The Effect of Static Apnea Diving Training on the Physiological Parameters of People with a Sports Orientation and Sedentary Participants: A Pilot Study
Abstract
1. Introduction
2. Materials and Methods
2.1. Participants
2.2. Experimental Design
2.3. Breathing Exercise
2.4. Statistical Analysis
3. Results
4. Discussion
5. Conclusions
Author Contributions
Funding
Institutional Review Board Statement
Informed Consent Statement
Data Availability Statement
Conflicts of Interest
References
- Kenney, W.L.; Wilmore, J.; Costil, D. Physiology of Sport and Exercise; Human kinetics: Champaign, IL, USA, 2015. [Google Scholar]
- Bahenský, P.; Bunc, V.; Marko, D.; Malátová, R. Dynamics of ventilation parameters at different load intensities and the option to influence it by a breathing exercise. Sports Med. Phys. Fit. 2020, 60, 1101–1109. [Google Scholar] [CrossRef]
- Faghy, M.A.; Brown, P.I. Functional training of the inspiratory muscles improves load carriage performance. Ergonomics 2019, 62, 1439–1449. [Google Scholar] [CrossRef]
- Hinde, K.L.; Low, C.; Lloyd, R.; Cooke, C.B. Inspiratory muscle training at sea level improves the strength of inspiratory muscles during load carriage in cold-hypoxia. Ergonomics 2020, 63, 1584–1598. [Google Scholar] [CrossRef]
- Bahenský, P.; Bunc, V.; Malátová, R.; Marko, D.; Grosicki, G.J.; Schuster, J. Impact of a breathing intervention on engagement of abdominal, thoracic, and subclavian musculature during exercise, a randomized trial. J. Clin. Med. 2021, 10, 3514. [Google Scholar] [CrossRef]
- Harbour, E.; Stöggl, T.; Schwameder, H.; Finkenzeller, T. Breath tools: A synthesis of evidence-based breathing strategies to enhance human running. Front. Physiol. 2022, 13, 813243. [Google Scholar] [CrossRef]
- Gandevia, S.C.; Butler, J.E.; Hodges, P.W.; Taylor, J.L. Balancing acts: Respiratory sensations, motor control and human posture. Clin. Exp. Pharmacol. Phys. 2002, 29, 118–121. [Google Scholar] [CrossRef]
- Jerath, R.; Crawford, M.W.; Barnes, V.A.; Harden, K. Self-regulation of breathing as a primary treatment of anxiety. Appl. Psychophysiol. Biofeedback 2015, 40, 107–115. [Google Scholar] [CrossRef]
- Woorons, X.; Bourdillon, N.; Vandewalle, H.; Lamberto, C.; Mollard, P.; Richalet, J.P.; Pichon, A. Exercise with hypoventilation induces lower muscle oxygenation and higher blood lactate concentration: Role of hypoxia and hypercapnia. Eur. J. Appl. Physiol. 2020, 110, 367–377. [Google Scholar] [CrossRef]
- Basualto-Alarcón, C.; Rodas, G.; Galilea, P.A.; Riera, J.; Pagés, T.; Ricart, A.; Torella, R.J.; Behn, K.; Viscor, G. Cardiorespiratory parameters during submaximal exercise under acute exposure to normobaric and hypobaric hypoxia. Apunts. Med. L’esport 2012, 47, 65–72. [Google Scholar] [CrossRef]
- Weavil, J.C.; Amann, M. Neuromuscular fatigue during whole body exercise. Curr. Opin. Physiol. 2019, 10, 128–136. [Google Scholar] [CrossRef]
- Holfelder, B.; Becker, F. Hypoventilation training: A systematic review. Sports Exerc. Med. Switz. 2019, 66, 10. [Google Scholar] [CrossRef]
- Muth, C.M.; Radermacher, P.; Pittner, A.; Steinacker, J.; Schabana, R.; Hamich, S.; Paulat, K.; Calzia, E. Arterial blood gases during diving in elite apnea divers. Int. J. Sports Med. 2003, 24, 104–107. [Google Scholar] [CrossRef]
- Lindholm, P.; Nordh, J.; Gennser, M. The heart rate of breath-hold divers during static apnea: Effects of competitive stress. Undersea Hyperb. Med. 2006, 33, 119. [Google Scholar] [PubMed]
- Walterspacher, S.; Scholz, T.; Tetzlaff, K.; Sorichter, S. Breath-hold diving: Respiratory function on the longer term. Med. Sci. Sports Exerc. 2011, 43, 1214–1219. [Google Scholar] [CrossRef]
- Aidainternational. Available online: https://www.aidainternational.orq/ (accessed on 28 March 2024).
