Next Article in Journal
Jamaica’s Critically Endangered Butterfly: A Review of the Biology and Conservation Status of the Homerus Swallowtail (Papilio (Pterourus) homerus Fabricius)
Previous Article in Journal
Microfungi Associated with Pteroptyx bearni (Coleoptera: Lampyridae) Eggs and Larvae from Kawang River, Sabah (Northern Borneo)
Previous Article in Special Issue
Interactions among the Predatory Midge Aphidoletes aphidimyza (Diptera: Cecidomyiidae), the Fungal Pathogen Metarhizium brunneum (Ascomycota: Hypocreales), and Maize-Infesting Aphids in Greenhouse Mesocosms
 
 
Font Type:
Arial Georgia Verdana
Font Size:
Aa Aa Aa
Line Spacing:
Column Width:
Background:
Article

Assessing Probabilistic Risk Assessment Approaches for Insect Biological Control Introductions

Department of Plant and Environmental Protection Sciences, University of Hawaii at Manoa, 3050 Maile Way, Honolulu, HI 96822, USA
*
Author to whom correspondence should be addressed.
Insects 2017, 8(3), 67; https://doi.org/10.3390/insects8030067
Submission received: 16 August 2016 / Revised: 12 April 2017 / Accepted: 24 April 2017 / Published: 7 July 2017
(This article belongs to the Special Issue Biological Control of Invertebrate Pests)

Abstract

:
The introduction of biological control agents to new environments requires host specificity tests to estimate potential non-target impacts of a prospective agent. Currently, the approach is conservative, and is based on physiological host ranges determined under captive rearing conditions, without consideration for ecological factors that may influence realized host range. We use historical data and current field data from introduced parasitoids that attack an endemic Lepidoptera species in Hawaii to validate a probabilistic risk assessment (PRA) procedure for non-target impacts. We use data on known host range and habitat use in the place of origin of the parasitoids to determine whether contemporary levels of non-target parasitism could have been predicted using PRA. Our results show that reasonable predictions of potential non-target impacts may be made if comprehensive data are available from places of origin of biological control agents, but scant data produce poor predictions. Using apparent mortality data rather than marginal attack rate estimates in PRA resulted in over-estimates of predicted non-target impact. Incorporating ecological data into PRA models improved the predictive power of the risk assessments.

1. Introduction

The rate of biological invasions globally has increased dramatically in the past 500 years due to an increase in human activities such as transportation, migration, and commerce [1]. Invasive species cause direct and indirect effects on organisms living in the environment they invade, and therefore threaten biodiversity, agriculture, and human health. Besides the environmental impacts, invasive species cause major economic losses in different sectors of the U.S. economy [2]. The practice of classical biological control (CBC), as the intentional transfer of natural enemies from one place to another, has traditionally been used as a tool to fight invasive species in agricultural settings and is now also being used to control invasive species in natural areas [3,4].
The enemy release hypothesis states that organisms become invasive in a new area because they have escaped the natural enemies that suppress their populations in their area of origin. Exotic species thus have an advantage over competitors in areas of introduction where indigenous species are still suppressed by their indigenous natural enemies [5]. Therefore, CBC works under the premise that the reestablishment of top-down control by introduction of natural enemies will reduce the populations of invasive species and therefore restore balance [3].
The history of biological control provides many examples of remarkable successes [6]. Prime examples include the introduction of the Australian lady beetle Rodolia cardinalis (Mulsant) (Coleoptera: Coccinellidae) to control the cottony cushion scale, Icerya purchasi Maskell, an introduction that is credited with saving the California citrus industry, and the introduction of Anagyrus lopezi (DeSantis) (Hymenoptera: Encyrtidae) from South America to control the cassava mealybug Phenacoccus manihoti Matile-Ferrero, in Africa, recognized to have saved many people from starvation. Those are just two of many other remarkable examples; Van Driesche et al. [7] provide a comprehensive review of the benefits of biological control of pests. Besides the economic benefits of this practice, the use of biological control has also led to a reduction in the use and dependence on pesticides, with coincidental benefits in terms of human and environmental health.
The potential and realized positive effects of biological control have been recognized for over a century. Many practitioners have long considered this practice environmentally safe, benign, risk-free, and a natural phenomenon [8,9,10,11]. Even though awareness of potential negative effects was also expressed over a century ago [12], it was only in the 1980s that classical biological control was first severely criticized as posing serious environmental risks [13,14]. At the center of this criticism was the issue of host specificity, or the lack thereof [15]. Biological control agents were implicated in the reduction of populations of native and desirable species, and were blamed in some cases to be agents of extinction [13,14]. Soon after, regulators and researchers were calling for more rigorous screening methods in the USA [15] and revisiting means of predicting positive or negative impacts of biocontrol agents. Some authors went so far as to call for the cessation of biological control [16].
Throughout the history of biological control, the most adverse effects in terms of non-target attacks have been due to the release of highly polyphagous species [17,18]. Generalist biological control agents were at one point considered superior not only because they could potentially control several pests but they could also persist on native insects at times when the target pest was rare. Such releases of generalist species were made before the concerns about environmental impacts were appreciated. In the specific case of Hawaii, after concerns were raised the state experienced an overall reduction of biological control introductions due to the implementation of rigid regulations [19].
At the time the potential for environmental impacts of introduced biological control agents was recognized in the USA, the need for regulations and guidelines for introductions as well as for comprehensive risk assessment (RA) frameworks became apparent.
Several protocols have been developed for the selection of non-target species for screening and host range determination [20,21,22,23,24,25]. Some countries such as New Zealand, Australia and South Africa as well as countries within the European Union have developed their own regulations and RA frameworks. For the most part they have similar criteria, but they involve different procedures and work under different guidelines.
The United States has no comprehensive RA methodology adopted for insect biological control introductions, and this situation is further complicated by a range of regulations at the state level. Hawaii represents a unique case, with a long history of biological control introductions, and has been the center of controversy regarding non-target effects. This has resulted in overly-restrictive regulations being implemented there [19]. The state of Hawaii and the USA in general should greatly benefit from the adoption of a general quantitative RA framework to characterize the potential risks of proposed biological control introductions.
Risk assessment in the field of biological control evaluates the likelihood that adverse ecological effects may occur, and the expected magnitude of any adverse effects, as a result of a release of a purposely introduced biological control agent. Two general RA frameworks have been proposed with great potential to be widely adopted. van Lenteren et al. [24] proposed a semi-quantitative environmental RA approach for inundative biological control agents, which was later improved and expanded to address classical biological control agents, in a stepwise procedure that identifies biological control agents with high potential non-target risk early in the process, therefore avoiding unnecessary research and use of resources [25,26]. Wright et al. [27] proposed a probabilistic RA (PRA) approach for either classical or inundative biocontrol agents, using conditional probabilities in a Bayesian approach to estimating risk, illustrated conceptually in Figure 1.
It has already been shown that the risk posed by biological control agents can vary spatially and temporally within the area of introduction [28,29,30,31,32]. Nevertheless, current RA procedures lack comprehensive incorporation of spatial and temporal components to characterize the risk. In attempting to predict how a biological control agent will respond to potential new hosts in a new area of introduction, it is important to elucidate its behavior in the area of origin and other areas of distribution to predict the nature of potential relationships with target species and potential non-target species.
The aim of this paper is to validate the probabilistic risk assessment methodology proposed by Wright et al. [27] using retrospective and current data from a study system in Hawaii. Wright et al. [27] proposed that non-target risk could be assessed using decision trees, which estimate the conditional probabilities of certain dependent events occurring, in this case non-target exploitation. The proposed approach included probabilities associated with various parasitoid behaviors, to conduct risk assessment for biological control agents, incorporating host range, ecological and behavioral aspects of parasitoid ecology. The probability of parasitism occurring at various levels may be modeled and incorporated into assessments that predict the ‘worst case’ (high probability of high parasitism) vs. the ‘best case’ (low probability of any non-target parasitism), through constructing probability distributions for each ecological aspect, using field collected data. The validation process addresses the three questions below using data from recently published work addressing the impacts of purposefully introduced and accidentally introduced parasitoids on an endemic Hawaiian moth, Udea stellata (Crambidae) [33,34,35,36]. Udea stellata is a moderately abundant species specific to an endemic plant, which occurs across a fairly broad ecological gradient in Hawaii, under a range of environmental conditions. It is considered to be a significant source of food for certain Hawaiian birds. We selected U. stellata as a study species as a representative of a typical Hawaiian insect, rather than one that was threatened, so that the impacts of introduced insects could be assessed, rather than other impacts such as habitat loss. Citations 33–36 report the results of studies on parasitoids attacking U. stellata in Hawaii, quantifying the parasitoid assemblage, levels of mortality (both apparent mortality, measuring proportion of hosts parasitized by a parasitoid in random samples; and marginal mortality, estimated generational mortality inflicted by a parasitoid, in the presence of other mortality factors), and ecological correlates of parasitoid distributions.
Key questions we addressed were: Would it have been possible to predict that Cotesia marginiventris (Braconidae), Meteorus laphygmae (Braconidae), and Trathala flavoorbitalis (Ichneumonidae) would attack U. stellata based on earlier published data, and would it have been possible to predict their level of impact on this non-target species using PRA? How useful are estimates of marginal vs. apparent mortality (and measures of uncertainty in both) in conducting PRA? Are there any key ecological variables that would be worth considering in the hypothetical case that any of the species addressed will be considered for introduction in another place?

