Effects of Combined Horizontal Plyometric and Change of Direction Training on Anaerobic Parameters in Youth Soccer Players
Abstract
1. Introduction
2. Materials and Methods
2.1. Participants
2.2. Design
2.3. Methodology
Plyometric Training Protocol
2.4. Anthropometric and Assessment of Maturity Status
2.5. Speed Testing
2.6. Vertical Jump Testing
2.7. Illinois Agility Test
2.8. 505 Test
2.9. Statistical Analysis
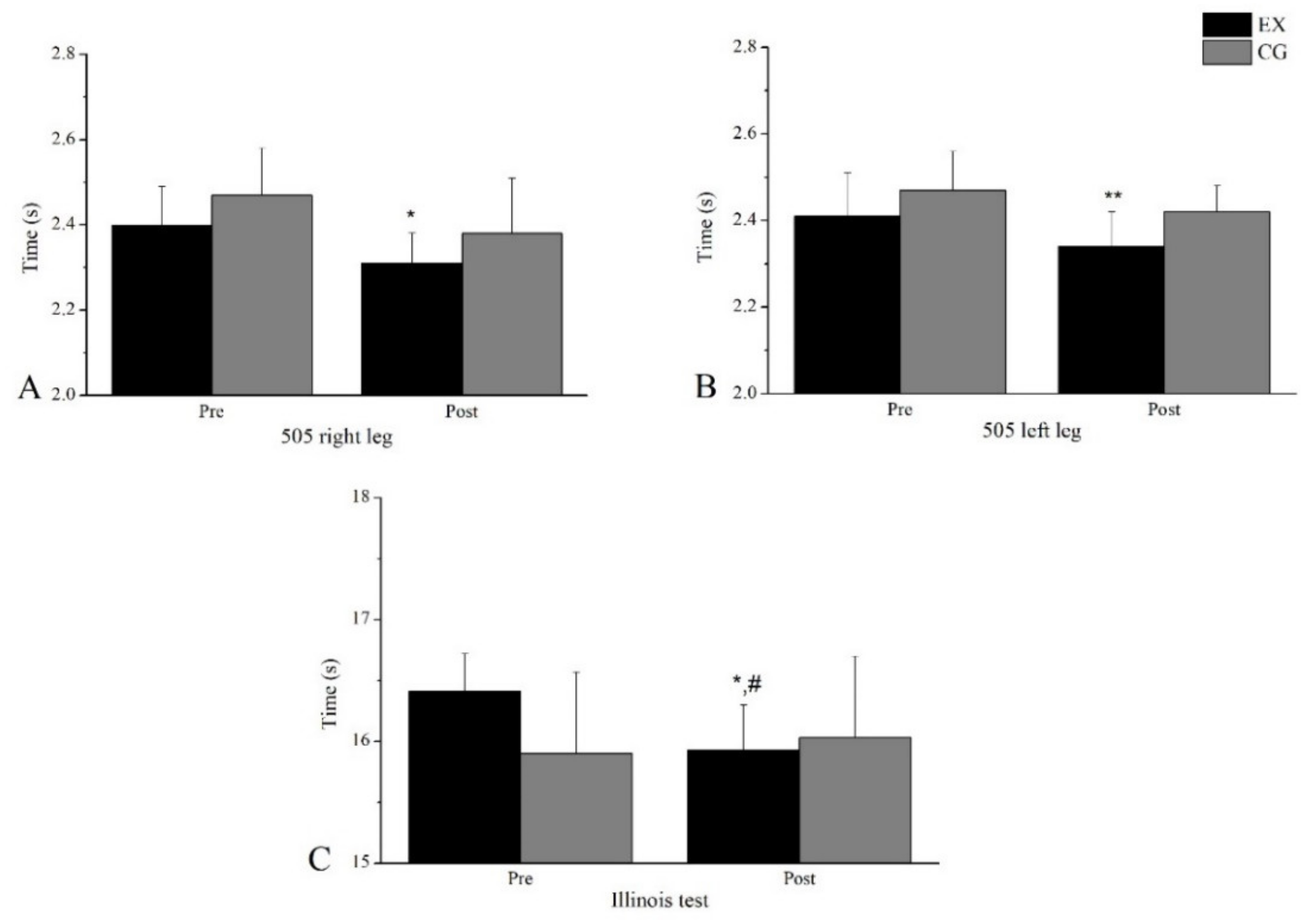
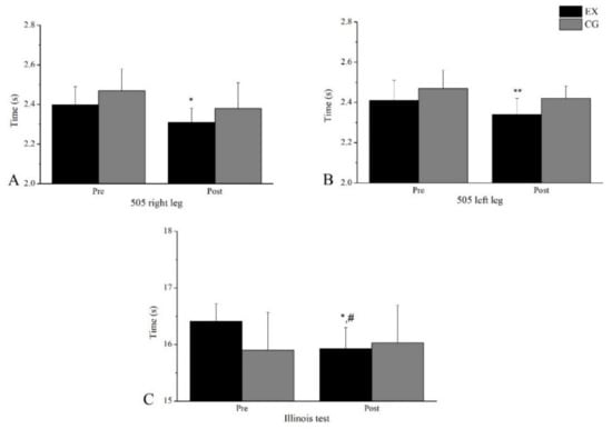
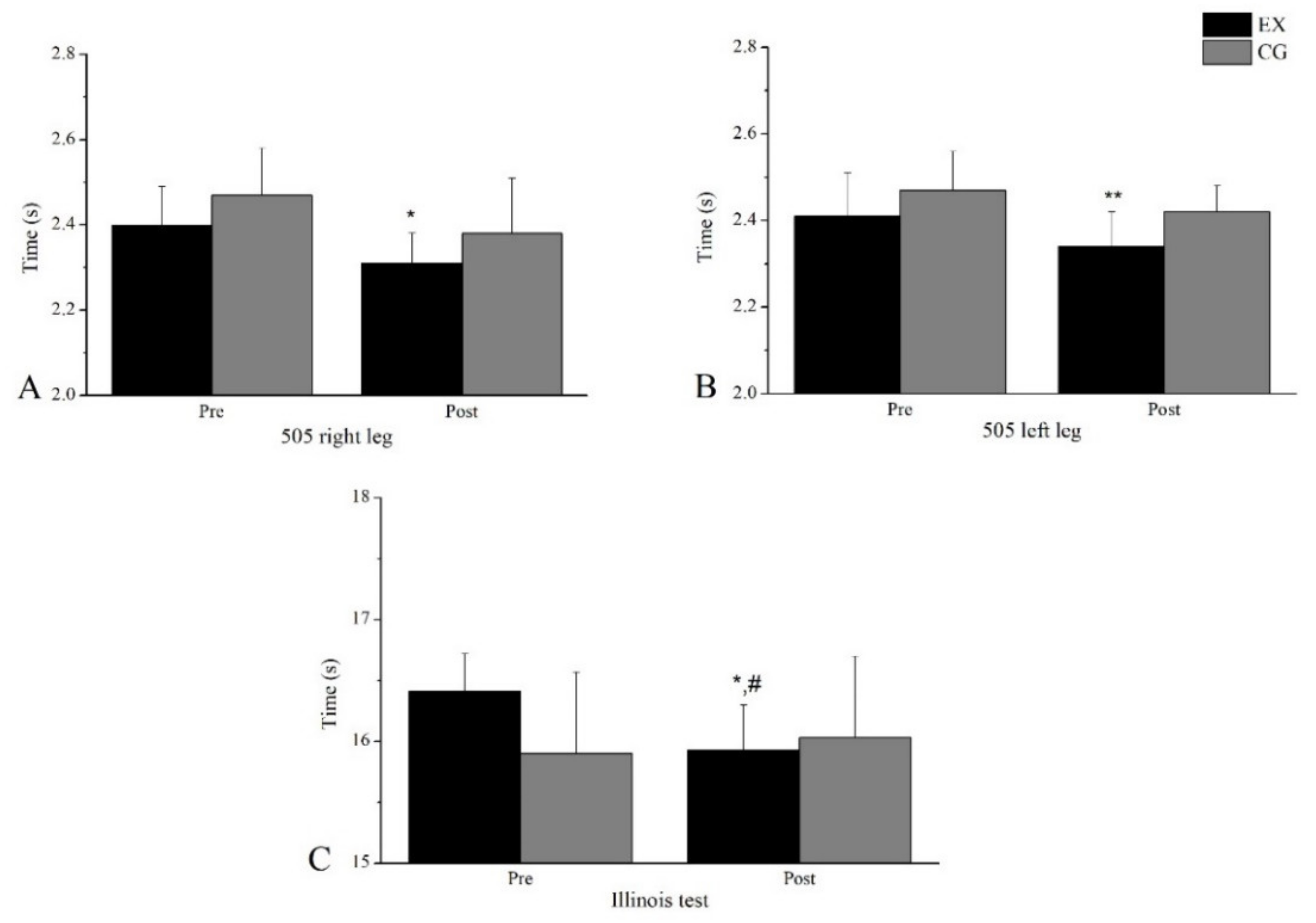
3. Results
4. Discussion
5. Limitations
Practical Applications
6. Conclusions
Author Contributions
Funding
Institutional Review Board Statement
Informed Consent Statement
Data Availability Statement
Acknowledgments
Conflicts of Interest
References
- Stølen, T.; Chamari, K.; Castagna, C.; Wisløff, U. Physiology of soccer: An update. Sport. Med. 2005, 35, 501–536. [Google Scholar] [CrossRef] [PubMed]
- Buchheit, M.; Mendez-Villanueva, A.; Simpson, B.M.; Bourdon, P.C. Match running performance and fitness in youth soccer. Int. J. Sport. Med. 2010, 31, 818–825. [Google Scholar] [CrossRef] [PubMed]
- Saward, C.; Morris, J.G.; Nevill, M.E.; Nevill, A.M.; Sunderland, C. Longitudinal development of match-running performance in elite male youth soccer players. Scand. J. Med. Sci. Sport. 2016, 26, 933–942. [Google Scholar] [CrossRef]
- Buchheit, M.; Al Haddad, H.; Simpson, B.M.; Palazzi, D.; Bourdon, P.C.; Di Salvo, V.; Mendez-Villanueva, A. Monitoring accelerations with GPS in football: Time to slow down? Int. J. Sport. Physiol. Perform. 2014, 9, 442–445. [Google Scholar] [CrossRef]
- Vardakis, L.; Michailidis, Y.; Mandroukas, A.; Mavrommatis, G.; Christoulas, K.; Metaxas, T. Analysis of running intensity distance in correlation with the positional role for elite soccer players in 1-4-3-3 formation. Ger. J. Exerc. Sport Res. 2020, 50, 241–250. [Google Scholar] [CrossRef]
- Reilly, T.; Bangsbo, J.; Franks, A. Anthropometric and physiological predispositions for elite soccer. J. Sport. Sci. 2000, 18, 669–683. [Google Scholar] [CrossRef] [PubMed]
- Beato, M.; Bianchi, M.; Coratella, G.; Merlini, M.; Drust, B. Effects of plyometric and directional training on speed and jump performance in elite youth soccer players. J. Strength Cond. Res. 2018, 32, 289–296. [Google Scholar] [CrossRef]