- Bain, A.R.; Drvis, I.; Dujic, Z.; MacLeod, D.B.; Ainslie, P.N. Physiology of static breath holding in elite apneists. Exp. Physiol. 2018, 103, 635–651. [Google Scholar] [CrossRef] [PubMed]
- Massini, D.A.; Scaggion, D.; De Oliviera, T.P.; Macedo, A.G.; Almeida, T.F.; Pessôa Filho, D.M. Training methods for maximal static apnea performance: A systematic review and meta-analysis. J. Sports Med. Phys. Fit. 2022, 63, 77–85. [Google Scholar] [CrossRef]
- Eichhorn, L.; Erdfelder, F.; Kessler, F.; Dolscheid-Pommerich, R.C.; Zur, B.; Hoffmann, U.; Ellerkmann, R.; Meyer, R. Influence of Apnea-induced Hypoxia on Catecholamine Release and Cardiovascular Dynamics. Int. J. Sports Med. 2017, 38, 85–91. [Google Scholar] [CrossRef]
- Moir, M.E.; Klassen, S.A.; Al-Khazraji, B.K.; Woehrle, E.; Smith, S.O.; Matushewski, B.J.; Kozic, D.; Dujic, Ž.; Barak, O.F.; Shoemaker, K. Impaired dynamic cerebral autoregulation in trained breath-hold divers. J. Appl. Physiol. 2019, 126, 1694–1700. [Google Scholar] [CrossRef]
- Lemaître, F.; Joulia, F.; Chollet, D. Apnea: A new training method in sport? Med. Hypotheses 2010, 74, 413–415. [Google Scholar] [CrossRef] [PubMed]
- Guimard, A.; Joulia, F.; Prieur, F.; Poszalczyk, G.; Helme, K.; Lhuissier, F.J. Exponential Relationship Between Maximal Apnea Duration and Exercise Intensity in Non-apnea Trained Individuals. Front. Physiol. 2022, 12, 815–824. [Google Scholar] [CrossRef]
- Kooyman, G.L.; Castellini, M.A.; Davis, R.W. Physiology of diving in marine mammals. Annu. Rev. Physiol. 1981, 43, 343–356. [Google Scholar] [CrossRef] [PubMed]
- Engan, H.; Richardson, M.X.; Lodin-Sundström, A.; Van Beekvelt, M.; Schagatay, E. Effects of two weeks of daily apnea training on diving response, spleen contraction, and erythropoiesis in novel subjects. Scand. J. Med. Sci. Sports 2013, 23, 340–348. [Google Scholar] [CrossRef]
- Sterba, J.A.; Lundgren, C.E. Breath-hold duration in man and the diving response induced by face immersion. Undersea Biomed. Res. 1998, 15, 361–375. [Google Scholar]
- Gooden, B.A. Mechanism of the human diving response. Integr. Physiol. Behav. Sci. 1994, 29, 6–16. [Google Scholar] [CrossRef]
- Foster, G.E.; Sheel, A.W. The human diving response, its function, and its control. Scand. J. Med. Sci. Sports 2005, 15, 3–12. [Google Scholar] [CrossRef]
- Lindholm, P.; Lundgren, C.E. The physiology and pathophysiology of human breath-hold diving. J. Appl. Physiol. 2009, 106, 284–292. [Google Scholar] [CrossRef] [PubMed]
- Andersson, J.; Schagatay, E. Arterial oxygen desaturation during apnea in humans. Undersea Hyperb. Med. 1998, 25, 21–25. [Google Scholar]
- Andersson, J.P.; Linér, M.H.; Runow, E.; Schagatay, E.K. Diving response and arterial oxygen saturation during apnea and exercise in breath-hold divers. J. Appl. Physiol. 2002, 93, 882–886. [Google Scholar] [CrossRef]
