Loading or Unloading? This Is the Question! A Multi-Season Study in Professional Football Players
Highlights
- LEI, derived from a machine learning model, was sensitive to variations in weekly load, particularly for total distance and mechanical load.
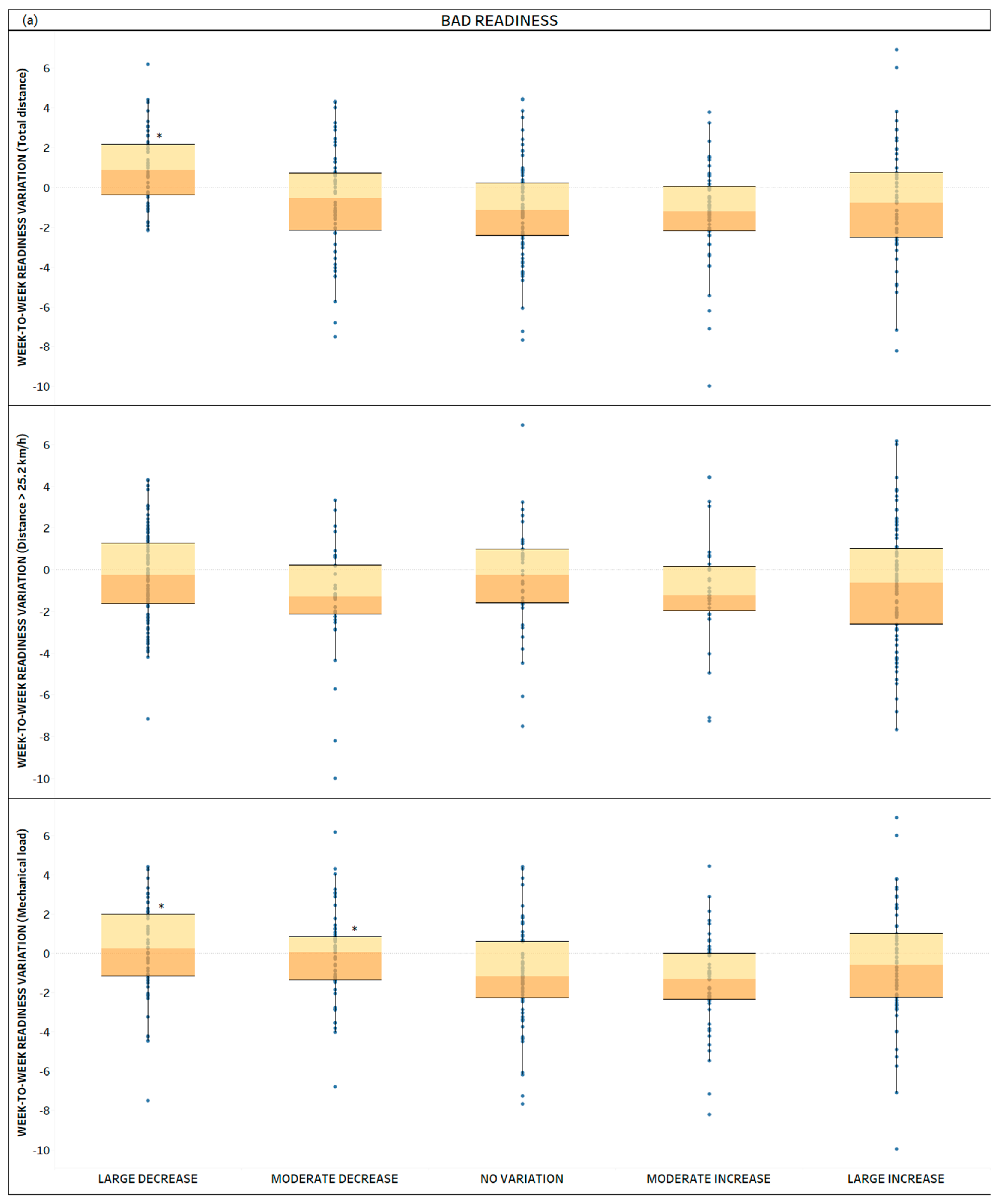
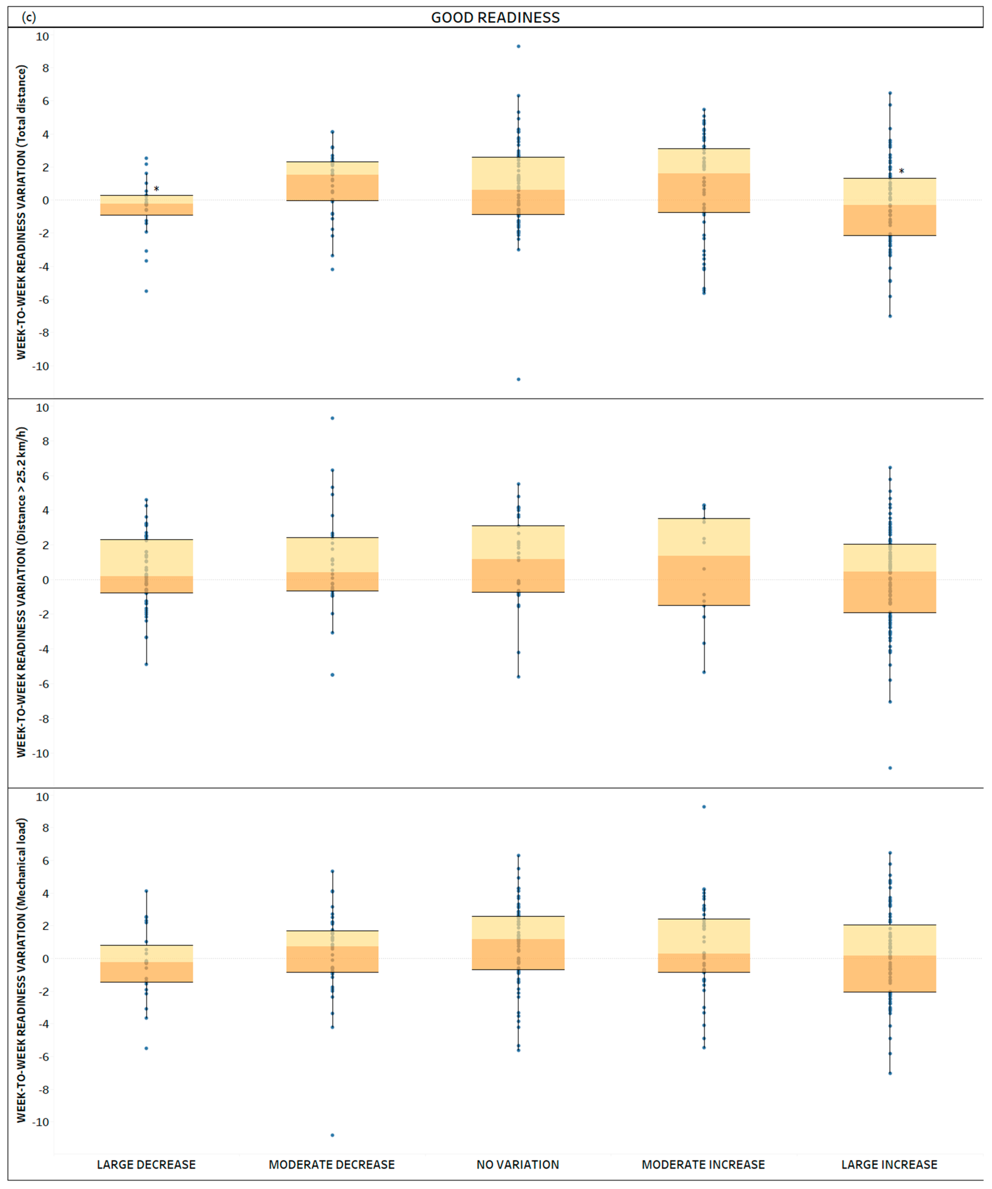
- The research confirmed that reducing weekly loads through tapering strategies, especially for players in poor or normal readiness conditions, helps improve their LEI and overall neuromuscular readiness. However, for players in good readiness, large reductions in training load can lead to insufficient training stimuli, impairing performance.
- Personalized training load adjustments based on neuromuscular readiness, as indicated by LEI, are crucial for optimizing performance and preventing fatigue in elite football players.
- Football practitioners should consider reducing training loads for players with poor readiness while maintaining or slightly increasing it for those in better condition to sustain high performance throughout a season.
Abstract
1. Introduction
2. Materials and Methods
2.1. Study Design
2.2. Participants
2.3. External Load Data Collection
3. Data Analysis
3.1. Calculation of the Locomotor Efficiency Index
3.2. Definition of the Different Training Scenarios
3.2.1. Weekly Readiness
- Bad readiness: players exhibited a weekly LEI value lower than −0.5.