- Michailidis, Y.; Fatouros, I.G.; Primpa, E.; Michailidis, C.; Avloniti, A.; Chatzinikolaou, A.; Barbero-Alvarez, J.C.; Tsoukas, D.; Douroudos, I.I.; Draganidis, D.; et al. Plyometrics’ trainability in preadolescent soccer athletes. J. Strength Cond. Res. 2013, 27, 38–49. [Google Scholar] [CrossRef]
- Michailidis, Y.; Tabouris, A.; Metaxas, T. Effects of plyometric and directional training on physical fitness parameters in youth soccer players. Int. J. Sport. Physiol. Perform. 2019, 14, 392–398. [Google Scholar] [CrossRef]
- Wang, Y.C.; Zhang, N. Effects of plyometric training on soccer players. Exp. Ther. Med. 2016, 12, 550–554. [Google Scholar] [CrossRef]
- Markovic, G.; Jukic, I.; Milanovic, D.; Metikos, D. Effects of sprint and plyometric training on muscle function and athletic performance. J. Strength Cond. Res. 2007, 21, 543–549. [Google Scholar] [PubMed]
- Markovic, G.; Mikulic, P. Neuro-musculoskeletal and performance adaptations to lower-extremity plyometric training. Sport. Med. 2010, 40, 859–895. [Google Scholar] [CrossRef]
- Ramirez-Campillo, R.; Moran, J.; Oliver, J.L.; Pedley, J.S.; Lloyd, R.S.; Granacher, U. Programming Plyometric-Jump Training in Soccer: A Review. Sports 2022, 10, 94. [Google Scholar] [CrossRef] [PubMed]
- Drouzas, V.; Katsikas, C.; Zafeiridis, A.; Jamurtas, A.Z.; Bogdanis, G.C. Unilateral Plyometric Training is Superior to Volume-Matched Bilateral Training for Improving Strength, Speed and Power of Lower Limbs in Preadolescent Soccer Athletes. J. Hum. Kinet. 2020, 74, 161–176. [Google Scholar] [CrossRef]
- Bloomfield, J.; Polman, R.; O’Donoghue, P. Physical demands of different positions in FA Premier League soccer. J. Sport. Sci. Med. 2007, 6, 63–70. [Google Scholar]
- Bosco, C.; Viitasalo, J.T.; Komi, P.V.; Luhtanen, P. Combined effect of elastic energy and myoelectrical potentiation during stretch-shortening cycle exercise. Acta Physiol. Scand. 1982, 114, 557–565. [Google Scholar] [CrossRef] [PubMed]
- Lloyd, R.S.; Read, P.; Oliver, J.L.; Meyers Robert, W.M.; Nimphius, S.; Jeffreys, I. Considerations for the development of agility during childhood and adolescence. Strength Condit. J. 2013, 35, 2–11. [Google Scholar] [CrossRef]