- Lindholm, P.; Sundblad, P.; Linnarsson, D. Oxygen-conserving effects of apnea in exercising men. J. Appl. Physiol. 1999, 87, 2122–2127. [Google Scholar] [CrossRef]
- Käsinger, H. Šnorchlování; Kopp: České Budějovice, Czech Republic, 2004. [Google Scholar]
- Schagatay, E.; Haughey, H.; Reimers, J. Speed of spleen volume changes evoked by serial apneas. Eur. J. Appl. Physiol. 2005, 93, 447–452. [Google Scholar] [CrossRef]
- Lemaître, F.; Seifert, L.; Polin, D.; Juge, J.; Tourny-Chollet, C.; Chollet, D. Apnea training effects on swimming coordination. J. Strength Cond. Res. 2009, 23, 1909–1914. [Google Scholar] [CrossRef]
- Espersen, K.; Frandsen, H.; Lorentzen, T.; Kanstrup, I.L.; Christensen, N.J. The human spleen as an erythrocyte reservoir in diving-related interventions. J. Appl. Physiol. 2002, 92, 2071–2079. [Google Scholar] [CrossRef]
- Richardson, M.; Bruijn, R.D.; Holmberg, H.C.; Björklund, G.; Haughey, H.; Schagatay, E. Increase of hemoglobin concentration after maximal apneas in divers, skiers, and untrained humans. Can. J. Appl. Physiol. 2005, 30, 276–281. [Google Scholar] [CrossRef]
- Arnold, R.W. Extremes in human breath hold, facial immersion bradycardia. Undersea Biomed. Res. 1985, 12, 183–190. [Google Scholar]
- Ferrigno, M.; Ferretti, G.; Ellis, A.; Warkander, D.A.N.; Costa, M.; Cerretelli, P.; Lundgren, C.E. Cardiovascular changes during deep breath-hold dives in a pressure chamber. J. Appl. Physiol. 1997, 83, 1282–1290. [Google Scholar] [CrossRef]
- Hansel, J.; Solleder, I.; Gfroerer, W.; Muth, C.M.; Paulat, K.; Simon, P.; Heitkamp, H.C.; Niess, A.; Tetzlaff, K. Hypoxia and cardiac arrhythmias in breath-hold divers during voluntary immersed breath-holds. Eur. J. Appl. Physiol. 2009, 105, 673–678. [Google Scholar] [CrossRef]
- Israel, S. Neue Gesichtspunkte zum atemanhalteversuch in Klinik und sporta Èrztlichter praxis. Zshr Inn. Med. 1957, 12, 1048–1052. [Google Scholar]
- Israel, S. Der erweiterte atemanhalteversuch als funktionspruÈfung fuÈr das atmungs- herz-kreislauf-system. Theor. Prax. Korperkultur 1958, 7, 650–654. [Google Scholar]
- Heath, J.R.; Irwin, C.J. An increase in breath-hold time appearing after breath-holding. Respir. Physiol. 1968, 4, 73–77. [Google Scholar] [CrossRef]
- Hentsch, U.; Ulmer, H.V. Trainability of underwater breath-holding time. Int. J. Sports Med. 1984, 5, 343–347. [Google Scholar] [CrossRef]
- Vasar, E.; Kingisepp, P.H. Physiological characteristics of repeated breath holding. In Respiration; Pergamon: Oxford, UK, 1984; pp. 639–646. [Google Scholar]
- Schagatay, E.; Van Kampen, M.; Andersson, J. Effects of repeated apneas on apneic time and diving response in non-divers. Undersea Hyperb. Med. 1999, 26, 143. [Google Scholar]
- Apnea O2 & CO2 Static Tables for Breathing Exercises—For Freediving and Other Sports. Available online: https://visitsithonia.com/lifestyle/sport/diving/freediving-static-tables/ (accessed on 10 May 2024).