- Normal readiness: players exhibited a weekly LEI value between −0.5 and 0.5.
- Good readiness: players exhibited a weekly LEI value higher than 0.5.
3.2.2. Week-to-Week Load Fluctuation
- Large decrease: <30% of the individual weekly load;
- Moderate decrease: between −30% and −10% of the individual weekly load;
- No variation: between −10% and +10% of the individual weekly load;
- Moderate increase; between +10% and +30% of the individual weekly load;
- Large increase: >30% of the individual weekly load.
3.2.3. Week-to-Week LEI Variation
4. Statistical Analysis
5. Results
- Total Distance
- Distance > 25.2 km/h (m)
- Mechanical Load (cnt)
6. Discussion
7. Limitations and Future Research Perspectives
8. Practical Applications
9. Conclusions
Author Contributions
Funding
Institutional Review Board Statement
Informed Consent Statement
Data Availability Statement
Acknowledgments
Conflicts of Interest
References
- Malone, J.J.; Di Michele, R.; Morgans, R.; Burgess, D.; Morton, J.P.; Drust, B. Seasonal training-load quantification in elite English premier league soccer players. Int. J. Sports Physiol. Perform. 2015, 10, 489–497. [Google Scholar] [CrossRef]
- Kelly, D.M.; Strudwick, A.J.; Atkinson, G.; Drust, B.; Gregson, W. Quantification of training and match-load distribution across a season in elite English Premier League soccer players. Sci. Med. Footb. 2020, 4, 59–67. [Google Scholar] [CrossRef]
- Brito, J.; Hertzog, M.; Nassis, G.P. Do match-related contextual variables influence training load in highly trained soccer players? J. Strength Cond. Res. 2016, 30, 393–399. [Google Scholar] [CrossRef] [PubMed]
- Banister, E.W.; Calvert, T.W.; Savage, M.V.; Bach, T. A systems model of training for athletic performance. Aust. J. Sports Med. 1975, 7, 57–61. [Google Scholar]
- Vermeire, K. The fitness-fatigue model: Whats in the numbers? Int. J. Sports Physiol. Perform. 2022, 2021, 0494. [Google Scholar]
- Thorpe, R.T.; Strudwick, A.J.; Buchheit, M.; Atkinson, G.; Drust, B.; Gregson, W. Tracking morning fatigue status across in-season training weeks in elite soccer players. Int. J. Sports Physiol. Perform. 2016, 11, 947–952. [Google Scholar] [CrossRef] [PubMed]
- Teixeira, J.E.; Forte, P.; Ferraz, R.; Leal, M.; Ribeiro, J.; Silva, A.J.; Barbosa, T.M.; Monteiro, A.M. Monitoring accumulated training and match load in football: A systematic review. Int. J. Environ. Res. Public Health 2021, 18, 3906. [Google Scholar] [CrossRef] [PubMed]
- Bourdon, P.C.; Cardinale, M.; Murray, A.; Gastin, P.; Kellmann, M.; Varley, M.C.; Gabbett, T.J.; Coutts, A.J.; Burgess, D.J.; Gregson, W. Monitoring athlete training loads: Consensus statement. Int. J. Sports Physiol. Perform. 2017, 12, S2-161–S2-170. [Google Scholar] [CrossRef]
- Djaoui, L.; Haddad, M.; Chamari, K.; Dellal, A. Monitoring training load and fatigue in soccer players with physiological markers. Physiol. Behav. 2017, 181, 86–94. [Google Scholar] [CrossRef] [PubMed]
- Buchheit, M. Monitoring training status with HR measures: Do all roads lead to Rome? Front. Physiol. 2014, 5, 73. [Google Scholar] [CrossRef]
- Polito, L.F.T.; Figueira, A.J., Jr.; Miranda, M.L.J.; Chtourou, H.; Miranda, J.M.; Brandão, M.R.F. Psychophysiological indicators of fatigue in soccer players: A systematic review. Sci. Sports 2017, 32, 1–13. [Google Scholar] [CrossRef]
