Do the Pelvic and Thorax Movements Differ between the Sexes and Influence Golf Club Velocity in Junior Golfers?
Abstract
1. Introduction
2. Materials and Methods
2.1. Participants
2.2. Equipment
2.3. Procedures
2.4. Data Analysis
2.5. Statistical Analysis
3. Results
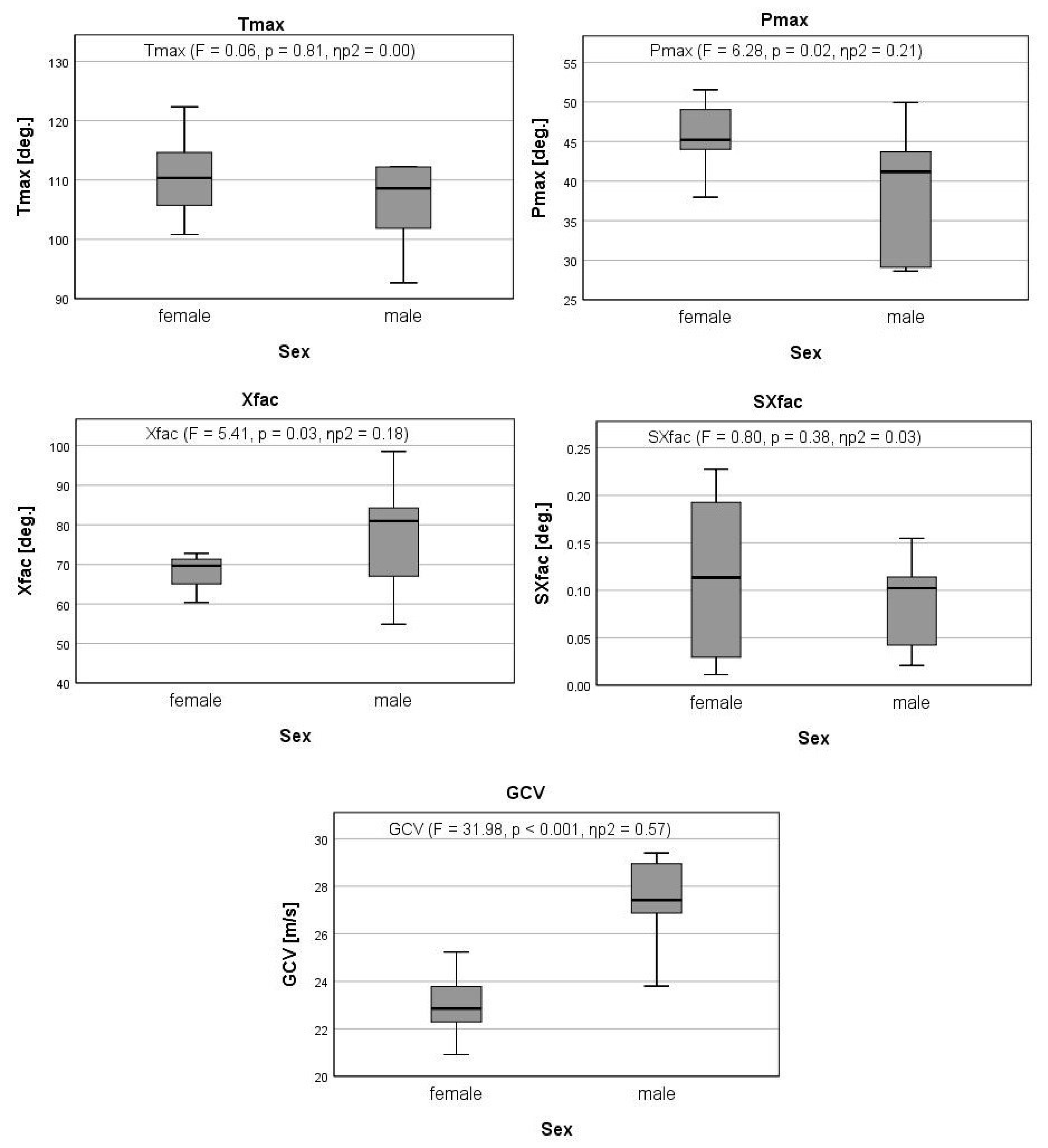
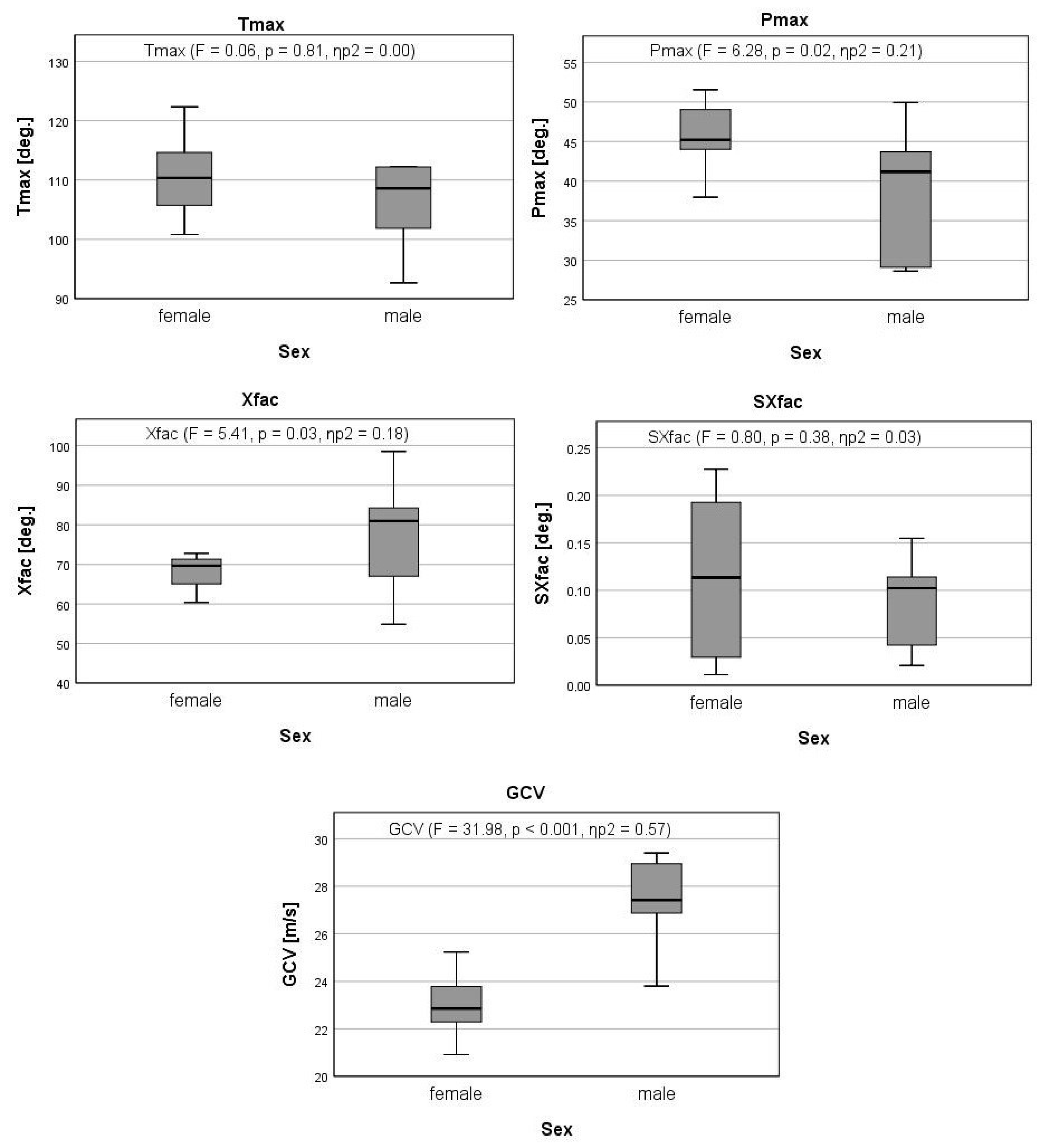
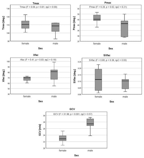
3.1. Sex Effect
3.2. Relationship of Pelvis and Thorax Movement with Golf Club Velocity
4. Discussion
4.1. Sex Effect
4.2. Relation of Upper Body Movement and Golf Club Velocity
5. Conclusions
Author Contributions
Funding
Institutional Review Board Statement
Informed Consent Statement
Data Availability Statement
Conflicts of Interest
References
- Wiren, G. PGA Teaching Manual: The Art and Science of Golf Instruction; PGA of America: Palm Beach Gardens, FL, USA, 1990. [Google Scholar]
- Saunders, V. The Complete Woman Golfer; Stanley Paul & Co.: London, UK, 1975. [Google Scholar]
- Saunders, V. The Golf Handbook for Women: The Complete Guide to Improving Your Game; Three Rivers Press: New York, NY, USA, 2000. [Google Scholar]
- Steinbach, D. Venus on the Fairway: Crating a Swing- and a Game—That Works for Women; Contemporary Books: Chicago, IL, USA, 2001. [Google Scholar]
- Whitworth, K. Golf for Women: Easy-to-Follow Instruction from Pro Golf´s Leading Tournament Winner; St. Martin’s Press: New York, NY, USA, 1990. [Google Scholar]
- Egret, C.; Nicolle, B.; Dujardin, F.; Weber, J.; Chollet, D. Kinematic analysis of the golf swing in men and women experienced golfers. Int. J. Sport. Med. 2006, 27, 463–467. [Google Scholar] [CrossRef] [PubMed]
- Cochran, A.J.; Stobbs, J.; Noble, D. Search for the Perfect Swing: The Proven Scientific Approach to Fundamentally Improving Your Game; Triumph Books: Chicago, IL, USA, 2005. [Google Scholar]
- Cheetham, P.J.; Martin, P.E.; Mottram, R.E.; St Laurent, B.F. The importance of stretching the “X-Factor” in the downswing of golf: The “X-Factor Stretch”. In Optimising Performance in Golf; Thomas, P.R., Ed.; Australian Academic Press: Brisbane, Australia, 2001; pp. 192–199. [Google Scholar]