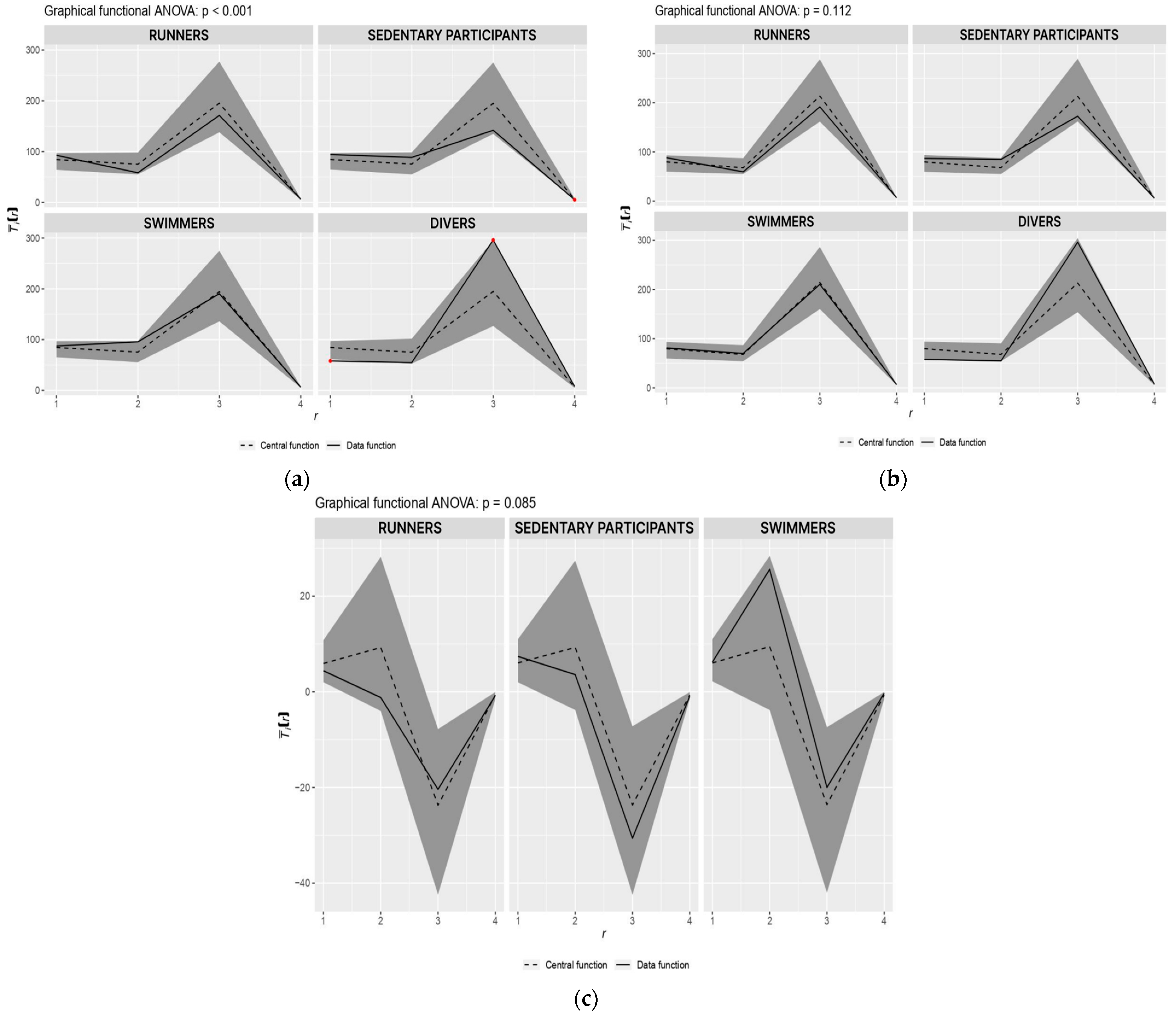
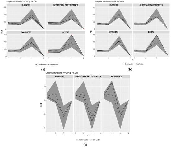
- Mrkvicka, T.; Myllymaki, M.; Jilek, M.; Hahn, U. A one-way ANOVA test for functional data with graphical interpretation. arXiv 2016, arXiv:1612.03608. [Google Scholar] [CrossRef]
- Elia, A.; Wilson, O.J.; Lees, M.; Parker, P.J.; Barlow, M.J.; Cocks, M.; O’Hara, J.P. Skeletal muscle, haematological and splenic volume characteristics of elite breath-hold divers. Eur. J. Appl. Physiol. 2019, 119, 2499–2511. [Google Scholar] [CrossRef]
- Pernett, F.; Bergenhed, P.; Holmström, P.; Mulder, E.; Schagatay, E. Effects of hyperventilation on oxygenation, apnea breaking points, diving response, and spleen contraction during serial static apneas. Eur. J. Appl. Physiol. 2023, 123, 1809–1824. [Google Scholar] [CrossRef]
- Joulia, F.; Coulange, M.; Lemaitre, F.; Desplantes, A.; Costalat, G.; Bruzzese, L.; Franceschi, F.; Barberon, B.; Kipson, N.; Jammes, Y.; et al. Ischaemia-modified albumin during experimental apnoea. Can. J. Physiol. Pharmacol. 2015, 93, 421–426. [Google Scholar] [CrossRef]
- Guimard, A.; Prieur, F.; Zorgati, H.; Morin, D.; Lasne, F.; Collomp, K. Acute apnea swimming: Metabolic responses and performance. J. Strength Cond. Res. 2014, 28, 958–963. [Google Scholar] [CrossRef]
- Kjeld, T.; Isbrand, A.B.; Linnet, K.; Zerahn, B.; Højberg, J.; Hansen, E.G.; Gormsen, L.S.; Bejder, J.; Krag, T.; Vissing, J.; et al. Extreme hypoxia causing brady-arrythmias during apnea in elite breath-hold divers. Front. Physiol. 2021, 12, 712573. [Google Scholar] [CrossRef]
- Schagatay, E.; Richardson, M.X.; Lodin-Sundström, A. Size matters: Spleen and lung volumes predict performance in human apneic divers. Front. Physiol. 2012, 3, 173. [Google Scholar] [CrossRef]
- Leuenberger, U.A.; Hardy, J.C.; Herr, M.D.; Gray, K.S.; Sinoway, L.I. Hypoxia augments apnea-induced peripheral vasoconstriction in humans. J. Appl. Physiol. 2001, 90, 1516–1522. [Google Scholar] [CrossRef]