- Keiner, M.; Sander, A.; Wirth, K.; Schmidtbleicher, D. Long-term strength training effects on change-of-direction sprint performance. J. Strength Cond. Res. 2014, 28, 223–231. [Google Scholar] [CrossRef] [PubMed]
- Pavillon, T.; Tourny, C.; Ben Aabderrahman, A.; Salhi, I.; Zouita, S.; Rouissi, M.; Hackney, A.C.; Granacher, U.; Zouhal, H. Sprint and jump performances in highly trained young soccer players of different chronological age: Effects of linear VS. CHANGE-OF-DIRECTION sprint training. J. Exerc. Sci. Fit. 2021, 19, 81–90. [Google Scholar] [CrossRef] [PubMed]
- Rumpf, M.C.; Lockie, R.G.; Cronin, J.B.; Jalilvand, F. Effect of different sprint training methods on sprint performance over various distances: A brief review. J. Strength Cond. Res. 2016, 30, 1767–1785. [Google Scholar] [CrossRef] [PubMed]
- Adams, K.; O’Shea, J.; O’Shea, K.; Climstein, M. The effects of six weeks of squat, plyometric and squat-plyometric training on power development. J. Appl. Sport. Sci. Res. 1992, 6, 36–41. [Google Scholar]
- Aloui, G.; Souhail, H.; Hayes, L.D.; Bouhafs, E.G.; Chelly, M.S.; Schwesig, R. Effects of Combined Plyometric and Short Sprints Training on Athletic Performance of Male U19 Soccer Players. Front. Psychol. 2021, 12, 714016. [Google Scholar] [CrossRef]
- Aloui, G.; Hermassi, S.; Khemiri, A.; Bartels, T.; Hayes, L.D.; Bouhafs, E.G.; Souhaiel Chelly, M.; Schwesig, R. An 8-Week Program of Plyometrics and Sprints with Changes of Direction Improved Anaerobic Fitness in Young Male Soccer Players. Int. J. Environ. Res. Public Health 2021, 18, 10446. [Google Scholar] [CrossRef] [PubMed]
- Hammami, M.; Gaamouri, N.; Suzuki, K. Effects of unloaded vs. ankleloaded plyometric training on the physical fitness of U-17 male soccer players. Int. J. Environ. Res. Public Health 2020, 17, 7877. [Google Scholar] [CrossRef]
- Kargarfard, M.S.T.; Rabbani, A.; Clemente, F.; Jalilvand, F. Effects of combined plyometric and speed training on change of direction, linear speed, and repeated sprint ability in young soccer players: A pilot study. Kinesiology 2020, 52, 85–93. [Google Scholar] [CrossRef]