1.1. Validation of the Probabilistic Risk Assessment Methodology

This section presents the procedures used to answer the four main questions stated in the introduction, regarding the validation of a PRA approach applied to biological control agents. A summary overview of risk assessment methods is provided in Supplementary Materials.
Question 1: Would it have been possible to predict that any of the three introduced parasitoid species would attack U. stellata based on published historical data, and would it have been possible to predict their level of impact on this non-target species using data gleaned from the published literature using PRA?
To address the first part of the question, whether older published records would have given an indication that any of the three introduced parasitoid species would attack U. stellata, reports on parasitism by C. marginiventris, M. laphygmae, and T. flavoorbitalis were sought in older published records (from 1913 to date of introduction or first record) by consulting printed copies of the abstract journal Review of Applied Entomology. The Thompson Catalogues of Host-parasitoid Associations [37,38] were also consulted (similar procedure described by [39,40]).
The second part of the question, whether it would have been possible to predict their level of impact on U. stellata based on historical data using PRA, validates a probabilistic risk assessment approach [27] with precision trees. As far as possible, probabilistic methods were applied by deriving probabilities of parasitism under different circumstances, from available data that could be gathered on the biology and ecology of the species being examined, from the literature as if it would have been available prior to the ‘introduction’ of the species of interest. These data form the basis for predictions (hypotheses) available at the ‘time of introduction’ and provide the first step for the validation. As actual non-target impacts were measured during the course of a number of studies supporting this work [33,34,35,36], it should be possible to corroborate the probabilistic model “predictions” with contemporary quantitative field data (presented as probability distributions). The validation was carried out by developing precision trees based on published data from earlier studies, compared to current actual impacts measured in the field.
The parasitoid species used for the validation section were C. marginiventris, M. laphygmae, and T. flavoorbitalis, with U. stellata as the non-target organism. Validation was not performed for the other species that parasitize U. stellata, Diadegma blackburnii, Pristomerus hawaiiensis, Casinaria infesta and Triclistus nr. Aitkeni, since little information was available in the literature on the latter four.

1.2. Problem Formulation

1.2.1. The Non-Target Host Udea stellata (Butler)

The genus Udea (Lepidoptera: Crambidae) is a very large group that occurs in the Americas, Eurasia, and into the Pacific [41]. Hawaii has 44 endemic species in this genus [42]. Udea stellata was first described by Butler in 1883. Udea stellata (Lepidoptera: Crambidae) is a multivoltine species that undergoes six larval stages. The larvae feed on endemic host plants in the genus Pipturus (Urticacea, common name “mamaki”). All six larval stages are susceptible to parasitism by at least one of seven introduced parasitoid species associated with them [35].

1.2.2. Habitats Supporting the Non-Target Species, U. stellata

The endemic host plants of U. stellata, Pipturus spp. are typically found in mesic forests. They occur across a moderate elevation gradient (from sea level to 1400 m). Most Pipturus populations in Hawaii currently occur in habitats with some level of disturbance by alien plant species. For this study, Pipturus habitats in Hawaii were classified based on landuse/landcover (LULC, State of Hawaii Office of Planning) and fall into two categories: shrub and rangeland; and evergreen forests. Even though Pipturus spp. do not occur in grassland habitats per se, they do occur in shrubland areas at the margins of grasslands. Elevation was also used to classify habitats where Pipturus spp. occur, since it is one of the ecological factors found to significantly influence the parasitoid assemblage associated with U. stellata [36]. Non-target habitats below 500 m were considered low elevation, habitats between 500 and 900 m were considered medium elevation, and habitats above 900 m were considered high elevation.

1.2.3. Introduced Parasitoids Exploiting U. stellata

Cotesia marginiventris (Cresson) (Hymenoptera: Braconidae): a solitary endoparasitoid native to the West Indies [43]. Boling and Pitre [44] studied the biology of this species in the hosts Tricoplusia ni (Hübner), Pseudoplusia includes (Walker), and Heliothis virescens (Fabricius). Cotesia marginiventris undergoes three larval stages. Soon after molting to the third instar, the parasitoid larva exits its host to spin a white cocoon and pupates inside it. The host dies shortly after parasitoid emergence. Females have short ovipositors and have a preference to oviposit in early instar larvae.
Cotesia marginiventris has been purposely introduced to Cape Verde (Africa), Karnakata (India), Trinidad and Tobago (Caribbean), Australia (Oceania), and Hawaii (North America). Fred Bianchi, assistant entomologist of the Hawaiian Sugar Planters’ Association (H.S.P.A) Experimental Station, introduced this parasitoid to Hawaii from Brownsville, Texas to control the sugar cane pest Spodoptera exempta [45,46,47]. The introduction was made during the last half of 1942. A total of 4277 adults were distributed to Kauai, Oahu, Maui, and Hawaii. It became quickly established in the islands. At the time of the introduction there was no concern about possible non-target effects. Funasaki et al. [48] and Henneman and Memmott [49] report this species attacking other exotic species as well as native insects in Hawaii (Table 1). On the non-target host U. stellate, C. marginiventris can parasitize second, third, and fourth instars and emerges from the host when it is either fifth or sixth instar [35].
Meteorus laphygmae (Viereck) (Hymenoptera: Braconidae) is a nocturnal solitary koinobiont endoparasitoid [50,51]. Fernández and Terán [50] studied the biology of M. laphygmae in the host Spodoptera frugiperda (J. E. Smith). Meteorus laphygmae undergoes three larval stages; the first two develop inside the host and soon after molting to the third instar the larva emerges from the host to immediately start spinning a cocoon, inside which it metamorphoses to the pupal stage. The pupal cocoon is suspended from a thread anchored on foliage, as a protection from natural enemies [45].
This parasitoid is currently distributed in many states in the continental United States as well as Hawaii, Mexico, Central America (Trinidad and Tobago), and South America (Colombia and Venezuela) [52]. This parasitoid was purposely introduced to Hawaii by Bianchi, from Brownsville, Texas, to control the sugarcane pest S. exempta. The introduction process was done from June to November of 1942, and resulted in establishment of the species. A total of 3900 wasps were distributed on Oahu, Maui, Kauai, and Hawaii [45,47].
Funasaki et al. [48] and Henneman and Memmott [49] reported M. laphygmae parasitizing other exotic species as well as non-target native species in Hawaii (Table 2). M. laphygmae can parasitize second to fifth instar larvae of U. stellate, and emerges from the host’s sixth instar [35].
Trathala flavoorbitalis (Cameron) (Hymenoptera: Ichneumonidae) is a solitary, parthenogenetic endoparasitoid [35]. The literature reports that this parasitoid is a larval-pupal parasitoid [53] but it was never observed emerging from a pupa of U. stellata in Hawaii [35].
Trathala flavoorbitalis occurs in Asia (China, India, Indonesia, Japan, Myanmar, Philippines, Singapore, and Sri Lanka), Europe (Russian Federation), Hawaii, and Australia. This parasitoid has not been purposely introduced anywhere in the world. It is considered an important indigenous biological control agent of many Lepidopteran pests in Asia [36]. Trathala flavoorbitalisis, an adventive species to Hawaii, was first detected in 1910 [54] but for the purpose of this risk assessment validation is considered intentionally introduced for the sake of risk modeling. This species has been reared from many adventive and endemic species in Hawaii (Table 3). T. flavoorbitalis can parasitize first to fifth instar larvae of U. stellata, and emerges from the host at the sixth instar [35].

1.3. Analysis

For the purpose of the validation, U. stellata is considered to be the only non-target species of concern for each of the three parasitoids. In order to explore ways to express uncertainty created by the limited available data, two different scenarios were modeled: the average outcome, and the worst-case scenario. Average-outcome scenarios were modeled based strictly on the information found in the literature, whereas the worst-case scenario was based on the assumption that the published data were not comprehensive, and that hypothetically the agents could successfully overlap with U. stellata geographically, and locate and parasitize susceptible stages of U. stellata at similar rates as the target host.

1.4. Exposure Assessment

Published reports on parasitism were gathered for the three different parasitoids. Information on elevation and habitat type (land use and land cover: LULC) reported in the literature was used to predict potential spatial overlap with U. stellata. In the risk models, the best-case outcome scenario for the three parasitoids assumed no spatial overlap (probability, p = 0) with habitats that maintain populations of U. stellata (evergreen forests and scrubland/shrubland sites) at low (below 500 m), medium (between 500 and 900 m) and high elevation (above 900 m) sites, based on the fact that the published data only report parasitism in agricultural and grassland areas in the provenance of the parasitoids [56,57,58,59]. The modeled worst-case scenario assumed that published data were biased by habitat type and sampling, and that the three parasitoids could occur in other habitats such as forest and shrub land areas at the three elevation ranges, and therefore overlap spatially with U. stellata populations (p = 1.0).
Temporal overlap: Larvae of the non-target species, U. stellata, are perennially present [33]. Because of the seasonally equable environmental conditions in Hawaii, it was assumed that the three parasitoids are also perennially active. Therefore full synchronization with susceptible stages of U. stellata is considered to be the most likely scenario for all three cases (probability of temporal overlap, p = 1.0).
The effects assessment phase of the PRA was based on published records of parasitism for each of the three parasitoid species from outside of Hawaii. Parasitism data obtained from the literature were used to construct probability distributions for each elevation level (low, medium, and high).
The average outcome scenario assumed that each of the parasitoid species would attack only hosts in the families with records of parasitism obtained from the published data. The worst-case scenario assumed that potential hosts in the family Crambidae (specifically U. stellata) will also be subject to parasitism.
For C. marginiventris and M. laphygmae, parasitism data were obtained for the target hosts S. frugiperda and S. exigua at at low, medium, and high elevations [56,58] in Mexico (sites at similar latitude to Hawaii). For T. flavoorbitalis, parasitism rates were available for the target pest Antigastra cautalaunalis in India only at low-elevation sites (below 500 m) [57,59] (latitude: 29 and 23 degrees north, respectively).