- Selmi, O.; Ouergui, I.; Levitt, D.E.; Marzouki, H.; Knechtle, B.; Nikolaidis, P.T.; Bouassida, A. Training, psychometric status, biological markers and neuromuscular fatigue in soccer. Biol. Sport 2022, 39, 319–327. [Google Scholar] [CrossRef] [PubMed]
- Meeusen, R.; Duclos, M.; Foster, C.; Fry, A.; Gleeson, M.; Nieman, D.; Raglin, J.; Rietjens, G.; Steinacker, J.; Urhausen, A. Prevention, diagnosis, and treatment of the overtraining syndrome: Joint consensus statement of the European College of Sport Science and the American College of Sports Medicine. Med. Sci. Sports Exerc. 2013, 45, 186–205. [Google Scholar] [CrossRef] [PubMed]
- Nobari, H.; Alves, A.R.; Haghighi, H.; Clemente, F.M.; Carlos-Vivas, J.; Pérez-Gómez, J.; Ardigò, L.P. Association between training load and well-being measures in young soccer players during a season. Int. J. Environ. Res. Public Health 2021, 18, 4451. [Google Scholar] [CrossRef] [PubMed]
- Thorpe, R.T.; Strudwick, A.J.; Buchheit, M.; Atkinson, G.; Drust, B.; Gregson, W. The influence of changes in acute training load on daily sensitivity of morning-measured fatigue variables in elite soccer players. Int. J. Sports Physiol. Perform. 2017, 12, S2107–S2113. [Google Scholar] [CrossRef] [PubMed]
- Gastin, P.B.; Meyer, D.; Robinson, D. Perceptions of wellness to monitor adaptive responses to training and competition in elite Australian football. J. Strength Cond. Res. 2013, 27, 2518–2526. [Google Scholar] [CrossRef] [PubMed]
- Mandorino, M.; Tessitore, A.; Leduc, C.; Persichetti, V.; Morabito, M.; Lacome, M. A New Approach to Quantify Soccer Players’ Readiness through Machine Learning Techniques. Appl. Sci. 2023, 13, 8808. [Google Scholar] [CrossRef]
- Helgerud, J.; Høydal, K.; Wang, E.; Karlsen, T.; Berg, P.; Bjerkaas, M.; Simonsen, T.; Helgesen, C.; Hjorth, N.; Bach, R. Aerobic high-intensity intervals improve V˙ O2max more than moderate training. Med. Sci. Sports Exerc. 2007, 39, 665–671. [Google Scholar] [CrossRef] [PubMed]
- Mandorino, M.; Clubb, J.; Lacome, M. Predicting Soccer Players’ Fitness Status Through a Machine-Learning Approach. Int. J. Sports Physiol. Perform. 2024, 19, 443–453. [Google Scholar] [CrossRef]
- Winter, E.M.; Maughan, R.J. Requirements for ethics approvals. J. Sports Sci. 2009, 27, 985. [Google Scholar] [CrossRef]
- Harriss, D.J.; Atkinson, G. Update–ethical standards in sport and exercise science research. Int. J. Sports Med. 2011, 32, 819–821. [Google Scholar] [CrossRef] [PubMed]
- Gómez-Carmona, C.D.; Pino-Ortega, J.; Sánchez-Ureña, B.; Ibáñez, S.J.; Rojas-Valverde, D. Accelerometry-based external load indicators in sport: Too many options, same practical outcome? Int. J. Environ. Res. Public Health 2019, 16, 5101. [Google Scholar] [CrossRef] [PubMed]
- Gomez-Carmona, C.D.; Bastida-Castillo, A.; García-Rubio, J.; Ibáñez, S.J.; Pino-Ortega, J. Static and dynamic reliability of WIMU PROTM accelerometers according to anatomical placement. Proc. Inst. Mech. Eng. Part P J. Sports Eng. Technol. 2019, 233, 238–248. [Google Scholar]
- Cormack, S.J.; Mooney, M.G.; Morgan, W.; McGuigan, M.R. Influence of neuromuscular fatigue on accelerometer load in elite Australian football players. Int. J. Sports Physiol. Perform. 2013, 8, 373–378. [Google Scholar] [CrossRef] [PubMed]
- Fitzpatrick, J.F.; Hicks, K.M.; Russell, M.; Hayes, P.R. The reliability of potential fatigue-monitoring measures in elite youth soccer players. J. Strength Cond. Res. 2021, 35, 3448–3452. [Google Scholar] [CrossRef]