- McLean, J.; Andrisani, J. The X-Factor Swing; Harper Collins: New York, NY, USA, 1997. [Google Scholar]
- Myers, J.; Lephart, S.; Tsai, Y.-S.; Sell, T.; Smoliga, J.; Jolly, J. The role of upper torso and pelvis rotation in driving performance during the golf swing. J. Sport. Sci. 2008, 26, 181–188. [Google Scholar] [CrossRef] [PubMed]
- Zheng, N.; Barrentine, S.W.; Fleisig, G.S.; Andrews, J.R. Kinematic analysis of swing in Pro and amateur golfers. Int. J. Sport. Med. 2008, 29, 487–493. [Google Scholar] [CrossRef] [PubMed]
- Bechler, J.R.; Jobe, F.W.; Pink, M.; Perry, J.; Ruwe, P.A. Electromyographic analysis of the hip and knee during the golf swing. Clin. J. Sport Med. 1995, 5, 162–166. [Google Scholar] [CrossRef]
- Lindsay, D.; Horton, J. Comparison of spine motion in elite golfers with and without low back pain. J. Sport. Sci. 2002, 20, 599–605. [Google Scholar] [CrossRef]
- Ball, K.; Best, R. Different centre of pressure patterns within the golf stroke I: Cluster analysis. J. Sport. Sci. 2007, 25, 757–770. [Google Scholar] [CrossRef]
- Meister, D.W.; Schroeder, J.L.; Butler, E.E.; Twist, K.F.; Ladd, A.L.; Rose, J. Kinematic and Kinetic Analysis of the elite golf swing. In Proceedings of the 24th Annual International Symposium on Biomechanics in Sports, Salzburg, Austria, 14–18 July 2006; p. TUA3-2. [Google Scholar]
- Hume, P.A.; Keogh, J.; Reid, D. The role of biomechanics in maximising distance and accuracy of golf shots. Sport. Med. 2005, 35, 429–449. [Google Scholar] [CrossRef]
- McLean, J. Widen the gap. Golf. Mag. 1992, 34, 49. [Google Scholar]
- Zheng, N.; Barrentine, S.W.; Fleisig, G.S.; Andrews, J.R. Swing kinematics for male and female pro golfers. Int. J. Sport. Med. 2008, 29, 965–970. [Google Scholar] [CrossRef]
- Carson, H.J.; Richards, J.; Mazuquin, B. Examining the influence of grip type on wrist and club head kinematics during the golf swing: Benefits of a local co-ordinate system. Eur. J. Sport Sci. 2018, 19, 327–335. [Google Scholar] [CrossRef]
- Horan, S.A.; Kavanagh, J.J. The control of upper body segment speed and velocity during the golf swing. Sport. Biomech. 2012, 11, 165–174. [Google Scholar] [CrossRef] [PubMed]
