Comparative Effects of Two High-Intensity Intermittent Training Programs on Sub-Elite Male Basketball Referees’ Fitness Levels
Highlights
Abstract
1. Introduction
2. Materials and Methods
2.1. Design
2.2. Participants
2.3. Procedures
2.3.1. Training Intervention
2.3.2. Testing Sessions
Anthropometric and Aerobic Fitness Assessment
Repeated Sprint Ability Test
The 30–15 Intermittent Fitness Test
2.4. Statistical Analyses
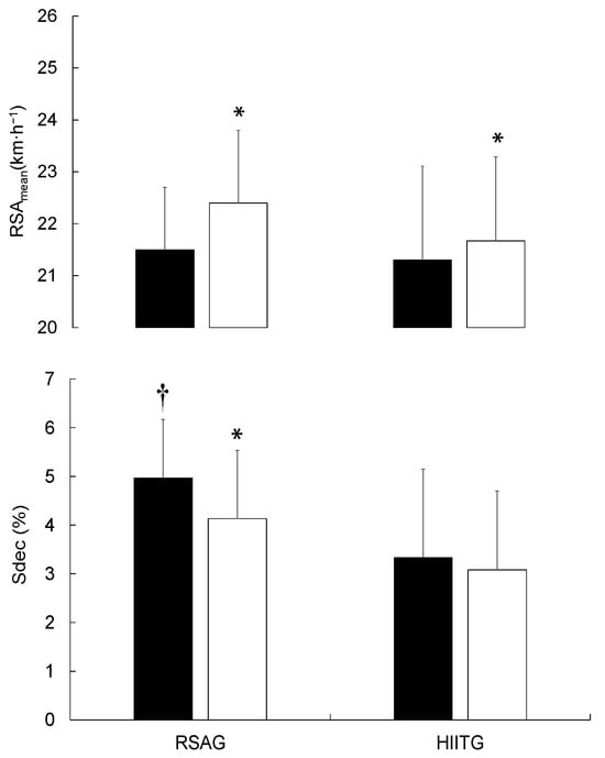
3. Results
4. Discussion
5. Conclusions
Author Contributions
Funding
Institutional Review Board Statement
Informed Consent Statement
Data Availability Statement
Acknowledgments
Conflicts of Interest
References
- Petway, A.J.; Freitas, T.T.; Calleja-González, J.; Medina Leal, D.; Alcaraz, P.E. Training load and match-play demands in basketball based on competition level: A systematic review. PLoS ONE 2020, 15, e0229212. [Google Scholar] [CrossRef] [PubMed]
- Stojanović, E.; Stojiljković, N.; Scanlan, A.T.; Dalbo, V.J.; Berkelmans, D.M.; Milanović, Z. The activity demands and physiological responses encountered during basketball match-play: A systematic review. Sports Med. 2018, 48, 111–135. [Google Scholar] [CrossRef] [PubMed]
- Leicht, A.S.; Connor, J.; Conduit, N.; Vaquera, A.; Gómez, M.A. Impact of match type on exercise volume and intensity of sub-elite basketball referees during a competitive season. Res. Q. Exerc. Sport 2020, 92, 843–850. [Google Scholar] [CrossRef] [PubMed]
- Nabli, M.A.; Ben Abdelkrim, N.; Fessi, M.S.; DeLang, M.D.; Moalla, W.; Chamari, K. Sport science applied to basketball refereeing: A narrative review. Phys. Sportsmed. 2019, 47, 365–374. [Google Scholar] [CrossRef] [PubMed]
- Matković, A.; Rupčić, T.; Knjaz, D. Physiological load of referees during basketball games. Kinesiology 2014, 46, 258–265. [Google Scholar]
- Leicht, A.S. Physiological demands of basketball refereeing during international competition. J. Sci. Med. Sport 2008, 11, 357–360. [Google Scholar] [CrossRef] [PubMed]
- Nabli, M.A.; Ben Abdelkrim, N.; Castagna, C.; Jabri, I.; Batikh, T.; Chamari, K. Energy demands and metabolic equivalents (METS) in U-19 basketball refereeing during official games. J. Sports Med. Doping Stud. 2017, 7, 1000190. [Google Scholar] [CrossRef]
- Borin, J.; Daniel, J.F.; Bonganha, V.; de Moraes, A.; Cavaglieri, C.; Mercadante, L.; da Silva, M.; Montagner, P. The distances covered by basketball referees in a match increase throughout the competition phases, with no change in physiological demand. Open Access J. Sports Med. 2013, 4, 193–198. [Google Scholar] [CrossRef][Green Version]
- Allegretti Mercadante, L.; Shoiti Misuta, M.; Nicolletti, C.G.; Monezi, L.A.; Bonganha, V.; Daniel, J.F.; Cavaglieri, C.R.; Borin, J.R.; Montagner, R.C. Distances covered per quarter by elite basketball referees in competition. Gazz. Medica Ital. Arch. Sci. Mediche 2015, 174, 193–200. [Google Scholar]
- García-Santos, D.; Gómez-Ruano, M.A.; Vaquera, A.; Ibáñez, S.J. Systematic review of basketball referees’ performances. Int. J. Perform. Anal. Sport 2020, 20, 495–533. [Google Scholar] [CrossRef]
- Marques Inchauspe, R.; Barbian, P.M.; Vaquera, A.; de Almeida, F.R.; Teixeira, C. Analysis of aerobic testing in basketball referees and heart rate recovery time. Rev. Bras. Cineantropometria Desempenho Hum. 2020, 22, e67015. [Google Scholar] [CrossRef]