- Barrett, S.; Midgley, A.W.; Towlson, C.; Garrett, A.; Portas, M.; Lovell, R. Within-match PlayerLoadTM patterns during a simulated soccer match: Potential implications for unit positioning and fatigue management. Int. J. Sports Physiol. Perform. 2016, 11, 135–140. [Google Scholar] [CrossRef] [PubMed]
- Pollard, R.; Armatas, V. Factors affecting home advantage in football World Cup qualification. Int. J. Perform. Anal. Sport 2017, 17, 121–135. [Google Scholar] [CrossRef]
- Dubois, R.; Paillard, T.; Lyons, M.; McGrath, D.; Maurelli, O.; Prioux, J. Running and metabolic demands of elite rugby union assessed using traditional, metabolic power, and heart rate monitoring methods. J. Sports Sci. Med. 2017, 16, 84–92. [Google Scholar]
- Lacome, M.; Simpson, B.; Broad, N.; Buchheit, M. Monitoring players’ readiness using predicted heart-rate responses to soccer drills. Int. J. Sports Physiol. Perform. 2018, 13, 1273–1280. [Google Scholar] [CrossRef]
- Carling, C.; Lacome, M.; McCall, A.; Dupont, G.; Le Gall, F.; Simpson, B.; Buchheit, M. Monitoring of post-match fatigue in professional soccer: Welcome to the real world. Sports Med. 2018, 48, 2695–2702. [Google Scholar] [CrossRef]
- Buchheit, M.; Lacome, M.; Cholley, Y.; Simpson, B.M. Neuromuscular responses to conditioned soccer sessions assessed via GPS-embedded accelerometers: Insights into tactical periodization. Int. J. Sports Physiol. Perform. 2018, 13, 577–583. [Google Scholar] [CrossRef] [PubMed]
- Beltran-Valls, M.R.; Camarero-López, G.; Beltran-Garrido, J.V.; Cecilia-Gallego, P. Effects of a tapering period on physical condition in soccer players. J. Strength Cond. Res. 2020, 34, 1086–1092. [Google Scholar] [CrossRef] [PubMed]
- Fessi, M.S.; Zarrouk, N.; Di Salvo, V.; Filetti, C.; Barker, A.R.; Moalla, W. Effects of tapering on physical match activities in professional soccer players. J. Sports Sci. 2016, 34, 2189–2194. [Google Scholar] [CrossRef] [PubMed]
- Gamble, P. Periodization of training for team sports athletes. Strength Cond. J. 2006, 28, 56–66. [Google Scholar] [CrossRef]
- Weston, M. Training load monitoring in elite English soccer: A comparison of practices and perceptions between coaches and practitioners. Sci. Med. Footb. 2018, 2, 216–224. [Google Scholar] [CrossRef]
- Brink, M.S.; Frencken, W.G.; Jordet, G.; Lemmink, K.A. Coaches’ and players’ perceptions of training dose: Not a perfect match. Int. J. Sports Physiol. Perform. 2014, 9, 497–502. [Google Scholar] [CrossRef]
- Chiu, L.Z.; Barnes, J.L. The fitness-fatigue model revisited: Implications for planning short-and long-term training. Strength Cond. J. 2003, 25, 42–51. [Google Scholar] [CrossRef]
- Imbach, F.; Perrey, S.; Chailan, R.; Meline, T.; Candau, R. Training load responses modelling and model generalisation in elite sports. Sci. Rep. 2022, 12, 1586. [Google Scholar] [CrossRef] [PubMed]
- Murray, N.B.; Gabbett, T.J.; Townshend, A.D.; Blanch, P. Calculating acute: Chronic workload ratios using exponentially weighted moving averages provides a more sensitive indicator of injury likelihood than rolling averages. Br. J. Sports Med. 2017, 51, 749–754. [Google Scholar] [CrossRef]
- Piggott, B. The Relationship between Training Load and Incidence of Injury and Illness over a Pre-Season at an Australian Football League Club. Master’s Thesis, Edith Cowan University, Joondalup, Australia, 2008. [Google Scholar]
- Gabbett, T.J. The training—Injury prevention paradox: Should athletes be training smarter and harder? Br. J. Sports Med. 2016, 50, 273–280. [Google Scholar] [CrossRef]