- Horan, S.A.; Evans, K.; Morris, N.R.; Kavanagh, J.J. Swing kinematics of male and female skilled golfers following prolonged putting practice. J. Sport. Sci. 2013, 32, 810–816. [Google Scholar] [CrossRef] [PubMed]
- Gryc, T.; Zahalka, F.; Maly, T.; Mala, L.; Hrasky, P. Movement’s analysis and weight transfer during the golf swing. J. Phys. Educ. Sport 2015, 15, 781–787. [Google Scholar]
- Healy, A.; Moran, K.; Dickson, J.; Hurley, C.; Smeaton, A.; O’Connor, N.; Kelly, P.; Haahr, M.; Chockalingam, N. Analysis of the 5 iron golf swing when hitting for maximum distance. J. Sport. Sci. 2011, 29, 1079–1088. [Google Scholar] [CrossRef] [PubMed]
- Tinmark, F.; Hellström, J.; Halvorsen, K.; Thorstensson, A. Elite golfers kinematic sequence in full-swing and partial-swing shots. Sport. Biomech. 2010, 9, 236–244. [Google Scholar] [CrossRef] [PubMed]
- Tinmark, F.; Hellström, J.; Halvorsen, K.; Thorstensson, A. Pelvis-thorax coordination in the transverse plane during walking in persons with nonspecific low back pain. Spine 2002, 27, 92–99. [Google Scholar]
- Choi, A.; Lee, I.-K.; Choi, M.-T.; Mun, J.H. Inter-joint coordination between hips and trunk during downswings: Effects on the clubhead speed. J. Sport. Sci. 2016, 34, 1991–1997. [Google Scholar] [CrossRef]
- Lamb, P.F.; Pataky, T.C. The role of pelvis-thorax coupling in controlling within-golf club swing speed. J. Sport. Sci. 2018, 36, 2164–2171. [Google Scholar] [CrossRef]
- Coughlan, D.; Taylor, M.J.D.; Jackson, J.; Ward, N.; Beardsley, C. Physical characteristics of youth elite golfers and their relationship with driver club head speed. J. Strength Cond. Res. 2020, 34, 212–217. [Google Scholar] [CrossRef]
- Allard, P.; Stokes, I.A.; Blanchi, J.-P. Three-Dimensional Analysis of Human Movement, 1st ed.; Human Kinetics Publishers: Champaign, IL, USA, 1995. [Google Scholar]
- Gryc, T.; Stastny, P.; Zahálka, F.; Smółka, W.; Zmijewski, P.; Gołaś, A.; Zawartka, M.; Malý, T. Performance and kinematic differences in putting between healthy and disabled elite golfers. J. Hum. Kinet. 2017, 60, 233–241. [Google Scholar] [CrossRef]