1.5. Risk Characterization

Data from the exposure assessment were used to construct overall probability distributions of parasitism rates for each of the given scenarios, and these data were used in the development of the precision-trees (Figure 1). Figure 2 shows the precision tree for the worst-case scenario.
Apparent mortality data [35] were used to construct probability distributions and validate the results obtained from the precision trees (based on information obtained from previously published data).
Uncertainty analyses (Monte Carlo, MC, simulations) were conducted using Crystal Ball® software [60] and each simulation was run with 2000 trials. For validation purposes, probability distributions were also generated for the observed parasitism rates in Hawaii, using recently published data [33,34,35,36]. The software presents results of the MC simulations graphically as probability/frequency distributions of all possible outcomes. Data generated during the simulations were extracted and analyzed using nonparametric statistics. The Mann–Whitney Rank Sum Test was used to test for significant differences between data when we had only two groups, and the Kruskal–Wallis ANOVA on ranks was used when we had data for multiple groups. The statistical analyses were done using SigmaStat 3.1 (Systat Software, San Jose CA, USA).
Question 3: How different are the outcomes using estimates of marginal attack rates versus apparent mortality (and measures of uncertainty in both) in conducting probabilistic risk assessment?
Apparent mortality rates (field parasitism, [35]), Table 4) and U. stellata marginal attack rates (from life table studies of cohorts of larvae, [34], Table 5) were used for this analysis for each of the three parasitoid species to build probability distributions. Data from the life table studies reported in [34] and from field surveys of apparent mortality ([35], Table 4) were pooled across exposure trials and surveys, respectively, for the development of probability distributions. Probability distributions of marginal attack rate and apparent mortality were used as input variables in the probabilistic models (run in Crystal Ball®) keeping all other variables of the model constant (spatial and temporal overlap), to run the simulations. This provided estimates of mean mortality in the risk-analyses using measures of apparent or marginal mortality. Data generated during the simulations were extracted, and the Mann–Whitney Rank Sum Test was used to test for significant differences between the two groups.
Question 4: Are there any key ecological variables that would be worth considering in the hypothetical case that any of the three parasitoid species might be considered for introduction to another location or are generally worth considering in any risk assessment?
The results of the comparison of the prediction model and actual field parasitism in Hawaii (Question 1) were used to indicate which aspects of a potential biological control agent’s biology and ecology need to be investigated to provide a robust estimate of their non-target potential.

2. Results and Discussion

2.1. Question 1: Would It Have Been Possible to Predict that Any of the Three Parasitoid Species Would Attack U. stellata Based on Published Historical Data, and Would It Have Been Possible to Predict Their Level of Impact on this Non-Target Species Using PRA?

2.1.1. Cotesia marginiventris

Table 6 presents the list of known hosts in the native range of C. marginiventris, mostly Noctidae, known before this species was introduced to Hawaii in 1942. The published literature also reports parasitism on species in the family Sphingidae and Crambidae. Within the family Crambidae, C. marginiventris was known to parasitize Udea rubigalis (Table 6), a species native to continental North America and a pest of celery, also known as the celery leaf-tier. Other species in that genus, such as U. stellata, could thus have been predicted to be potential non-target hosts (Hawaii has 44 described endemic representatives in this genus). Records following introduction in Hawaii show that besides attacking U. stellata, C. marginiventris also parasitized the other endemic non-target hosts in the families Crambidae, Tortricidae, Geometridae, Oecophoridae, and Noctuidae (Table 1).
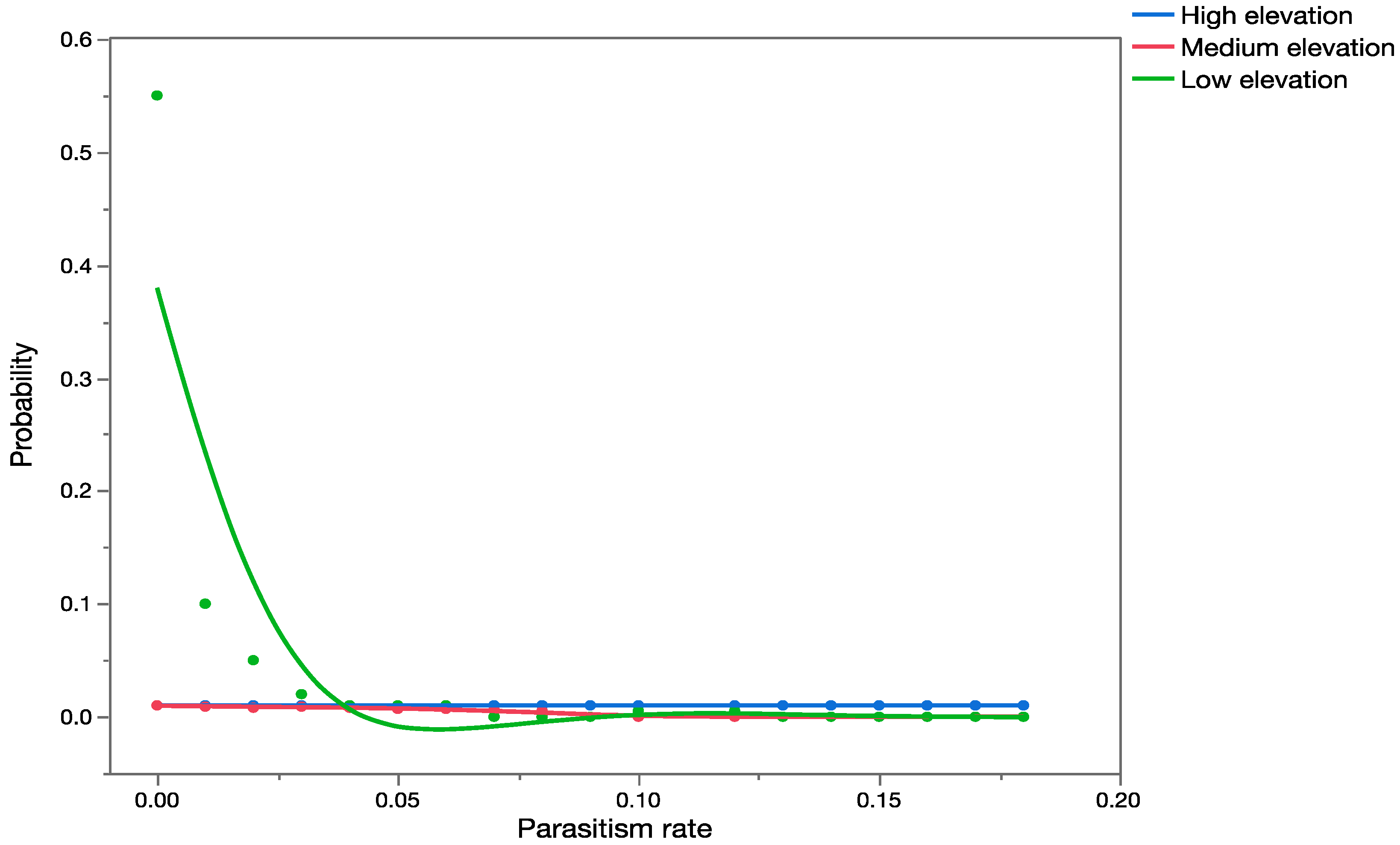
Based on the literature, it was also predicted that C. marginiventris would only occur in agricultural and grassland areas. Figure 3 shows the results of the PRA based on those data. The data used were from an extensive field survey for parasitoids associated with Spodoptera in Mexico (sites at similar latitude to Hawaii). Results of the PRA are presented in graphs, which are probability/frequency distributions of all possible parasitism rates (expressed as proportions on the x-axis) based on records of parasitism. They represent the worst-case scenario, which assumes spatial overlap and temporal overlap (p = 1 for both factors) with populations of U. stellata, and that parasitism rates on U. stellata will be similar to those recorded in the historical data for its target hosts, Spodoptera exigua and S. frugiperda. The average outcome case scenario leads to an overall probability of zero (therefore no probability distribution could be built) since it assumed successful temporal overlap (p = 1) but no spatial overlap (p = 0).
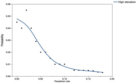
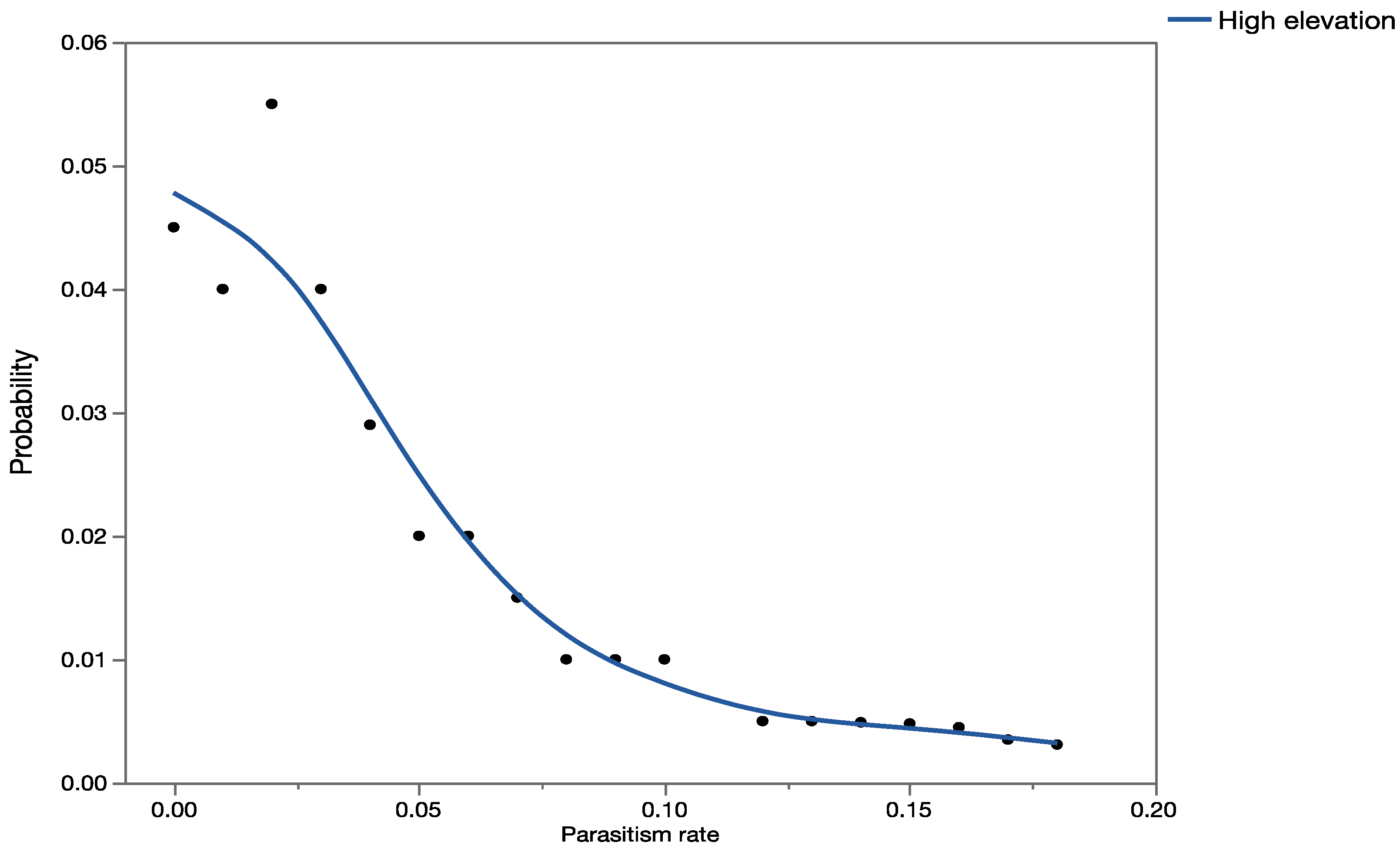
In Hawaii, C. marginiventris occurs in forest and scrubland/shrubland areas, and therefore overlaps with some populations of U. stellata, consistent with the assumptions in the hypothetical worst-case outcome scenario. Figure 4 shows the forecasted probability of parasitism rates of U. stellata in Hawaii at high-elevation sites. Parasitism of U. stellata by C. marginiventris was not recorded at low- and medium-elevation sites in Hawaii, even though the average outcome case scenario predicted that this parasitoid could also occur at low and medium elevations.
The Kruskal–Wallis ANOVA on ranks was used to test for significant differences in forecasts from the statistical reports of the Monte Carlo (MC) simulations analyses with data gathered from the literature at the three elevations. The Mann–Whitney Rank Sum Test was used to detect significant differences between results of the MC analysis with historical data and data from current studies.
There were significant differences in parasitism rates by C. marginiventris reported in the literature at the three elevations studied (H = 2255.2; p < 0.001). When results of the MC analysis with parasitism rates recorded at high elevations in Hawaii were compared statistically with results of the MC simulation analysis of parasitism from older literature for low, medium, and high elevations, observed field parasitism of U. stellata at high elevations in Hawaii was significantly higher than predicted parasitism of S. exempta at low-, medium-, and high-elevation sites (p < 0.001).
Based on the results of the simulation with the historical published data (which represents the predicted worst-case scenario), parasitism rates of U. stellata by C. marginiventris in Hawaii were expected to be higher at medium- and low-elevation sites and minimal at high-elevation sites. Yet, recent quantitative data from field studies in Hawaii show that all parasitism of U. stellata by C. maginiventris occurred at high elevations and none at low and medium elevations. The target hosts S. exempta and S. frugiperda are distributed from low- to high-elevation sites in the area where data on parasitism rates by C. marginiventris were gathered from Mexico.
Based on historical published records, it would have been likely to predict that U. stellata would be within the physiological host range of C. marginiventris. It would also have been possible to predict that this species should be able to persist across a long elevation gradient. However, the published records did not provide any indication that this species will be able to occupy areas other than agricultural land and grassland, but of course this is an artifact of the data being limited to agricultural areas. Should data have been available for higher elevation areas, the predicted scenario would possibly have been different.