- Coratella, G.; Beato, M.; Schena, F. The specificity of theLoughborough Intermittent Shuttle Test for recreational soccerplayers is independent of their intermittent running ability. Res. Sport Med. 2016, 24, 363–374. [Google Scholar] [CrossRef]
- American College of Sports Medicine. Plyometric Training for Children and Adolescents; ACSM Position Statement; Lippincott Williams &Wilkins: Indianapolis, IN, USA, 2001. [Google Scholar]
- Siri, W.E. The gross composition of the body. Adv. Biol. Med. Phys. 1956, 4, 239–280. [Google Scholar] [PubMed]
- Meylan, C.; Malatesta, D. Effects of in-season plyometric trainingwithin soccer practice on explosive actions of young players. J. Strength Cond. Res. 2009, 23, 2605–2613. [Google Scholar] [CrossRef] [PubMed]
- Michailidis, Y.; Pirounakis, V.; Savvakis, C.; Margonis, K.; Metaxas, T. The influence of unilateral jumping asymmetry on acceleration and speed performance, in U10 and U15 groups of youth soccer players. Trends Sport Sci. 2019, 26, 141–151. [Google Scholar] [CrossRef]
- Michailidis, Y.; Ganotakis, C.; Motsanos, N.; Metaxas, T. The effects of an HIIT program on young soccer players’ physical performance. Int. J. Sport. Sci. Coach. 2022. [Google Scholar] [CrossRef]
- Michailidis, Y. Plyometric training programs for young soccer players: A systematic review. Int. J. Sport Stud. 2014, 4, 1455–1461. [Google Scholar]
- El-Ashker, S.; Hassan, A.M.R.; Taiar, R.; Tilp, M. Long jump training emphasizing plyometric exercises is more effective than traditional long jump training: A randomized controlled trial. J. Hum. Sport Exerc. 2019, 14, 215–224. [Google Scholar] [CrossRef]
- Sáez de Villarreal, E.; Suarez-Arrones, L.; Requena, B.; Haff, G.G.; Ferrete, C. Effects of plyometric and sprint training on physical and technical skill performance in adolescent soccer players. J. Strength Cond. Res. 2015, 29, 1894–1903. [Google Scholar] [CrossRef] [PubMed]
- Moran, J.; Sandercock, G.R.H.; Ramνrez-Campillo, R.; Meylan, C.; Collison, J.; Parry, D.A. Age-related variation in male youth athletes’ countermovement jump following plyometric training. J. Strength Cond. Res. 2017, 31, 552–565. [Google Scholar] [CrossRef] [PubMed]