- Windt, J.; Gabbett, T.J. How do training and competition workloads relate to injury? The workload—Injury aetiology model. Br. J. Sports Med. 2017, 51, 428–435. [Google Scholar] [CrossRef] [PubMed]
- Rogalski, B.; Dawson, B.; Heasman, J.; Gabbett, T.J. Training and game loads and injury risk in elite Australian footballers. J. Sci. Med. Sport 2013, 16, 499–503. [Google Scholar] [CrossRef] [PubMed]
- McLaren, S.J.; Macpherson, T.W.; Coutts, A.J.; Hurst, C.; Spears, I.R.; Weston, M. The relationships between internal and external measures of training load and intensity in team sports: A meta-analysis. Sports Med. 2018, 48, 641–658. [Google Scholar] [CrossRef] [PubMed]
- Fox, J.L.; Stanton, R.; Sargent, C.; Wintour, S.-A.; Scanlan, A.T. The association between training load and performance in team sports: A systematic review. Sports Med. 2018, 48, 2743–2774. [Google Scholar] [CrossRef]
- Hader, K.; Rumpf, M.C.; Hertzog, M.; Kilduff, L.P.; Girard, O.; Silva, J.R. Monitoring the athlete match response: Can external load variables predict post-match acute and residual fatigue in soccer? A systematic review with meta-analysis. Sports Med.-Open 2019, 5, 48. [Google Scholar] [CrossRef]





| Predictors | Total distance (m) Distance > 7.2 km/h (m) Number of decelerations < −2.5 (m/s2) Number of accelerations > 2.5 (m/s2) Max speed (km/h) Max decelerations (m/s2) Max decelerations (m/s2) |
| Target | PlayerLoadTM (PL) |
| Season | External Load Parameter | Week-to-Week Load Fluctuation Condition | ||||
|---|---|---|---|---|---|---|
| Large Decrease | Moderate Decrease | No Variation | Large Increase | Moderate Increase | ||
| Season 2021/22 | Total distance | 0.70 (±2.33) | 0.32 (±2.14) | −0.13 (±2.28) | −1.03 (±2.74) | −0.37 (±2.16) |
| Distance > 25.2 km/h | 0.31 (±2.35) | −0.31 (±2.28) | 0.03 (±2.42) | −0.50 (±2.63) | −0.38 (±2.29) | |
| Mechanical load | 0.30 (±2.42) | 0.22 (±2.17) | −0.15 (±2.51) | −0.50 (±2.22) | −0.54 (±2.44) | |
| Season 2022/23 | Total distance | 0.64 (±2.40) | −0.22 (±2.36) | −0.10 (±2.26) | −0.49 (±2.55) | −0.33 (±2.80) |
| Distance > 25.2 km/h | −0.03 (±2.35) | 0.01 (±2.56) | −0.07 (±1.80) | −0.38 (±2.61) | −0.27 (±2.73) | |
| Mechanical load | 0.08 (±2.57) | −0.10 (±2.24) | −0.17 (±2.13) | −0.18 (±2.77) | −0.33 (±2.78) | |
| Overall | Total distance | 0.67 (±2.36) | 0.09 (±2.25) | −0.12 (±2.27) | −0.35 (±2.66) | −0.77 (±2.50) |
| Distance > 25.2 km/h | 0.18 (±2.35) | −0.19 (±2.39) | −0.01 (±2.22) | −0.46 (±2.61) | −0.33 (±2.50) | |
| Mechanical load | 0.26 (±2.48) | 0.08 (±2.21) | −0.16 (±2.38) | −0.38 (±2.44) | −0.44 (±2.60) | |
| External Load Parameter | Readiness Condition | Week-to-Week Load Fluctuation | β | 95% CI | p-Value |
|---|---|---|---|---|---|
| Total distance | Bad readiness | Large decrease | 2.07 | [1.20 to 2.94] | 0.001 |
| Moderate decrease | 0.41 | [−0.40 to 1.24] | 0.319 | ||
| Moderate increase | −0.18 | [−1.03 to 0.66] | 0.666 | ||
| Large increase | 0.39 | [−0.46 to 1.24] | 0.365 | ||
| No variation | 0 a | 0 a | 0 a | ||
| Normal readiness | Large decrease | 0.82 | [0.48 to 1.17] | 0.001 | |
| Moderate decrease | 0.23 | [−0.05 to 0.52] | 0.115 | ||
| Moderate increase | −0.40 | [−0.73 to −0.07] | 0.016 | ||
| Large increase | −0.78 | [−1.10 to −0.46] | 0.001 | ||
| No variation | 0 a | 0 a | 0 a | ||
| Good readiness | Large decrease | −1.22 | [−2.43 to −0.01] | 0.047 | |