2.1.2. Meteorus laphygmae

Table 7 shows a list of hosts of M. laphygmae known prior to its introduction to Hawaii. Most literature records associate M. laphygmae with Noctuidae pests in agricultural systems. Based on the records available at the time of introduction, there was no indication that this species would attack species in the family Crambidae. Subsequent records of non-target parasitism in Hawaii have shown that this species can attack hosts in the families Crambidae, Oecophoridae, Tortricidae, and Heliconiidae, and non-target hosts in the families Noctuidae and Geometridae (Table 2).
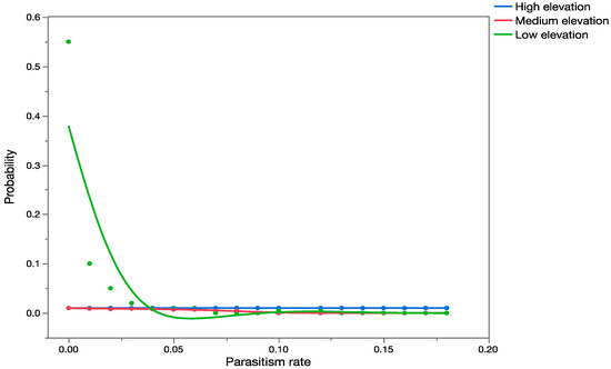
As with C. marginiventris, M. laphygmae was predicted to occur only in grassland and agricultural areas. The worst-case scenario assumed that M. laphygmae could occupy habitats of U. stellata and parasitize hosts in the family Crambidae at the same parasitism rates as their target hosts S. exigua and S. frugiperda in Mexico. Retrospective studies in Hawaii [33,34] have shown that M. laphygmae can occupy the same habitats as U. stellata and successfully parasitize this non-target species. Figure 5 shows results of the PRA analysis using data from the historical literature for low-, medium-, and high-elevation sites. Figure 6 shows the probability distributions for the observed parasitism rates on U. stellata in Hawaii at medium- and high-elevation sites. Meteorus laphygmae was not found parasitizing the larvae of U. stellata at low-elevation sites.
There were significant differences in parasitism rates by M. laphygmae reported in the historical data at the three elevations studied (H =1725.8; p < 0.001). When results of the simulation analysis with current data from Hawaii at medium- and high-elevation sites were compared statistically, parasitism rates at high elevations were significantly higher than at medium-elevation sites (t = 4,978,341; p < 0.001). There was no significant difference between the results of the simulation analysis and the historical published parasitism data at low elevations, and the results of the simulation analysis with parasitism on U. stellata in Hawaii at high-elevation sites using current data (t = 3,808,532; p = 0.444). No significant differences were found between the results of the simulation with data from the literature at medium elevation and results with current data from Hawaii at medium elevations (t = 3,850,017; p = 0.886). Meteorus laphygmae can inflict as much parasitism on U. stellata as on its target hosts, but this parasitism occurs at altitudes where the target pest hosts are not present.
Based on published historical records, it would have been unlikely to predict that U. stellata would be in the physiological host range of M. laphygmae, since there was no indication that this species would attack hosts in the family Crambidae. It would have been possible to predict that this species would occur across a wide range of elevations. The expectation that M. laphygmae would inflict similar parasitism levels on a non-target species as on its preferred hosts in Hawaii did not hold valid: it would have been predicted that higher parasitism rates would be observed at low-elevation sites rather than medium and high elevations. No parasitism by M. laphygmae was detected at low elevations, but only at medium and mostly high elevations. As in the case of C. marginiventris, the target hosts of M. laphygmae in Hawaii such as Herpetogramma licarsisalis, S. mauritia (pests of turf grasses), S. exempta (a pest of sugar cane and grasses), and S. exigua (a common pest of cruciferous crops) predominate at low and medium elevations, which may suggest that the degree of non-target parasitism might be mediated by the availability of preferred hosts. Duan et al. [68] reported similar results from a different assemblage of parasitoids and hosts in Hawaii—the lantana gall fly (a purposely introduced biological control agent of a Lantana camara, and subsequently a non-target host species) was more heavily parasitized by the fruit fly parasitoid Dichasmimorpha tryoni in upland forest habitats rather than in low-land pastures and mid-elevation sugarcane fields.