- Chu, D.; Myer, G. Plyometrics; Human Kinetics: Champaign, IL, USA, 2013. [Google Scholar]
- Cappa, D.F.; Behm, D.G. Training specificity of hurdle vs. countermovement jump training. J. Strength Cond. Res. 2011, 25, 2715–2720. [Google Scholar] [CrossRef] [PubMed]
- Dello, I.A.; Martone, D.; Milic, M.; Padulo, J. Vertical- vs. horizontal- oriented drop jump training: Chronic effects on explosive performances of elite handball players. J. Strength Cond. Res. 2017, 31, 921–931. [Google Scholar] [CrossRef]
- Hammami, M.; Gaamouri, N.; Shephard, R.J.; Chelly, M.S. Effects of contrast strength vs. plyometric training on lower-limb explosive performance, ability to change direction and neuromuscular adaptation in soccer players. J. Strength Cond. Res. 2019, 33, 2094–2103. [Google Scholar] [CrossRef]
- Manolopoulos, E.; Papadopoulos, C.; Salonikidis, K.; Katartzi, E.; Poluha, S. Strength training effects on physical conditioning and instep kick kinematics in young amateur soccer players during preseason. Percept. Mot. Ski. 2004, 99, 701–710. [Google Scholar] [CrossRef]
- Van Hooren, B.; Zolotarjova, J. The Difference Between Countermovement and Squat Jump Performances: A Review of Underlying Mechanisms with Practical Applications. J. Strength Cond. Res. 2017, 31, 2011–2020. [Google Scholar] [CrossRef]
- Fukutani, A.; Isaka, T.; Herzog, W. Evidence for Muscle Cell-Based Mechanisms of Enhanced Performance in Stretch-Shortening Cycle in Skeletal Muscle. Front. Physiol. 2021, 11, 609553. [Google Scholar] [CrossRef] [PubMed]
- Aagaard, P.; Simonsen, E.B.; Andersen, J.L.; Magnusson, P.; Dyhre-Poulsen, P. Increased rate of force development and neural drive of human skeletal muscle following resistance training. J. Appl. Physiol. 1985, 93, 1318–1326. [Google Scholar] [CrossRef] [PubMed]
- Miller, M.G.; Herniman, J.J.; Ricard, M.D.; Cheatham, C.C.; Michael, T.J. The effects of a 6-week plyometric training program on agility. J. Sport. Sci. Med. 2006, 5, 459–465. [Google Scholar]
- Young, W.; Mclean, B.; Ardagna, J. Relationship between strength qualities and sprinting performance. J. Sport. Med. Phys. Fit. 1995, 35, 13–19. [Google Scholar]





| CG (n = 9) | EX (n = 11) | |||
|---|---|---|---|---|
| Pre-Training | Post-Training | Pre-Training | Post-Training | |