- Lemaître, F.; Buchheit, M.; Joulia, F.; Fontanari, P.; Tourny-Chollet, C. Static apnea effect on heart rate and its variability in elite breath-hold divers. Aviat. Space Environ. Med. 2008, 79, 99–104. [Google Scholar] [CrossRef]
- Kiviniemi, A.M.; Breskovic, T.; Uglesic, L.; Kuch, B.; Maslov, P.Z.; Sieber, A.; Sepannen, T.; Tulppo, M.P.; Dujic, Z. Heart rate variability during static and dynamic breath-hold dives in elite divers. Auton. Neurosci. 2012, 169, 95–101. [Google Scholar] [CrossRef] [PubMed]
- Son, H.; Jeon, Y.; Kim, H. Effects of static apnea training on pulmonary function, blood lactate response and exercise performance of elite swimmers. Exerc. Sci. 2020, 29, 272–280. [Google Scholar] [CrossRef]
- Howell, J.B.L.; Altounyan, R.E.; Lai, Y.L. Effect of carbon dioxide on the response of the human airway to inhaled histamine and methacholine. J. Appl. Physiol. 1965, 20, 646–651. [Google Scholar]
- Delahoche, J.; Delapille, P.; Lemaître, F.; Verin, E.; Tourny-Chollet, C. Arterial oxygen saturation and heart rate variation during breath-holding: Comparison between breath-hold divers and controls. Int. J. Sports Med. 2004, 26, 177–181. [Google Scholar] [CrossRef]


| Parameters | Group | Before Intervention | After Intervention | Mean Difference | % Change | % Change All Participants |
|---|---|---|---|---|---|---|
| SpO2 (%) | RUN | 92.6 ± 3.6 | 88.2 ± 5.1 | −4.4 | 4.8 | |
| SWIM | 87.4 ± 10 | 81.2 ± 10.1 | −6.2 * | 7.1 | 6.8 # | |
| SED | 94.2 ± 7.1 | 86.8 ± 14.5 | −7.4 * | 8.6 | ||
| DIV | 58 ± 13.9 | |||||
| HR (bpm) | RUN | 58.2 ± 5.8 | 59.4 ± 5.1 | 1.2 | −2.1 | |
| SWIM | 95.6 ± 10.2 | 70.0 ± 13.0 | −25.6 * | 26.8 | 9.1 # | |
| SED | 88.4 ± 15 | 84.8 ± 16.7 | −3.6 | 4.1 | ||
| DIV | 54.8 ± 4.4 | |||||
| Apnea (s) | RUN | 171.2 ± 15.8 | 191.6 ± 11.1 | 20.4 * | 11.9 | |
| SWIM | 190.4 ± 32.5 | 210.4 ± 36.5 | 20.0 * | 10.5 | 15.8 # | |
| SED | 150.0 ± 41.4 | 172.6 ± 43.4 | 30.6 * | 21.5 | ||
| DIV | 296.3 ± 91.8 | |||||
| FVC (l) | RUN | 6.3 ± 0.6 | 7.1 ± 0.9 | 0.7 | 12.2 | |
| SWIM | 6.3 ± 0.5 | 6.6 ± 0.6 | 0.2 * | 4.7 | 12.4 # | |