2.1.3. Trathala flavoorbitalis

No host records could be obtained for T. flavoorbitalis from the native provenance prior to the year that it was first observed in Hawaii. There are reports on its hosts in its place of origin from later dates. Table 3 shows the recorded hosts in Hawaii.
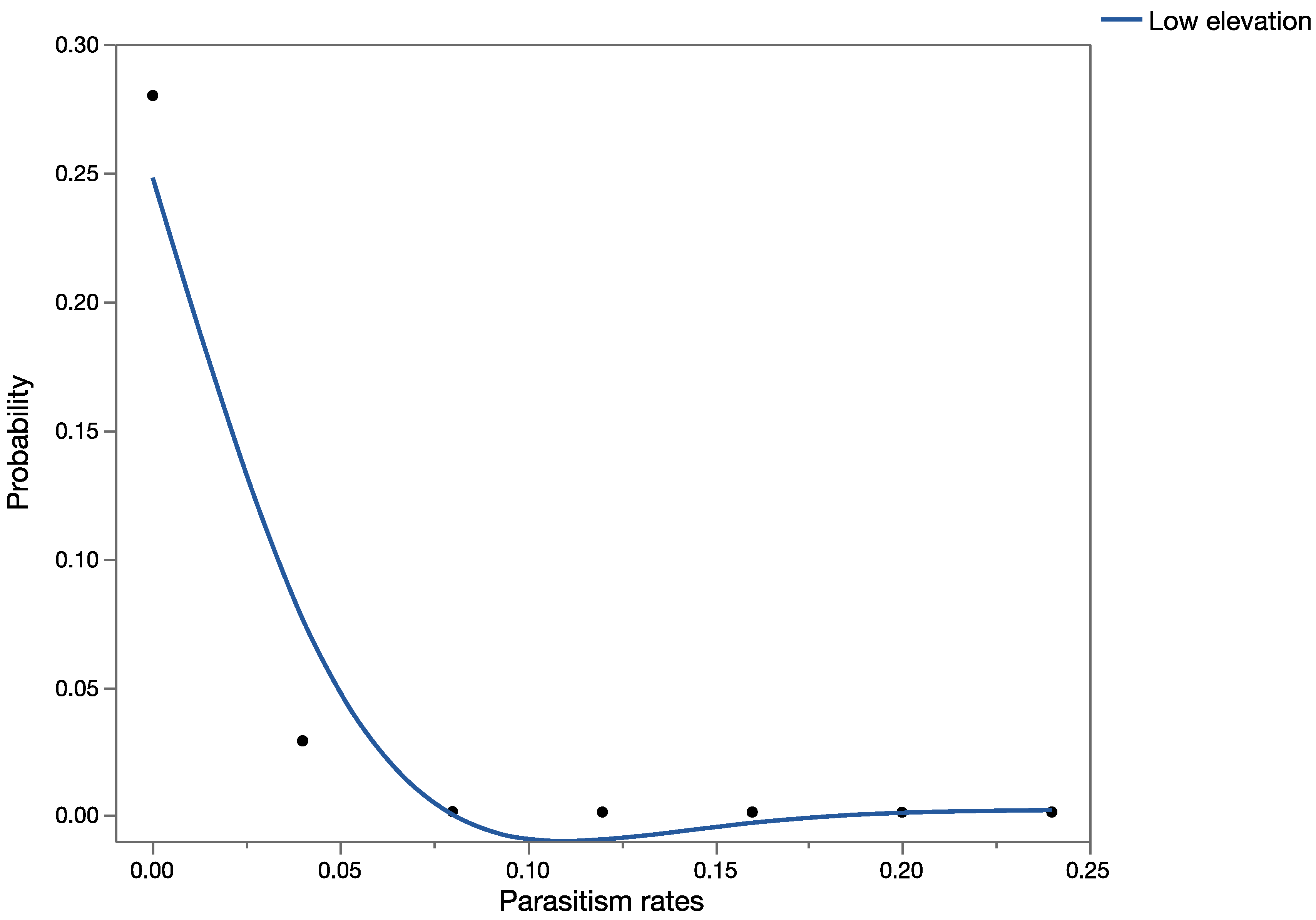
This species was found parasitizing U. stellata in Hawaii at low-, medium-, and high-elevation sites, in contrast with the historical literature, which only reports parasitism in low-elevation agricultural areas in the native range. The worst-case scenario assumed that this species would occupy U. stellata habitats and attack this non-target species at the same rates as its known target host, Antigastra catalaunalis (Lepidoptera: Crambidae), in India. Figure 7 shows the predictions of the probabilistic analysis using published historical data, at low-elevation sites. Figure 8 shows the results of the MC analyses with field parasitism rates of U. stellata at low-, medium-, and high-elevation sites in Hawaii. When results of the simulation analysis using published historical data at low elevations were compared statistically with the results of the simulation analysis using field data in Hawaii at low-elevation sites, field parasitism in Hawaii was significantly higher (t = 5,418,198.5; p < 0.001). When the results of the simulation analysis with retrospective data from Hawaii at three elevations were compared statistically using the Kruskal–Wallis ANOVA on ranks, significant differences were found (H = 2517.7; p < 0.001): parasitism rates at low and medium elevations were significantly higher than parasitism rates at high-elevation sites (p < 0.05).
Based on these comparisons, using published host records would have been inadequate to predict that T. flavoorbitalis would occur at medium and high elevations in Hawaii. Known target hosts from its area of distribution (Spoladea recurvalis and Herpetogramma licarsisalis) are also present at low elevations in Hawaii, yet significantly higher parasitism rates on U. stellata by T. flavoorbitalis occurred at low and medium elevations than at high elevations, which contrasts with the pattern seen with C. marginiventris and M. laphygmae. Perhaps this species performs better at lower elevations and/or the known hosts in the area of introduction are not preferred hosts.

2.2. Question 3: How Useful Are Estimates of Marginal Attack Rates versus Apparent Mortality (and Measures of Uncertainty in Both) in Conducting Probabilistic Risk Assessment?

No probability distributions could be built for C. marginiventris and M. laphygmae marginal attack rates since 17 of the 18 values based on actual field data were zero (Table 7). Figure 9 and Figure 10 show a graphical summary of the output of the Monte Carlo simulations for T. flavoorbitalis for marginal attach rates and apparent mortality, respectively. The range of apparent mortality rates varied from zero to 59%, whereas the range of possible outcomes using marginal attack rate ranged from zero to 15%. Results of the Mann–Whitney Rank Sum Test showed that there were significant statistical differences (t = 1,960,261; p < 0.001) in the outputs of the simulation analysis using the apparent mortality and marginal mortality datasets. Simulations using apparent mortality significantly increased the estimates of risk. Results of the MC analyses with apparent mortality data were still significantly higher than the results with marginal mortality data when a second uncertainty factor (representing ‘spatial overlap’) was added to the analysis (p < 0.0001; using sets 3, 4, and 10 in Table 6). Figure 10 shows the range of all possible values for T. flavoorbitalis apparent mortality, specifically indicating a 28.21% probability that values of apparent mortality will fall above 40%, the approximate threshold value for a natural enemy to exert control on a population [69].
The use of marginal attack rates derived from life table studies should be encouraged whenever possible as they provide a more realistic estimate of the non-target risk, because they indicate the level of generational mortality, whereas apparent mortality does not have population impact context and can potentially overestimate or underestimate the actual level of mortality in situations where susceptible stages are over- or under-sampled [70,71,72].

2.3. Question 4: Are There Any Key Ecological Variables That Would Be Worth Considering in the Hypothetical Case that Any of the Species Might Be Considered for Introduction in Another Place, or Are Worth Considering in Any Risk Assessment?

Environmental context clearly influenced the level of parasitism of U. stellata in this study system. Results of this work, and previous papers, have shown that the parasitism incurred by U. stellata is different at low, medium, and high elevations. In the case of T. flavorbitalis, parasitism rates on U. stellata at low- and medium-elevation sites were significantly higher than at high-elevation sites. Parasitism of U. stellata by C. marginiventris and M. laphygmae was significantly higher at high elevations than at medium or low elevations. If non-target species of interest occur in multiple habitats or across a wide range of environmental conditions, such as elevation and level of disturbance by alien plants [36], knowledge of parasitism under those conditions should be incorporated in the PRA.
Even though it has been shown that non-target parasitism varies between habitats [32,72,73,74], most risk assessment studies place emphasis on assessing the host range or level of non-target parasitism, but not on assessing how habitat and/or environmental/ecological gradients may mediate those levels of non-target parasitism. By incorporating spatial and ecological context in risk assessment, it may be possible to identify habitats that are likely to be at higher risk of adverse effects, and use that information for regulatory decisions. For example, if parasitism rates on a non-target species are expected to occur, or be above an acceptable level in habitats in conservation areas, the introduction of the BC agent might not be justified. Conversely, if non-target parasitism is expected in areas that do not have conservation priority, like highly degraded habitat invaded by alien plants, the decision might depend on the level of confidence that parasitism levels will be below a certain acceptable level (which will not cause an impact at the population level). Results from this type of risk assessment can also provide a foundation for the establishment of possible management programs. For example, when considering augmentative biological control agents, depending on the habitat and the expected level of parasitism there, it could be possible to restrict releases to areas that have low predicted levels of risk. Furthermore, by incorporating data centered on seasonal effects, it could be possible to plan augmentative releases at times in the year when they pose lower levels of risk to non-target species.
Another component that likely influenced the degree of non-target host use in this study system was the availability of preferred hosts. In the case of oligophagous or polyphagous species, the presence of preferred and/or alternative hosts can play an important role in the level of non-target attack [75,76,77]. Cotesia marginiventris and M. laphygmae can occur in a wide range of ecological conditions [58,78]; nevertheless, their association with U. stellata is mainly in less disturbed, high-altitude sites in Hawaii, which are dominated by native species. The fact that they are associated with U. stellata at high-altitude sites does not necessarily mean that they prefer those habitats, but perhaps that at those sites they exploit endemic non-target species due to the absence of their preferred hosts. It is therefore important to not only describe the environment that the biocontrol candidate and non-target species inhabit, but also the environment that the target hosts will inhabit in the area of introduction, since BC agents can disperse beyond the habitats of the target hosts [31].