- Hrusa, P.; Hrusova, D. Educational project #Betterrefs—Possibilities of using technologies to maintain basketball referees’ performance during season interruption: A pilot study. In Proceedings of the 2020 International Symposium on Educational Technology, ISET 2020, Bangkok, Thailand, 24–27 August 2020; Institute of Electrical and Electronics Engineers Inc.: Piscataway, NY, USA, 2020; pp. 229–233. [Google Scholar]
- Boschilia, B.; Moraes, L.C.L.; Marchi Junior, W. Football and COVID-19: The effects of the pandemic on training and performance of South American and Brazilian referees. Soccer Soc. 2020, 22, 58–65. [Google Scholar] [CrossRef]
- Leicht, A.S.; Fox, J.; Connor, J.; Sargent, C.; Sinclair, W.; Stanton, R.; Scanlan, A. External activity demands differ between referees and players during a sub-elite, men’s basketball match. Res. Q. Exerc. Sport 2019, 90, 720–725. [Google Scholar] [CrossRef] [PubMed]
- Weston, M.; Helsen, W.; MacMahon, C.; Kirkendall, D. The impact of specific high-intensity training sessions on football referees’ fitness levels. Am. J. Sports Med. 2004, 32, 54–61. [Google Scholar] [CrossRef] [PubMed]
- Nabli, M.A.; Ben Abdelkrim, N.; Jabri, I.; Batikh, T.; Castagna, C.; Chamari, K. Fitness field tests’ correlation with game performance in U-19-category basketball referees. Int. J. Sports Physiol. Perform. 2016, 11, 1005–1011. [Google Scholar] [CrossRef] [PubMed]
- Bayón, P.; Vaquera, A.; García-Tormo, J.V.; Dehesa, R. Efectos del entrenamiento en la habilidad para repetir sprints (RSA) en árbitros de baloncesto. Cuad. Psicol. Deport. 2015, 15, 163–168. [Google Scholar] [CrossRef]
- Leicht, A.S. Aerobic power and anthropometric characteristics of elite basketball referees. J. Sports Med. Phys. Fit. 2007, 47, 46–50. [Google Scholar]
- Warburton, D.E.R.; Gledhill, N.; Jamnik, V.K.; Bredin, S.S.D.; McKenzie, D.C.; Stone, J.; Charlesworth, S.; Shephard, R.J. Evidence-based risk assessment and recommendations for physical activity clearance: Consensus Document 2011. Appl. Physiol. Nutr. Metab. 2011, 36, 266–298. [Google Scholar] [CrossRef]
- Schulz, K.F.; Grimes, D.A. Generation of allocation sequences in randomised trials: Chance, not choice. Lancet 2002, 359, 515–519. [Google Scholar] [CrossRef]
- Beck, T.W. The importance of a priori sample size estimation in strength and conditioning research. J. Strength Cond. Res. 2013, 27, 2323–2337. [Google Scholar] [CrossRef]
- Rodríguez-Fernández, A.; Villa Vicente, J.G.; Sánchez-Sánchez, J.; Rodríguez-Marroyo, J.A. Effectiveness of a generic vs. specific program training to prevent the short-term detraining on repeated-sprint ability of youth soccer players. J. Strength Cond. Res. 2020, 34, 2128–2135. [Google Scholar] [CrossRef] [PubMed]
- Dellal, A.; Varliette, C.; Owen, A.; Chirico, E.N.; Pialoux, V. Small-sided games versus interval training in amateur soccer players: Effects on the aerobic capacity and the ability to perform intermittent exercises with changes of direction. J. Strength Cond. Res. 2012, 26, 2712–2720. [Google Scholar] [CrossRef] [PubMed]
- Dello Iacono, A.; Eliakim, A.; Meckel, Y. Improving fitness of elite handball players: Small-sided games vs. high-intensity intermittent training. J. Strength Cond. Res. 2015, 29, 835–843. [Google Scholar] [CrossRef] [PubMed]
