M. High-intensity acceleration in soccer. Why is the evaluation method important? Aceleration de alta intensidad en el fútbol. Por qué es importante el método de evaluación? Retos 2020, 39, 750–754. [Google Scholar] [CrossRef]
- Reardon, C.; Tobin, D.P.; Delahunt, E. Application of individualized speed thresholds to interpret position specific running demands in elite professional rugby union: A GPS study. PLoS ONE 2015, 10, e0133410. [Google Scholar] [CrossRef]
- Busch, E.L. Cut points and contexts. Cancer 2021, 127, 4348–4355. [Google Scholar] [CrossRef]
- Gómez-Carmona, C.D.; Bastida-Castillo, A.; Ibáñez, S.J.; Pino-Ortega, J. Accelerometry as a method for external workload monitoring in invasion team sports. A systematic review. PLoS ONE 2020, 15, e0236643. [Google Scholar] [CrossRef]
- Silva, J.R.; Brito, J.; Akenhead, R.M.; Nassis, G.P. The transition period in soccer: A window of opportunity. Sports Med. 2016, 46, 305–313. [Google Scholar] [CrossRef]
- Romero-Moraleda, B.; Nedergaard, N.J.; Morencos, E.; Casamichana, D.; Ramirez-Campillo, R.; Vanrenterghem, J. External and internal loads during the competitive season in professional female soccer players according to their playing position: Differences between training and competition. Res. Sports Med. 2021, 29, 449–461. [Google Scholar] [CrossRef]
- Alonso-Callejo, A.; García-Unanue, J.; Perez-Guerra, A.; Gomez, D.; Sánchez-Shánchez, J.; Gallardo, L.; Oliva-Lozano, J.M.; Felipe, J.L. Effect of playing position and microcycle days on the acceleration speed profile of elite football players. Sci. Rep. 2022, 12, 19266. [Google Scholar] [CrossRef] [PubMed]
- Bloomfield, J.; Polman, R.; O’Donoghue, P. Physical demands of different positions in FA Premier League soccer. J. Sports Sci. Med. 2007, 6, 63–70. [Google Scholar]
- Scott, M.T.U.; Scott, T.J.; Kelly, V.G. The validity and reliability of global positioning systems in team sport: A brief review. J. Strength Cond. Res. 2016, 30, 1470–1490. [Google Scholar] [CrossRef]
- Crang, Z.L.; Duthie, G.M.; Cole, M.H.; Weakley, J.; Hewitt, A.; Johnston, R.D. The inter-device reliability of global navigation satellite systems during team sport movement across multiple days. J. Sci. Med. Sport 2022, 25, 340–344. [Google Scholar] [CrossRef]
- Pereira, L.A.; Freitas, V.; Moura, F.A.; Aoki, M.S.; Loturco, I.; Nakamura, F.Y. The activity profile of young tennis athletes playing on clay and hard courts: Preliminary data. J. Hum. Kinet. 2016, 50, 211–218. [Google Scholar] [CrossRef] [PubMed]
- Bowman, A.W.; Azzalini, A. Applied smoothing techniques for data analysis. Comput. Stat. 1997, 15, 301–302. [Google Scholar]
- Whyte, E.F.; Richter, C.; O’connor, S.; Moran, K.A. The effect of high intensity exercise and anticipation on trunk and lower limb biomechanics during a crossover cutting manoeuvre. J. Sports Sci. 2017, 36, 889–900. [Google Scholar] [CrossRef] [PubMed]
- Sullivan, G.M.; Feinn, R. Using effect size—Or why the p value is not enough. J. Grad. Med. Educ. 2012, 4, 279–282. [Google Scholar] [CrossRef]
- Baptista, I.; Johansen, D.; Seabra, A.; Pettersen, S.A. Position specific player load during match-play in a professional football club. PLoS ONE 2018, 13, e0198115. [Google Scholar] [CrossRef]
- Nagano, Y.; Sasaki, S.; Shimada, Y.; Koyama, T.; Ichikawa, H. High-impact details of play and movements in female basketball game. Sports Med. Int. Open 2021, 5, E22–E27. [Google Scholar] [CrossRef]
- Sasaki, S.; Nagano, Y.; Suganuma, Y.; Koyama, T.; Ichikawa, H. Acceleration profile of high-impact movements during young football games: A cross-sectional study involving healthy children. Sports Biomech. 2021, 7, 1–15. [Google Scholar] [CrossRef] [PubMed]
- McLellan, C.P.; Lovell, D.I. Neuromuscular responses to impact and collision during elite rugby league match play. J. Strength Cond. Res. 2012, 26, 1431–1440. [Google Scholar] [CrossRef] [PubMed]