3. General Discussion

The major advantage of the PRA framework is that it can be designed to consider effects to non-target species at a spatial scale and takes uncertainty in datasets into consideration, and thus evaluates the risks posed by new introductions in a more ecologically meaningful way than procedures that rely on single-point (typically mean) estimates of parasitism, and that do not take spatial variability into account. Single point estimates ignore variation in a dataset, and provide a false sense of precision that leads to what is called “analysis paralysis” [60]. More realistic and meaningful procedures are not always the simplest to apply, though. PRA will require more data than other proposed and current approaches for assessing non-target risks [24,25], and these data may not always be available for researchers and decision makers. It is not necessary to use probability distributions for all input variables in a PRA, but the effectiveness and robustness of risk estimates is increased if one does use them. A precise and realistic model will necessarily be limited to a few applications, whereas a very general approach applicable to many situations will almost certainly be limited in precision.
Not all non-target species are affected equally, and the same non-target species may not be affected equally under different environmental conditions [32,73]. Comprehensive risk assessment requires a wide-ranging understanding of the ecology of the biological control agent, as well as the ecology of the target and non-target species [78,79]. Observations on the ecology of the biocontrol agent in other areas of introduction and the area of origin, and how parasitism rates vary in those areas under different environmental/ecological conditions, can provide useful baseline information for predictions made for new locations.
Biological control practitioners and regulators prefer the release of agents with narrow host ranges [77]. Nevertheless, when faced with situations where agents have great potential to control the target pest but may attack some native and beneficial species, careful characterization of the risk should be done to estimate the relative impact of the proposed introduction on populations of the non-target hosts and weighted against the potential benefits [80,81]. In those situations PRA could be a tool for better decision-making. Some retrospective studies on polyphagous biocontrol species have shown that they cause minimal impact on the non-target species, underscoring the importance of carefully estimating population-level impacts [82,83]. It would be valuable to weigh the environmental benefits attributable to those releases that pose some level of risk, to determine if the non-target parasitism on endemic species, even if minimal, was justified. Additive negative impacts such as habitat destruction and mortality from multiple sources may result in even minimal non-target mortality becoming important; therefore, it is also important to assess the possible impacts of biocontrol introductions in relation to other current sources of mortality [73].

4. Conclusions

Forecasts from risk assessment analysis may be used to make decisions to either accept or reject a proposed biocontrol introduction. As far as possible, quantitative methods that incorporate measures of uncertainty should be chosen. Consideration of the uncertainty in probabilistic analysis can be used to set standards based on the probability that the threshold for unacceptable effects will be exceeded [84], and therefore not only provides information for the risk characterization phase but can play an important role in a risk-benefit analysis phase.
Not all proposed introductions would need PRA; clearly safe BC agents—such as those that demonstrate no non-target attack in screening trials—will not require such an assessment. The environmental risk assessment proposed by van Lenteren et al. [24,25] can be used as a first step to encourage the screening of safe biological control agents to all potential non-target species using pre-determined qualitative and quantitative rankings. When promising BC agents are found to attack non-target species, PRA has the potential to provide an effective means to characterize the risk to selected non-target species of concern, which can be used to estimate the degree of confidence that a certain level of non-target effects will not be exceeded, and could further be implemented in risk-benefit analysis. Non-target effects from biological control introductions are not desirable, but if minimal (not causing a significant impact at the population level) effects are predicted with high levels of confidence, the decision to accept or reject a BC agent can be knowledge-driven rather than fear-based [77].

Supplementary Materials

The supplementary materials are available online at https://www.mdpi.com/2075-4450/8/3/67/s1.

Acknowledgments

This work was funded by a USDA-TSTAR grant, and by the USDA National Institute of Food and Agriculture, Hatch project HAW919-H, managed by the College of Tropical Agriculture and Human Resources, University of Hawaii. Three anonymous reviewers made very helpful comments that improved this manuscript significantly.

Author Contributions

Both authors contributed to the development of the conceptual aspects of this paper, collection of field data, analysis, and synthesis. This work was part of a Ph.D. dissertation submitted by Leyla V. Kaufman.

Conflicts of Interest

The authors declare no conflicts of interest.