- Delextrat, A.; Gruet, M.; Bieuzen, F. Effects of small-sided games and high-intensity interval training on aerobic and repeated sprint performance and peripheral muscle oxygenation changes in elite junior basketball players. J. Strength Cond. Res. 2018, 32, 1882–1891. [Google Scholar] [CrossRef] [PubMed]
- Ferrari Bravo, D.; Impellizzeri, F.M.; Rampinini, E.; Castagna, C.; Bishop, D.; Wisloff, U. Sprint vs. interval training in football. Int. J. Sport Med. 2008, 29, 668–674. [Google Scholar] [CrossRef] [PubMed]
- Dawson, B.; Fitzsimons, M.; Green, S.; Goodman, C.; Carey, M.; Cole, K. Changes in performance, muscle metabolites, enzymes and fibre types after short sprint training. Eur. J. Appl. Physiol. Occup. Physiol. 1998, 78, 163–169. [Google Scholar] [CrossRef] [PubMed]
- Hermassi, S.; Ingebrigtsen, J.; Schwesig, R.; Fieseler, G.; Delank, K.S.; Chamari, K.; Shephard, R.J.; Chelly, M.S. Effects of in-season short-term aerobic and high-intensity interval training program on repeated sprint ability and jump performance in handball players. J. Sports Med. Phys. Fit. 2018, 58, 50–56. [Google Scholar] [CrossRef] [PubMed]
- Taylor, J.; Macpherson, T.; Spears, I.; Weston, M. The effects of repeated-sprint training on field-based fitness measures: A meta-analysis of controlled and non-controlled trials. Sports Med. 2015, 45, 881–891. [Google Scholar] [CrossRef]
- Borg, G.A. Psychophysical bases of perceived exertion. Med. Sci. Sports Exerc. 1982, 14, 377–381. [Google Scholar] [CrossRef]
- Kuipers, H.; Verstappen, F.T.J.; Keizer, H.A.; Geurten, P.; van Kranenburg, G. Variability of aerobic performance in the laboratory and its physiologic correlates. Int. J. Sports Med. 1985, 6, 197–201. [Google Scholar] [CrossRef]
- Midgley, A.W.; Carroll, S.; Marchant, D.; McNaughton, L.R.; Siegler, J. Evaluation of true maximal oxygen uptake based on a novel set of standardized criteria. Appl. Physiol. Nutr. Metab. 2009, 34, 115–123. [Google Scholar] [CrossRef]
- Davis, J.A. Anaerobic threshold: Review of the concept and directions for future research. Med. Sci. Sports Exerc. 1985, 17, 6–21. [Google Scholar] [CrossRef]
- Rampinini, E.; Bishop, D.; Marcora, S.M.; Ferrari Bravo, D.; Sassi, R.; Impellizzeri, F.M. Validity of simple field tests as indicators of match-related physical performance in top-level professional soccer players. Int. J. Sports Med. 2007, 28, 228–235. [Google Scholar] [CrossRef] [PubMed]
- Attene, G.; Laffaye, G.; Chaouachi, A.; Pizzolato, F.; Migliaccio, G.M.; Padulo, J. Repeated sprint ability in young basketball players: One vs. two changes of direction (Part 2). J. Sports Sci. 2015, 33, 1553–1563. [Google Scholar] [CrossRef] [PubMed]
- Glaister, M.; Howatson, G.; Jpattison, O.R.; Mcinnes, G. The reliability and validity of fatigue measures during multiple-sprint work: An issue revisited. J. Strength Cond. Res. 2008, 22, 1597–1601. [Google Scholar] [CrossRef] [PubMed]
- Buchheit, M. The 30-15 intermittent fitness test: Accuracy for individualizing interval training of young intermittent sport players. J. Strength Cond. Res. 2008, 22, 365–374. [Google Scholar] [CrossRef] [PubMed]
- Hopkins, W.G. How to interpret changes in an athletic performance test. Sportscience 2004, 8, 1–7. [Google Scholar]
- Buchheit, M.; Laursen, P.B. High-intensity interval training, solutions to the programming puzzle. Part II: Anaerobic energy, neuromuscular load and practical applications. Sports Med. 2013, 43, 927–954. [Google Scholar] [CrossRef] [PubMed]