| Moderate decrease | 0.26 | [−0.84 to 1.36] | 0.640 | ||
| Moderate increase | 0.14 | [−0.77 to 1.07] | 0.753 | ||
| Large increase | −1.05 | [−1.91 to −0.18] | 0.018 | ||
| No variation | 0 a | 0 a | 0 a | ||
| Distance > 25.2 km/h | Bad readiness | Large decrease | 0.15 | [−0.81 to 1.11] | 0.757 |
| Moderate decrease | −0.94 | [−2.08 to 0.20] | 0.106 | ||
| Moderate increase | −0.55 | [−1.77 to 0.66] | 0.373 | ||
| Large increase | −0.30 | [−1.27 to 0.67] | 0.546 | ||
| No variation | 0 a | 0 a | 0 a | ||
| Normal readiness | Large decrease | 0.33 | [−0.02 to 0.69] | 0.067 | |
| Moderate decrease | 0.13 | [−0.28 to 0.55] | 0.524 | ||
| Moderate increase | −0.21 | [−0.66 to 0.23] | 0.348 | ||
| Large increase | −0.15 | [−0.50 to 0.20] | 0.397 | ||
| No variation | 0 a | 0 a | 0 a | ||
| Good readiness | Large decrease | −0.56 | [−1.70 to 0.56] | 0.323 | |
| Moderate decrease | −0.16 | [−1.46 to 1.14] | 0.808 | ||
| Moderate increase | −0.29 | [−1.94 to 1.36] | 0.728 | ||
| Large increase | −0.90 | [−1.92 to 0.11] | 0.081 | ||
| No variation | 0 a | 0 a | 0 a | ||
| Mechanical load | Bad readiness | Large decrease | 1.23 | [0.35 to 2.12] | 0.006 |
| Moderate decrease | 0.93 | [0.06 to 1.79] | 0.035 | ||
| Moderate increase | −0.34 | [−1.26 to 0.57] | 0.459 | ||
| Large increase | 0.51 | [−0.33 to 1.37] | 0.235 | ||
| No variation | 0 a | 0 a | 0 a | ||
| Normal readiness | Large decrease | 0.48 | [0.14 to 0.82] | 0.005 | |
| Moderate decrease | 0.12 | [−0.18 to 0.44] | 0.428 | ||
| Moderate increase | −0.32 | [−0.67 to 0.02] | 0.062 | ||
| Large increase | −0.48 | [−0.81 to −0.16] | 0.004 | ||
| No variation | 0 a | 0 a | 0 a | ||
| Good readiness | Large decrease | −1.13 | [−2.38 to 0.11] | 0.074 | |
| Moderate decrease | −0.56 | [−1.61 to 0.48] | 0.291 | ||
| Moderate increase | −0.19 | [−1.20 to 0.81] | 0.710 | ||
| Large increase | −0.65 | [−1.54 to 0.23] | 0.149 | ||
| No variation | 0 a | 0 a | 0 a |
Disclaimer/Publisher’s Note: The statements, opinions and data contained in all publications are solely those of the individual author(s) and contributor(s) and not of MDPI and/or the editor(s). MDPI and/or the editor(s) disclaim responsibility for any injury to people or property resulting from any ideas, methods, instructions or products referred to in the content. |
© 2024 by the authors. Licensee MDPI, Basel, Switzerland. This article is an open access article distributed under the terms and conditions of the Creative Commons Attribution (CC BY) license (https://creativecommons.org/licenses/by/4.0/).
Share and Cite
Mandorino, M.; Tessitore, A.; Lacome, M. Loading or Unloading? This Is the Question! A Multi-Season Study in Professional Football Players. Sports 2024, 12, 148. https://doi.org/10.3390/sports12060148
Mandorino M, Tessitore A, Lacome M. Loading or Unloading? This Is the Question! A Multi-Season Study in Professional Football Players. Sports. 2024; 12(6):148. https://doi.org/10.3390/sports12060148
Chicago/Turabian StyleMandorino, Mauro, Antonio Tessitore, and Mathieu Lacome. 2024. "Loading or Unloading? This Is the Question! A Multi-Season Study in Professional Football Players" Sports 12, no. 6: 148. https://doi.org/10.3390/sports12060148
APA StyleMandorino, M., Tessitore, A., & Lacome, M. (2024). Loading or Unloading? This Is the Question! A Multi-Season Study in Professional Football Players. Sports, 12(6), 148. https://doi.org/10.3390/sports12060148