| Age (years) | 16.7 ± 0.1 | 16.8 ± 0.1 | 16.5 ± 0.3 | 16.6 ± 0.3 |
| Training age (years) | 10.3 ± 1.4 | 10.4 ± 1.4 | 9.8 ± 0.6 | 9.9 ± 0.6 |
| Height (cm) | 176 ± 8 | 176 ± 9 | 176 ± 4 | 176 ± 4 |
| Weight (kg) | 72.6 ± 9.6 | 72.6 ± 10.4 | 69.9 ± 7.2 | 70.3 ± 7.1 |
| Body fat (%) | 15.3 ± 2.7 | 15.2 ± 2.7 | 13.8 ± 2.2 | 12.3 ± 2.1 |
| Week | Exercise 1 | Exercise 2 | Exercise 3 | No. of Jumps | Meters of COD |
|---|---|---|---|---|---|
| 1st | 3 set × 3 reps | 3 set × 3 reps | 2 set × 6 reps | 60 | 120 |
| 2nd | 4 set × 4 reps | 3 set × 4 reps | 2 set × 6 reps | 80 | 135 |
| 3rd | 4 set × 5 reps | 4 set × 4 reps | 2 set × 7 reps | 100 | 150 |
| 4th | 4 set × 4 reps | 3 set × 4 reps | 2 set × 6 reps | 80 | 135 |
| 5th | 4 set × 5 reps | 4 set × 4 reps | 2 set × 7 reps | 100 | 150 |
| 6th | 5 set ×5 reps | 4 set × 5 reps | 3 set × 5 reps | 120 | 180 |
| Test | Trial | Interaction | CI: Time | CI: Trial | |||
|---|---|---|---|---|---|---|---|
| Pre | Post | EX | CG | ||||
| 10 m (s) | F = 0.116 | F = 1.008 | F = 0.001 | 1.783–1.849 | 1.771–1.848 | 1.739–1.838 | 1.764–1.911 |
| p = 0.742 | p = 0.345 | p = 0.972 | |||||
| η2 = 0.014 | η2 = 0.112 | η2 = 0 | |||||
| 30 m (s) | F = 0.609 | F = 0.914 | F = 0.296 | 4.299–4.418 | 4.314–4.446 | 4.227–4.426 | 4.279–4.547 |
| p = 0.458 | p = 0.367 | p = 0.601 | |||||
| η2 = 0.071 | η2 = 0.103 | η2 = 0.036 | |||||
| Illinois test (s) | F = 8.499 | F = 4.183 | F = 22.699 | 15.874–16.439 | 15.675–16.236 | 15.883–16.410 | 15.435–16.498 |
| p = 0.019 | p = 0.036 | p = 0.001 | |||||
| η2 = 0.515 | η2 = 0.050 | η2 = 0.739 | |||||
| 505 right leg (s) | F = 6.818 | F = 2.820 | F = 0.272 | 2.379–2.466 | 2.298–2.396 | 2.289–2.393 | 2.347–2.509 |
| p = 0.031 | p = 0.132 | p = 0.616 | |||||
| η2 = 0.460 | η2 = 0.261 | η2 = 0.033 | |||||
| 505 left leg (s) | F = 16.362 | F = 2.911 | F = 0.906 | 2.431–2.469 | 2.331–2.410 | 2.312–2.434 | 2.400–2.494 |
| p = 0.004 | p = 0.126 | p = 0.369 | |||||
| η2 = 0.672 | η2 = 0.267 | η2 = 0.102 | |||||
| SJ (cm) | F = 0.460 | F = 1.781 | F = 0.283 | 32.021–38.371 | 31.588–36.604 | 30.640–36.610 | 33.081–38.253 |
| p = 0.517 | p = 0.219 | p = 0.609 | |||||
| η2 = 0.054 | η2 = 0.182 | η2 = 0.034 | |||||