- Buchheit, M.; Laursen, P.B. High-intensity interval training, solutions to the programming puzzle: Part I: Cardiopulmonary emphasis. Sports Med. 2013, 43, 313–338. [Google Scholar] [CrossRef]
- Gist, N.H.; Fedewa, M.V.; Dishman, R.K.; Cureton, K.J. Sprint interval training effects on aerobic capacity: A systematic review and meta-analysis. Sports Med. 2014, 44, 269–279. [Google Scholar] [CrossRef]
- Rupčić, T.; Matković, B.R.; Knjaz, D.; Nedić, A.; Popek, S. Differences in physiological load of referees with consideration to the period of the basketball game. Sportlogia 2012, 8, 51–56. [Google Scholar] [CrossRef]
- Martin-Rincon, M.; Calbet, J.A.L. Progress update and challenges on VO2max testing and interpretation. Front. Physiol. 2020, 11, 1070. [Google Scholar] [CrossRef] [PubMed]
- Bishop, D.; Girard, O.; Mendez-Villanueva, A. Repeated-sprint ability—Part II: Recommendations for training. Sports Med. 2011, 41, 741–756. [Google Scholar] [CrossRef] [PubMed]
- Paavolainen, L.M.; Nummela, A.T.; Rusko, H.K. Neuromuscular characteristics and muscle power as determinants of 5-km running performance. Med. Sci. Sports Exerc. 1999, 31, 124–130. [Google Scholar] [CrossRef] [PubMed]
- Linossier, M.T.; Denis, C.; Dormois, D.; Geyssant, A.; Lacour, J.R. Ergometric and metabolic adaptation to a 5-s sprint training program. Eur. J. Appl. Physiol. Occup. Physiol. 1993, 67, 408–414. [Google Scholar] [CrossRef] [PubMed]
- Ortenblad, N.; Lunde, P.K.; Levin, K.; Andersen, J.L.; Pedersen, P.K. Enhanced sarcoplasmic reticulum Ca2+ release following intermittent sprint training. Am. J. Physiol. Regul. Integr. Comp. Physiol. 2000, 279, R152–R160. [Google Scholar] [CrossRef] [PubMed]
- Buchheit, M. Repeated-sprint performance in team sport players: Associations with measures of aerobic fitness, metabolic control and locomotor function. Int. J. Sports Med. 2012, 33, 230–239. [Google Scholar] [CrossRef]
- Buchheit, M.; Ufland, P. Effect of endurance training on performance and muscle reoxygenation rate during repeated-sprint running. Eur. J. Appl. Physiol. 2011, 111, 293–301. [Google Scholar] [CrossRef] [PubMed]
- Rodríguez-Fernández, A.; Sánchez-Sánchez, J.; Ramirez-Campillo, R.; Rodríguez-Marroyo, J.A.; Villa Vicente, J.G.; Nakamura, F.Y. Effects of short-term in-season break detraining on repeated-sprint ability and intermittent endurance according to initial performance of soccer player. PLoS ONE 2018, 15, e0201111. [Google Scholar] [CrossRef]
- Mendez-Villanueva, A.; Hamer, P.; Bishop, D. Physical fitness and performance. Fatigue responses during repeated sprints matched for initial mechanical output. Med. Sci. Sport Exerc. 2007, 39, 2219–2225. [Google Scholar] [CrossRef]
- Buchheit, M.; Mendez-Villanueva, A.; Delhomel, G.; Brughelli, M.; Ahmaidi, S. Improving repeated sprint ability in young elite soccer players: Repeated shuttle sprints vs. explosive strength training. J. Strength Cond. Res. 2010, 24, 2715–2722. [Google Scholar] [CrossRef]
- Eniseler, N.; Şahan, Ç.; Özcan, I.; Dinler, K. High-intensity small-sided games versus repeated sprint training in junior soccer players. J. Hum. Kinet. 2017, 60, 101–111. [Google Scholar] [CrossRef]
- Girard, O.; Mendez-Villanueva, A.; Bishop, D. Repeated-sprint ability part I: Factors contributing to fatigue. Sports Med. 2011, 41, 673–694. [Google Scholar] [CrossRef]