References

  1. Mack, R.N.; Simberloff, D.; Mark Lonsdale, W.M.; Evans, H.; Clout, M.; Bazza, F.A. Biotic Invasions: Causes, Epidemiology, Global Consequences, and Control. Ecol. Appl. 2000, 10, 689–710. [Google Scholar] [CrossRef]
  2. Pimentel, D. Environmental and economic costs of the application of pesticides, primarily in the United States. Environ. Dev. Sustain. 2005, 7, 229–252. [Google Scholar] [CrossRef]
  3. Hoddle, M.S. Restoring balance: Using exotic natural enemies to control invasive exotic species. Conserv. Biol. 2004, 18, 38–49. [Google Scholar] [CrossRef]
  4. Messing, R.H.; Wright, M.G. Biological control of invasive species: Solution or pollution. Front. Ecol. Environ. 2006, 4, 132–140. [Google Scholar] [CrossRef]
  5. Blumenthal, D. Interrelated Causes of Plant Invasion. Science 2005, 310, 243–244. [Google Scholar] [CrossRef] [PubMed]
  6. Caltagirone, L.E. Landmark examples in classical biological control. Ann. Rev. Entomol. 1981, 26, 213–232. [Google Scholar] [CrossRef]
  7. Van Driesche, R.; Hoddle, M.; Center, T. Control of Pests and Weeds by Natural Enemies: An Introduction to Biological Control; Wiley-Blackwell Publishing: Oxford, UK, 2008; p. 484. [Google Scholar]
  8. Van den Bosch, R.; Messenger, P.S. Biological Control; Intext Educational Publishers: New York, NY, USA, 1973; p. 180. [Google Scholar]
  9. DeBach, P. Biological Control by Natural Enemies; Cambridge University Press: London, UK, 1974. [Google Scholar]
  10. Caltagirone, L.E.; Huffaker, C.B. Benefits and risks of using predators and parasites for controlling pests. Ecol. Bull. 1980, 31, 103–109. [Google Scholar]
  11. Simmonds, F.J.; Bennett, F.D. Biological Control of Agricultural Pests; Proceedings of the XV International Congress in Entomology: Washington, DC, USA, 1977; pp. 464–472. [Google Scholar]
  12. Perkins, R.C.L. The introduction of beneficial insects into the Hawaiian Islands. Nature 1897, 55, 499–500. [Google Scholar] [CrossRef]
  13. Howarth, F.G. Classical biocontrol: Panacea or Pandora’s box? Proc. Hawaii. Entomol. Soc. 1983, 24, 239–244. [Google Scholar]
  14. Howarth, F.G. Environmental impacts of classical biological control. Ann. Rev. Entomol. 1991, 36, 485–509. [Google Scholar] [CrossRef]
  15. Ehler, L.E. Critical issues related to nontarget effects in classical biological control of insects. In Nontarget Effects of Biological Control; Follett, P.A., Duan, J.J., Eds.; Kluwer Academic Publishers: Boston, MA, USA; Dordrecht, The Netherlands; London, UK, 1999; pp. 3–13. [Google Scholar]
  16. Asquith, A.; Miramontes, E. Alien parasitoids in native forests: The Ichneumonidae wasp community in a Hawaiian rainforest. In Balancing Nature: Assessing the Impact of Importing Non-Native Biological Control Agents (An International Perspective); Lockwood, J., Howarth, F., Purcell, M., Eds.; Thomas Say Publications, Entomological Society of America: Lanham, MD, USA, 2001. [Google Scholar]
  17. Boettner, G.H.; Elkington, J.S.; Boettner, C.J. Effects of a biological control introduction on three nontarget native species of Saturniid moths. Conserv. Biol. 2000, 14, 1798–1806. [Google Scholar] [CrossRef]
  18. Evans, E.W.; England, S. Indirect interactions in biological control of insects: Pests and natural enemies in alfalfa. Ecol. Appl. 1996, 6, 920–930. [Google Scholar] [CrossRef]
  19. Messing, R.H. The impact of nontarget concerns on the practice of biological control. In Nontarget Effects of Biological Control; Follett, P.A., Duan, J.J., Eds.; Kluwer Cadademic Publishers: Norwell, MA, USA, 1999; pp. 45–55. [Google Scholar]
  20. Barratt, B.I.P.; Evans, A.A.; Ferguson, C.M.; Barker, G.M.; McNiell, M.R.; Phillips, C.B. Laboratory non-target host range of the introduced parasitoids Microctonus aethiopodes and Microctonus hyperodae (Hymenoptera: Braconidae) compared with field parasitism in New Zealand. Environ. Entomol. 1997, 26, 694–702. [Google Scholar] [CrossRef]
  21. Sands, D.P.A. Guidelines for testing host specificity of agents for biological control of arthropod pests. In Sixth Australasian Applied Entomological Research Conference 29 September–2 October 1998, Pest Management–Future Challenges; University of Queensland: Brisbane, Australia, 1998; pp. 556–560. [Google Scholar]
  22. Kuhlmann, U.; Mason, P.G. Use of field hosts range surveys for selecting candidate non-target species for physiological host specificity testing on entomophagous biological control agents. In Proceedings of the 1st International Symposium on Biological Control of Arthropods, Honolulu, Hawaii; Van Driesche, R.G., Ed.; USDA, Forest Service: Morgantown, WV, USA, 2003; pp. 370–377. [Google Scholar]
  23. Messing, R.H. Centrifugal phylogeny as a basis for non-target host testing in biological control: Is it relevant for parasitoids? Phytoparasitica 2001, 29, 187–189. [Google Scholar] [CrossRef]
  24. Van Lenteren, J.C.; Babendreier, D.; Bigler, F.; Burgio, G.; Hokkanen, H.T.M.; Kiske, S.; Loomans, A.J.M.; Menzler-Hokkanen, I.; Van Rijn, P.C.J.; et al. Environmental risk assessment of exotic natural enemies used in inundative biological control. Biol. Control 2003, 48, 3–38. [Google Scholar]
  25. Van Lenteren, J.C.; Bale, J.; Bigler, F.; Hokkanen, H.M.T.; Loomans, A.J.M. Assessing risks of releasing exotic biological control agents of arthropod pests. Ann. Rev. Entomol. 2006, 51, 609–634. [Google Scholar] [CrossRef] [PubMed]
  26. Van Lenteren, J.C.; Loomans, A.J.M. Environmental risk assessment: Methods for comprehensive evaluation and quick scan. In Environmental Impact of Invertebrates for Biological Control of Arthropods: Methods and Risk Assessment; Bigler, E., Babendreier, D., Kuhlmann, U., Eds.; CABI Publishing: Wallingford, Oxon, UK, 2006; pp. 254–272. [Google Scholar]
  27. Wright, M.G.; Hoffmann, M.P.; Kuhar, T.P.; Gardner, J.; Pitcher, S.A. Evaluating risks of biological control introductions: A probabilistic risk-assessment approach. Biol. Control 2005, 35, 338–347. [Google Scholar] [CrossRef]
  28. Follett, P. Nontarget Effects of Biological Control; Follett, P.A., Duan, J.J., Eds.; Kluwer Adademic Publishers: Boston MA, USA, 2000; pp. 77–93. [Google Scholar]
  29. Le Corff, J.; Marquis, R.J.; Whitfield, J.B. Temporal and spatial variation in a parasitoid community associated with the herbivores that feed on Missouri Quercus. Environ. Entomol. 2000, 29, 181–194. [Google Scholar] [CrossRef]
  30. Stiling, P.; Simberloff, D. The frequency and strength of non-target effects of invertebrate biological control agents of plant pests and weeds. In Non-Target Effects of Biological Control; Follett, P.A., Duan, J.J., Eds.; Kluwer Academic Publishers: Boston, MA, USA, 2000; pp. 31–43. [Google Scholar]
  31. Johnson, M.T.; Follett, P.A.; Taylor, A.D.; Jones, V.P. Impacts of biological control and invasive species on a non-target native Hawaiian insect. Oecologia 2005, 142, 529–540. [Google Scholar] [CrossRef] [PubMed]
  32. Barratt, B.I.P.; Ferguson, C.M.; Bixley, A.S.; Crook, K.E.; Barton, D.M.; Johnstone, P.D. Field parasitism of nontarget weevil species (Coleoptera: Curculionidae) by the introduced biological control agent Microctonus aethiopoides Loan (Hymenoptera: Braconidae). Environ. Entomol. 2007, 36, 826–839. [Google Scholar] [CrossRef] [PubMed]
  33. Kaufman, L.V.; Wright, M.G. Life history, seasonal phenology and parasitism of the Hawaiian endemic moth Udea stellata (Lepidoptera: Crambidae). Ann. Entomol. Soc. Am. 2009, 102, 104–111. [Google Scholar] [CrossRef]
  34. Kaufman, L.V.; Wright, M.G. The impact of exotic parasitoids on populations of a native Hawaiian moth assessed using life table studies. Oecologia 2009, 159, 295–304. [Google Scholar] [CrossRef] [PubMed]
  35. Kaufman, L.V.; Wright, M.G. Parasitism of a Hawaiian endemic moth by invasive and purposefully introduced Hymenoptera species. Environ. Entomol. 2010, 39, 430–439. [Google Scholar] [CrossRef] [PubMed]
  36. Kaufman, L.V.; Wright, M.G. Ecological correlates of the non-indigenous parasitoid assemblage associated with a Hawaiian endemic moth. Oecologia 2011, 166, 1087–1098. [Google Scholar] [CrossRef] [PubMed]
  37. Thompson, W.R. A Catalogue of the Parasites and Predators of Insect Pests. Section 2, Host Parasite Catalogue. Part 2, Hosts of Hymenoptera (Agaonidae to Braconidae); Commonwealth Institute of Biological Control: Ottawa, ON, Canada, 1953. [Google Scholar]
  38. Thompson, W.R. A Catalogue of the Parasites and Predators of Insect Pests. Section 2, Host Parasite Catalogue. Part 4, Hosts of Hymenoptera (Ichneumonidae); Commonwealth Institute of Biological Control: Ottawa, ON, Canada, 1957. [Google Scholar]
  39. De Nardo, E.A.B.; Hopper, K.R. Using the literature to evaluate parasitoid host ranges: A case study of Macrocentrus grandii (Hymenoptera: Braconidae) introduced into North America to control Ostrinia nubilalis (Lepidoptera: Crambidae). Biol. Control 2004, 31, 280–295. [Google Scholar] [CrossRef]
  40. Sands, D.P.A.; Van Driesche, R.G. Using the scientific literature to estimate the host range of a biological control agent. In Assessing Host Ranges for Parasitoids and Predators Used for Classical Biological Control: A Guide to Best Practice; Van Dreische, R.G., Reardon, R., Eds.; USDA Forest Health Technology Enterprise Team: Morgantown, WV, USA, 2004; pp. 15–23. [Google Scholar]
  41. Zimmerman, E.C. Insects of Hawaii; Pyraloidea; University of Hawaii Press: Honolulu, HI, USA, 1958; Volume 8. [Google Scholar]
  42. Nishida, G.M. Hawaiian Terrestrial Arthropod Checklist, 4th ed.; Technical Report 22; B.P. Bishop Museum: Honolulu, HI, USA, 2002. [Google Scholar]
  43. Muesbeck, C.F.W. A revision of the North American species of Ichneumon-flies belonging to the genus Apanteles. US Natl. Mus. Proc. 1921, 58, 483–576. [Google Scholar] [CrossRef]
  44. Boling, J.C.; Pitre, H.N. Life history of Apanteles marginiventris with descriptions of immature stages. J. Kans. Entomol. Soc. 1970, 43, 465–470. [Google Scholar]
  45. Bianchi, F.A. The recent introduction of armyworm parasites from Texas. Hawaii. Plant. Rec. 1944, 48, 203–212. [Google Scholar]
  46. Pemberton, C.E. History of the Entomology Department, Experimental Station, Hawaiian Sugar Planters’ Association. Hawaii. Plant. Rec. 1948, 52, 53–90. [Google Scholar]
  47. Pemberton, C.E. The control of the grass armyworm Spodoptera (Laphygma) exempta (Walker) by parasites. Hawaii. Plant. Rec. 1948, 52, 181–200. [Google Scholar]
  48. Funasaki, G.Y.; Lai, P.; Nakahara, L.M.; Beardsley, J.W.; Ota, A. A review of biological control introductions in Hawaii: 1890 to 1998. Proc. Hawaii. Entomol. Soc. 1981, 28, 105–160. [Google Scholar]
  49. Henneman, M.L.; Memmott, J. Infiltration of a Hawaiian community by introduced biological control agents. Science 2001, 293, 1314–1316. [Google Scholar] [CrossRef] [PubMed]
  50. Fernández, R.I.; Terán, J.B. Biología de Meteorus laphygmae Viereck (Hymenoptera: Braconidae). Parte II: Adulto, partenogenesis e interrelaciones parásito-hospedero. Rev. Fac. Agron. 1990, 16, 199–206. [Google Scholar]
  51. Ortegón, J.; Torres, C.; Luque, E.; Siabatto, A. Estudio sobre la longevidad, hábitos, progenie y evaluación preliminar de Meteorus laphygmae (Viereck), parásito de Spodoptera spp. Rev. Colomb. Entomol. 1988, 14, 7–12. [Google Scholar]