- Lamb, P.F.; Stöckl, M. On the use of continuous relative phase: Review of current approaches and outline for a new standard. Clin. Biomech. 2014, 29, 484–493. [Google Scholar] [CrossRef] [PubMed]
- Portney, L.G.; Watkins, M.P. Foundations of Clinical Research: Applications to Practice, 3rd ed.; Prentice Hall: Upper Saddle River, NJ, USA, 2009. [Google Scholar]
- Pataky, T.C. Generalized n-dimensional biomechanical field analysis using statistical parametric mapping. J. Biomech. 2010, 43, 1976–1982. [Google Scholar] [CrossRef] [PubMed]
- Huang, N.E.; Shen, Z.; Long, S.R.; Wu, M.C.; Shih, H.H.; Zheng, Q.; Yen, N.-C.; Tung, C.C.; Liu, H.H. The Empirical Mode Decomposition and the Hilbert Spectrum for Nonlinear and Non-Stationary Time Series Analysis. Proc. Math. Phys. Eng. Sci. 1998, 454, 903–995. [Google Scholar] [CrossRef]
- Meister, D.W.; Ladd, A.L.; Butler, E.E.; Zhao, B.; Rogers, A.P.; Ray, C.J.; Rose, J. Rotational biomechanics of the elite golf swing: Benchmarks for amateurs. J. Appl. Biomech. 2011, 27, 242–251. [Google Scholar] [CrossRef] [PubMed]
- Tremblay, M.S.; Shields, M.; Laviolette, M.; Craig, C.L.; Janssen, I.; Gorber, S.C. Fitness of Canadian children and youth: Results from the 2007–2009 Canadian Health Measures Survey. Health Rep. 2010, 21, 7–20. [Google Scholar] [PubMed]
- Ramos, E.; Frontera, W.R.; Llopart, A.; Feliciano, D. Muscle strength and hormonal levels in adolescents: Gender related differences. Int. J. Sport. Med. 1998, 19, 526–531. [Google Scholar] [CrossRef]
- MacKinnon, V. Gender differences in golf swing technique from the perspective of LPGA professionals. Int. J. Sport Soc. 2013, 3, 1–11. [Google Scholar] [CrossRef]
- Chu, Y.; Sell, T.C.; Lephart, S.M. The relationship between biomechanical variables and driving performance during the golf swing. J. Sport. Sci. 2010, 28, 1251–1259. [Google Scholar] [CrossRef]
- Golf Canada-LTPD. Golf Canada in Partnership with the Canadian Golf Professional Association (CGPA). Long-Term Player Development Guide for Golf in Canada. 2014. Available online: https://d34oo5x54o72bd.cloudfront.net/app/uploads/2021/02/2019_GC_LTPD_ENv2.pdf?x34816 (accessed on 21 October 2022).