| Group | Pre-Training | Post-Training | Δ (%) | Cohen d (Rating) | |
|---|---|---|---|---|---|
| Refereeing experience (year) | RSAG | 8.2 ± 5.7 | N/A | ||
| HIITG | 8.5 ± 6.6 | N/A | |||
| Age (year) | RSAG | 25.6 ± 5.8 | N/A | ||
| HIITG | 25.5 ± 9.7 | N/A | |||
| Height (cm) | RSAG | 177.2 ± 0.1 | N/A | ||
| HIITG | 182.5 ± 0.3 | N/A | |||
| Body mass (kg) | RSAG | 72.7 ± 8.0 | 71.7 ± 7.3 | −1.1 ± 3.0 | 0.13 (trivial) |
| HIITG | 76.1 ± 6.3 | 75.4 ± 5.4 | −0.8 ± 1.9 | 0.12 (trivial) | |
| Body fat (%) | RSAG | 15.3 ± 4.0 | 14.6 ± 5.6 | −0.7 ± 1.6 | 0.17 (trivial) |
| HIITG | 13.4 ± 5.9 | 13.3 ± 5.7 | −0.1 ± 0.4 | 0.02 (trivial) |
| Group | Pre-Training | Post-Training | Δ (%) | Cohen d (Rating) | |
|---|---|---|---|---|---|
| VO2max (ml·kg−1·min−1) | RSAG | 55.2 ± 7.2 | 54.5 ± 6.5 | −1.1 ± 2.1 | 0.10 (trivial) |
| HIITG | 53.7 ± 4.9 | 56.0 ± 5.3 | 4.4 ± 7.0 † | 0.45 (small) | |
| vGXT (km·h−1) | RSAG | 16.1 ± 1.2 | 16.8 ± 1.3 | 4.5 ± 2.7 | 0.56 (moderate) |
| HIITG | 16.9 ± 1.7 | 17.1 ± 1.1 | 1.8 ± 10.5 | 0.14 (trivial) | |
| RCT (km·h−1) | RSAG | 13.6 ± 1.2 | 14.3 ± 1.2 | 5.6 ± 6.1 | 0.58 (moderate) |
| HIITG | 13.3 ± 1.3 | 14.6 ± 1.4 | 9.8 ± 8.9 | 0.96 (large) | |
| VT (km·h−1) | RSAG | 10.7 ± 0.9 | 9.6 ± 0.5 * | −9.7 ± 4.1 | 1.51 (large) |
| HIITG | 10.9 ± 0.9 | 10.4 ± 0.8 | −4.6 ± 12.8 | 0.59 (moderate) | |
| VIFT (km·h−1) | RSAG | 18.6 ± 1.1 | 19.3 ± 1.0 * | 4.2 ± 3.7 | 0.67 (moderate) |
| HIITG | 19.4 ± 0.9 | 20.5 ± 0.9 * | 5.4 ± 2.3 | 1.22 (large) |
Disclaimer/Publisher’s Note: The statements, opinions and data contained in all publications are solely those of the individual author(s) and contributor(s) and not of MDPI and/or the editor(s). MDPI and/or the editor(s) disclaim responsibility for any injury to people or property resulting from any ideas, methods, instructions or products referred to in the content. |
© 2024 by the authors. Licensee MDPI, Basel, Switzerland. This article is an open access article distributed under the terms and conditions of the Creative Commons Attribution (CC BY) license (https://creativecommons.org/licenses/by/4.0/).
Share and Cite
Suárez-Iglesias, D.; Rodríguez-Fernández, A.; Vaquera, A.; Villa-Vicente, J.G.; Rodríguez-Marroyo, J.A. Comparative Effects of Two High-Intensity Intermittent Training Programs on Sub-Elite Male Basketball Referees’ Fitness Levels. Sports 2024, 12, 51. https://doi.org/10.3390/sports12020051
Suárez-Iglesias D, Rodríguez-Fernández A, Vaquera A, Villa-Vicente JG, Rodríguez-Marroyo JA. Comparative Effects of Two High-Intensity Intermittent Training Programs on Sub-Elite Male Basketball Referees’ Fitness Levels. Sports. 2024; 12(2):51. https://doi.org/10.3390/sports12020051
Chicago/Turabian StyleSuárez-Iglesias, David, Alejandro Rodríguez-Fernández, Alejandro Vaquera, José Gerardo Villa-Vicente, and Jose A. Rodríguez-Marroyo. 2024. "Comparative Effects of Two High-Intensity Intermittent Training Programs on Sub-Elite Male Basketball Referees’ Fitness Levels" Sports 12, no. 2: 51. https://doi.org/10.3390/sports12020051
APA StyleSuárez-Iglesias, D., Rodríguez-Fernández, A., Vaquera, A., Villa-Vicente, J. G., & Rodríguez-Marroyo, J. A. (2024). Comparative Effects of Two High-Intensity Intermittent Training Programs on Sub-Elite Male Basketball Referees’ Fitness Levels. Sports, 12(2), 51. https://doi.org/10.3390/sports12020051