- Wellman, A.D.; Coad, S.C.; Goulet, G.C.; Coffey, V.G.; Mclellan, C.P. Quantification of accelerometer derived impacts associated with competitive games in NCAA division I college football players. J. Strength Cond. Res. 2016, 31, 330–338. [Google Scholar] [CrossRef]
- Gualtieri, A.; Rampinini, E.; Iacono, A.D.; Beato, M. High-speed running and sprinting in professional adult soccer: Current thresholds definition, match demands and training strategies. A systematic review. Front. Sport Act. Living 2023, 5, 1116293. [Google Scholar] [CrossRef]
- Koyama, T.; Rikukawa, A.; Nagano, Y.; Sasaki, S.; Ichikawa, H.; Hirose, N. Acceleration profile of high-intensity movements in basketball games. J. Strength Cond. Res. 2020, 36, 1715–1719. [Google Scholar] [CrossRef]
- Nagano, Y.; Sasaki, S.; Higashihara, A.; Ichikawa, H. Movements with greater trunk accelerations and their properties during badminton games. Sports Biomech. 2018, 19, 342–352. [Google Scholar] [CrossRef]
- Baptista, I.; Johansen, D.; Figueiredo, P.; Rebelo, A.; Pettersen, S.A. A comparison of match-physical demands between different tactical systems: 1-4-5-1 vs. 1-3-5-2. PLoS ONE 2019, 14, e0214952. [Google Scholar] [CrossRef] [PubMed]
- Zhang, S.; Derrick, T.R.; Evans, W.; Yu, Y.-J. Shock and impact reduction in moderate and strenuous landing activities. Sports Biomech. 2008, 7, 296–309. [Google Scholar] [CrossRef] [PubMed]
- Ellens, S.; Carey, D.L.; Gastin, P.B.; Varley, M.C. Effect of Data-Processing Methods on Acceleration Summary Metrics of GNSS Devices in Elite Australian Football. Sensors 2024, 24, 4383. [Google Scholar] [CrossRef]
- Dawson, L.; Beato, M.; Devereux, G.; McErlain-Naylor, S.A. A Review of the Validity and Reliability of Accelerometer-Based Metrics From Upper Back–Mounted GNSS Player Tracking Systems for Athlete Training Load Monitoring. J. Strength Cond. Res. 2024, 10, e1–e16. [Google Scholar] [CrossRef]



| FB | CM | WM | ST | |
|---|---|---|---|---|
| CD | 540 | 535 | 414 | 264 |
| FB | 12 | 0 | 129 | |
| CM | 12 | 109 | ||
| WM | 2 |
Disclaimer/Publisher’s Note: The statements, opinions and data contained in all publications are solely those of the individual author(s) and contributor(s) and not of MDPI and/or the editor(s). MDPI and/or the editor(s) disclaim responsibility for any injury to people or property resulting from any ideas, methods, instructions or products referred to in the content. |
© 2024 by the authors. Licensee MDPI, Basel, Switzerland. This article is an open access article distributed under the terms and conditions of the Creative Commons Attribution (CC BY) license (https://creativecommons.org/licenses/by/4.0/).
Share and Cite
Oliveira, P.; Moura, F.A.; Baptista, I.; Nakamura, F.Y.; Afonso, J. Variation in Accelerometer-Derived Instantaneous Acceleration Distribution Curves of Elite Male Soccer Players According to Playing Position: A Pilot Study. Sports 2024, 12, 263. https://doi.org/10.3390/sports12090263
Oliveira P, Moura FA, Baptista I, Nakamura FY, Afonso J. Variation in Accelerometer-Derived Instantaneous Acceleration Distribution Curves of Elite Male Soccer Players According to Playing Position: A Pilot Study. Sports. 2024; 12(9):263. https://doi.org/10.3390/sports12090263
Chicago/Turabian StyleOliveira, Pedro, Felipe Arruda Moura, Ivan Baptista, Fábio Yuzo Nakamura, and José Afonso. 2024. "Variation in Accelerometer-Derived Instantaneous Acceleration Distribution Curves of Elite Male Soccer Players According to Playing Position: A Pilot Study" Sports 12, no. 9: 263. https://doi.org/10.3390/sports12090263
APA StyleOliveira, P., Moura, F. A., Baptista, I., Nakamura, F. Y., & Afonso, J. (2024). Variation in Accelerometer-Derived Instantaneous Acceleration Distribution Curves of Elite Male Soccer Players According to Playing Position: A Pilot Study. Sports, 12(9), 263. https://doi.org/10.3390/sports12090263