| CMJ (cm) | F = 1.596 | F = 0.003 | F = 0.034 | 37.609–41.075 | 33.326–41.099 | 36.274–40.388 | 34.316–42.131 |
| p = 0.242 | p = 0.955 | p = 0.858 | |||||
| η2 = 0.166 | η2 = 0 | η2 = 0.004 | |||||
| CMJ right leg (cm) | F = 1.090 | F = 0.154 | F = 1.628 | 18.402–22.547 | 17.533–21.675 | 18.082–21.371 | 17.066–23.638 |
| p = 0.327 | p = 0.705 | p = 0.238 | |||||
| η2 = 0.120 | η2 = 0.019 | η2 = 0.169 | |||||
| CMJ left leg (cm) | F = 2.548 | F = 0.262 | F = 0.831 | 19.423–22.670 | 17.494–22.158 | 17.155–22.437 | 17.056–25.097 |
| p = 0.149 | p = 0.622 | p = 0.389 | |||||
| η2 = 0.242 | η2 = 0.032 | η2 = 0.094 | |||||
Disclaimer/Publisher’s Note: The statements, opinions and data contained in all publications are solely those of the individual author(s) and contributor(s) and not of MDPI and/or the editor(s). MDPI and/or the editor(s) disclaim responsibility for any injury to people or property resulting from any ideas, methods, instructions or products referred to in the content. |
© 2023 by the authors. Licensee MDPI, Basel, Switzerland. This article is an open access article distributed under the terms and conditions of the Creative Commons Attribution (CC BY) license (https://creativecommons.org/licenses/by/4.0/).
Share and Cite
Michailidis, Y.; Venegas, P.; Metaxas, T. Effects of Combined Horizontal Plyometric and Change of Direction Training on Anaerobic Parameters in Youth Soccer Players. Sports 2023, 11, 27. https://doi.org/10.3390/sports11020027
Michailidis Y, Venegas P, Metaxas T. Effects of Combined Horizontal Plyometric and Change of Direction Training on Anaerobic Parameters in Youth Soccer Players. Sports. 2023; 11(2):27. https://doi.org/10.3390/sports11020027
Chicago/Turabian StyleMichailidis, Yiannis, Panagiotis Venegas, and Thomas Metaxas. 2023. "Effects of Combined Horizontal Plyometric and Change of Direction Training on Anaerobic Parameters in Youth Soccer Players" Sports 11, no. 2: 27. https://doi.org/10.3390/sports11020027
APA StyleMichailidis, Y., Venegas, P., & Metaxas, T. (2023). Effects of Combined Horizontal Plyometric and Change of Direction Training on Anaerobic Parameters in Youth Soccer Players. Sports, 11(2), 27. https://doi.org/10.3390/sports11020027