- Brožka, M.; Gryc, T.; Miřátský, P.; Zahálka, F. An assessment of the relationships between ball flight results, impact factors, and golf performance. Hum. Mov. 2022, 23, 1–9. [Google Scholar] [CrossRef]
- Brožka, M.; Miřátský, P.; Komarc, M.; Zahálka, F.; Gryc, T. Development of body composition, lower body physical characteristics and clubhead speed in skilled junior golfers. J. Sport. Med. Phys. Fit. 2023. Epub ahead of print. [Google Scholar] [CrossRef]
- Malina, R.M.; Bouchard, C.; Bar-Or, O. Growth, Maturation, and Physical Activity, 2nd ed.; Human Kinetics: Champaign, IL, USA, 2004. [Google Scholar]



| Parameters | Sex | Mean | Standard Deviation | |
|---|---|---|---|---|
| Body movement parameters | Tmax | Female Male | 110.57° | 7.21° |
| 111.34° | 17.51° | |||
| Pmax | Female Male | 46.80° | 6.44° | |
| 38.96° | 8.44° | |||
| Xfac | Female Male | 68.16° | 4.41° | |
| 77.78° | 15.12° | |||
| SXfac | Female Male | 0.11° | 0.09° | |
| 0.09° | 0.05° | |||
| Golf club | GCV | Female Male | 23.01 m/s | 1.34 m/s |
| 27.31 m/s | 1.99 m/s | |||
| Correlations | |||||
|---|---|---|---|---|---|
| Tmax | Pmax | Xfac | SXfac | ||
| GCV Girls | Pearson Correlation | 0.375 | 0.277 | −0.070 | −0.168 |
| Sig. (2-tailed) | 0.359 | 0.507 | 0.870 | 0.691 | |
| GCV Boys | Pearson Correlation | −0.941 ** | −0.202 | −0.847 * | −0.489 |
| Sig. (2-tailed) | 0.005 | 0.700 | 0.033 | 0.329 | |
Disclaimer/Publisher’s Note: The statements, opinions and data contained in all publications are solely those of the individual author(s) and contributor(s) and not of MDPI and/or the editor(s). MDPI and/or the editor(s) disclaim responsibility for any injury to people or property resulting from any ideas, methods, instructions or products referred to in the content. |
© 2023 by the authors. Licensee MDPI, Basel, Switzerland. This article is an open access article distributed under the terms and conditions of the Creative Commons Attribution (CC BY) license (https://creativecommons.org/licenses/by/4.0/).
Share and Cite
Gryc, T.; Zahalka, F.; Brožka, M.; Marenčáková, J.; Miřátský, P.; Baca, A.; Stöckl, M. Do the Pelvic and Thorax Movements Differ between the Sexes and Influence Golf Club Velocity in Junior Golfers? Sports 2023, 11, 60. https://doi.org/10.3390/sports11030060
Gryc T, Zahalka F, Brožka M, Marenčáková J, Miřátský P, Baca A, Stöckl M. Do the Pelvic and Thorax Movements Differ between the Sexes and Influence Golf Club Velocity in Junior Golfers? Sports. 2023; 11(3):60. https://doi.org/10.3390/sports11030060
Chicago/Turabian StyleGryc, Tomas, Frantisek Zahalka, Matěj Brožka, Jitka Marenčáková, Petr Miřátský, Arnold Baca, and Michael Stöckl. 2023. "Do the Pelvic and Thorax Movements Differ between the Sexes and Influence Golf Club Velocity in Junior Golfers?" Sports 11, no. 3: 60. https://doi.org/10.3390/sports11030060
APA StyleGryc, T., Zahalka, F., Brožka, M., Marenčáková, J., Miřátský, P., Baca, A., & Stöckl, M. (2023). Do the Pelvic and Thorax Movements Differ between the Sexes and Influence Golf Club Velocity in Junior Golfers? Sports, 11(3), 60. https://doi.org/10.3390/sports11030060