| SED | 5.0 ± 0.3 | 5.9 ± 0.8 | 0.9 * | 18.4 | ||
| DIV | 7.8 ± 1.5 |
Disclaimer/Publisher’s Note: The statements, opinions and data contained in all publications are solely those of the individual author(s) and contributor(s) and not of MDPI and/or the editor(s). MDPI and/or the editor(s) disclaim responsibility for any injury to people or property resulting from any ideas, methods, instructions or products referred to in the content. |
© 2024 by the authors. Licensee MDPI, Basel, Switzerland. This article is an open access article distributed under the terms and conditions of the Creative Commons Attribution (CC BY) license (https://creativecommons.org/licenses/by/4.0/).
Share and Cite
Bezruk, D.; Bahenský, P.; Marko, D.; Krajcigr, M.; Bahenský, P., Jr.; Novák-Nowická, E.; Mrkvička, T. The Effect of Static Apnea Diving Training on the Physiological Parameters of People with a Sports Orientation and Sedentary Participants: A Pilot Study. Sports 2024, 12, 140. https://doi.org/10.3390/sports12060140
Bezruk D, Bahenský P, Marko D, Krajcigr M, Bahenský P Jr., Novák-Nowická E, Mrkvička T. The Effect of Static Apnea Diving Training on the Physiological Parameters of People with a Sports Orientation and Sedentary Participants: A Pilot Study. Sports. 2024; 12(6):140. https://doi.org/10.3390/sports12060140
Chicago/Turabian StyleBezruk, Dmitriy, Petr Bahenský, David Marko, Miroslav Krajcigr, Petr Bahenský, Jr., Eva Novák-Nowická, and Tomáš Mrkvička. 2024. "The Effect of Static Apnea Diving Training on the Physiological Parameters of People with a Sports Orientation and Sedentary Participants: A Pilot Study" Sports 12, no. 6: 140. https://doi.org/10.3390/sports12060140
APA StyleBezruk, D., Bahenský, P., Marko, D., Krajcigr, M., Bahenský, P., Jr., Novák-Nowická, E., & Mrkvička, T. (2024). The Effect of Static Apnea Diving Training on the Physiological Parameters of People with a Sports Orientation and Sedentary Participants: A Pilot Study. Sports, 12(6), 140. https://doi.org/10.3390/sports12060140