  52. CABI. Crop Compendium. Available online: http://www.cabi.org/cpc/search/?q=Crop+Protection+Compendium%2c+CAB+International+2006 (accessed on 30 July 2006).
  53. Sandanayake, W.R.; Edirisinghe, J.P. Aspects of reproductive biology of Trathala flavoorbitalis (Cam.): A parasitoid of Leucidones orbonales (Guen). Entomon 1993, 17, 159–168. [Google Scholar]
  54. Swezey, O.H. Insects occurring on plants of Lobelioidae in the Hawaiian Islands. Proc. Hawaii. Entomol. Soc. 1919, 4, 9–15. [Google Scholar]
  55. Swezey, O.H. The hosts of Cremastus hymenae Viereck in Hawaii. Proc. Hawai. Entomol. Soc. 1929, 7, 281–282. [Google Scholar]
  56. Alvarado-Rodriguez, B. Parasites and disease associated with larvae of beet armyworm Spodoptera exigua (Lepidoptera: Noctuidae). Fla. Entomol. 1987, 70, 444–449. [Google Scholar] [CrossRef]
  57. Karla, V.K. Natural parasitism of sesame leaf webber and pod borer, Antigastra catalaunalis Duponchel. Indian J. Plant Prot. 1989, 17, 9–11. [Google Scholar]
  58. Molina-Ochoa, J.; Carpenter, J.E.; Lezama-Gutiérrez, R.; Foster, J.E.; González-Ramírez, M.; Andres Angel-Sahagún, C.A.; Farías-larios, J. Natural Distribution of Hymenopteran Parasitoids of Spodoptera frugiperda (Lepidoptera: Noctuidae) larvae in Mexico. Fla. Entomol. 2004, 87, 461–472. [Google Scholar] [CrossRef]
  59. Tandon, P.L.; Lal, B. Natural enemies of Til leafroller and capsuleborer, Antigastra catalaunalis (Dup.). Bull. Entomol. 1983, 24, 147–148. [Google Scholar]
  60. Decisionneering. Crystal Ball Risk Analysis Software. Available online: www.decisioneering.com (accessed on 9 January 2005).
  61. Jones, T.H.; Wolcott, G.N. The caterpillars which eat the leaves of sugar cane in Porto Rico. J. Dep. Agric. P. R. 1922, 6, 38–50. [Google Scholar]
  62. Poost, F.W. A new pest of spinach in Virginia. Preliminary report. Bull. Va. Truck Exp. Stn. 1927, 56, 491–497. [Google Scholar]
  63. Wilson, J.W. Notes on the biology of Laphygma exigua Huebner. Fla. Entomol. 1932, 16, 33–39. [Google Scholar] [CrossRef]
  64. Luginbill, P. The Fall Armyworm. Tech. Bull. U. S. Dept. Agric. 1928, 34, 91. [Google Scholar]
  65. Blanchard, R.A.; Conger, C.B. Notes on Prodenia praefica. J. Econ. Entomol. 1932, 25, 1059–1070. [Google Scholar] [CrossRef]
  66. Ball, E.D.; Reeves, J.A.; Boyden, B.L.; Stone, W.E. Biological and Ecological Factors in the Control of the Celery Leaf-Tyer in Florida; Technical Bulletin of the US Department of Agriculture 463; USDA, 1935; p. 55.
  67. Vickery, R.A. Notes on three species of Heliophila, which injure cereal and forage crops at Brownsville, Texas. J. Econ. Entomol. 1915, 3, 389–392. [Google Scholar] [CrossRef]
  68. Duan, J.J.; Purcell, M.F.; Messing, R.H. Association of the opiine parasitoid Diachasmimorpha tryoni (Hymenoptera: Braconidae) with the lantana gall fly (Diptera: Tephritidae) on Kauai. Environ. Entomol. 1998, 27, 419–426. [Google Scholar] [CrossRef]
  69. Hawkins, B.A.; Cornell, H.V. Maximum parasitism rates and successful biological control. Science 1994, 266, 1886. [Google Scholar] [CrossRef] [PubMed]
  70. Simmonds, F.J. Some difficulties in determining by means of field samples the true value of parasitic control. Bull. Entomol. Res. 1949, 39, 435–440. [Google Scholar] [CrossRef]
  71. Van Driesche, R.G. Meaning of “percent parasitism” in studies of insect parasitoids. Environ. Entomol. 1983, 12, 1611–1622. [Google Scholar] [CrossRef]
  72. Van Driesche, R.G.; Bellows, T.S.; Elkinton, J.S.; Gould, J.R.; Ferro, D.N. The meaning of percentage parasitism revisited: Solutions to the problem of accurately estimating total losses from parasitism. Environ. Entomol. 1991, 20, 1–7. [Google Scholar] [CrossRef]
  73. Benson, J.; Pasquale, A.; Van Driesche, R.; Elkinton, J. Assessment of risk posed by introduced braconid wasps to Pieris virginiventris, a native woodland butterfly in New England. Biol. Control 2003, 26, 83–93. [Google Scholar] [CrossRef]
  74. Follett, P.A.; Duan, J.; Messing, R.H.; Jones, V.P. Parasitoid drift after biocontrol introductions: Re-examining Pandora’s box. Am. Entomol. 2000, 46, 82–94. [Google Scholar] [CrossRef]
  75. Oboyski, P.T.; Slotterback, J.W.; Banko, P.C. Differential parasitism of seed-feeding Cydia (Lepidoptera: Tortricidae) by native and alien wasp species relative to elevation in subalpine Sophora (Fabaceae) forests on Mauna Kea, Hawaii. J. Insect Conserv. 2004, 8, 229–240. [Google Scholar] [CrossRef]
  76. Briese, D.T.; Zapater, M.; Adorno, A.; Perez-Camargo, G. A two-phase open-field test to evaluate host specificity of candidate biological control agents for Heliotropium amplexicaule. Biol. Control 2002, 25, 273–287. [Google Scholar] [CrossRef]
  77. Briese, D.T. Translating host-specificity test results into the real-world: The need to harmonize the yin and yan of current testing procedures. Biol. Control 2005, 35, 208–214. [Google Scholar] [CrossRef]
  78. Louda, S.M.; Arnett, A.E.; Rand, T.A.; Russell, F.L. Invasiveness of some biological control insects and adequacy of their ecological risk assessment and regulation. Conserv. Biol. 2003, 17, 73–82. [Google Scholar] [CrossRef]
  79. Peck, R.W.; Banko, P.C.; Schwarzfeld, M.; Euaparadorn, M.; Brink, K.W. Alien dominance of the parasitoid wasp community along an elevation gradient on Hawaii Island. Biol. Invasion 2008, 10, 1441–1455. [Google Scholar] [CrossRef]
  80. Louda, S.M.; Pemberton, R.W.; Johnson, M.T.; Follett, P.A. Nontarget effects—The Achilles’ Heel of biological control? Retrospective analyses to reduce risk associated with biocontrol introductions. Ann. Rev. Entomol. 2003, 48, 365–396. [Google Scholar] [CrossRef] [PubMed]
  81. Delfosse, E.S. Risk and ethics in biological control. Biol. Control 2005, 35, 319–329. [Google Scholar] [CrossRef]
  82. Jetter, K. Economic framework for decision making in biological control. Biol. Control 2005, 35, 348–357. [Google Scholar] [CrossRef]
  83. Barron, M.C.; Wratten, S.D.; Barlow, N.D. Non-target parasitism of the endemic New Zealand red admiral butterfly (Bassaris gonerilla) by the introduced biological control agent Pteromalus puparium. Biol. Control 2003, 27, 329–335. [Google Scholar] [CrossRef]
  84. Suter, G.W., II. Ecological Risk Assessment; Lewis Publishers: Boca Raton, FL, USA, 1993; p. 538. [Google Scholar]
Figure 1. Conceptual precision tree. Circles contain contingencies (spatial overlap, temporal overlap, and effects); the probability of each occurring is given in connecting lines. The overall probability of each outcome is estimated by multiplying the p values along each branch.
Figure 1. Conceptual precision tree. Circles contain contingencies (spatial overlap, temporal overlap, and effects); the probability of each occurring is given in connecting lines. The overall probability of each outcome is estimated by multiplying the p values along each branch.
Insects 08 00067 g001
Figure 2. General precision tree for worst-case scenario outcomes in terms of non-target impact in Hawaii. P1 represents the probability of spatial overlap, P2 represents the probability of temporal overlap, and P3 represents the probability distribution of all possible outcomes for parasitism (effects on a non-target species). P1, P1’ and P2” refer to p-values associated with each initial dispersal option.
Figure 2. General precision tree for worst-case scenario outcomes in terms of non-target impact in Hawaii. P1 represents the probability of spatial overlap, P2 represents the probability of temporal overlap, and P3 represents the probability distribution of all possible outcomes for parasitism (effects on a non-target species). P1, P1’ and P2” refer to p-values associated with each initial dispersal option.
Insects 08 00067 g002
Figure 3. Overlay chart showing forecast of expected parasitism rates (proportion on x-axis) for C. marginiventris at low-, medium-, and high-elevation sites using early published data (Table 6).
Figure 3. Overlay chart showing forecast of expected parasitism rates (proportion on x-axis) for C. marginiventris at low-, medium-, and high-elevation sites using early published data (Table 6).
Insects 08 00067 g003
Figure 4. Forecast of all possible parasitism rates (as proportion on the x-axis) for C. marginiventris at high-elevation sites using field-collected data from retrospective studies in Hawaii.
Figure 4. Forecast of all possible parasitism rates (as proportion on the x-axis) for C. marginiventris at high-elevation sites using field-collected data from retrospective studies in Hawaii.
Insects 08 00067 g004
Figure 5. Overlay chart showing a forecast of all possible parasitism rates (as a proportion on the x-axis) for M. laphygmae at low-, medium-, and high-elevation sites using published data.
Figure 5. Overlay chart showing a forecast of all possible parasitism rates (as a proportion on the x-axis) for M. laphygmae at low-, medium-, and high-elevation sites using published data.
Insects 08 00067 g005
Figure 6. Overlay chart showing a forecast of all possible parasitism levels (as proportion on the x-axis) for M. laphygmae at medium- and high-elevation sites using field-collected data from Hawaii.
Figure 6. Overlay chart showing a forecast of all possible parasitism levels (as proportion on the x-axis) for M. laphygmae at medium- and high-elevation sites using field-collected data from Hawaii.
Insects 08 00067 g006
Figure 7. Forecast of all possible parasitism rates (as a proportion on the x-axis) for T. flavoorbitalis at low-elevation sites using published data.
Figure 7. Forecast of all possible parasitism rates (as a proportion on the x-axis) for T. flavoorbitalis at low-elevation sites using published data.
Insects 08 00067 g007
Figure 8. Overlay chart, showing forecast of all possible parasitism rates (as a proportion on the x-axis) for T. flavoorbitalis at low-, medium-, and high-elevation sites using data from retrospective studies in Hawaii.
Figure 8. Overlay chart, showing forecast of all possible parasitism rates (as a proportion on the x-axis) for T. flavoorbitalis at low-, medium-, and high-elevation sites using data from retrospective studies in Hawaii.
Insects 08 00067 g008
Figure 9. Overlay chart showing the probability distributions of marginal attack rate and apparent mortality (expressed as proportions on x-axis) for T. flavoorbitalis.
Figure 9. Overlay chart showing the probability distributions of marginal attack rate and apparent mortality (expressed as proportions on x-axis) for T. flavoorbitalis.
Insects 08 00067 g009
Figure 10. Distribution of all possible values of apparent mortality rate for T. flavoorbitalis, specifically indicating a 28.21% probability that expected parasitism values will rise above 0.40.
Figure 10. Distribution of all possible values of apparent mortality rate for T. flavoorbitalis, specifically indicating a 28.21% probability that expected parasitism values will rise above 0.40.
Insects 08 00067 g010
Table 1. List of known hosts of C. marginiventris in Hawaii (adventive = accidental introduction).
Table 1. List of known hosts of C. marginiventris in Hawaii (adventive = accidental introduction).
SpeciesFamilyOriginReference
Agrotis hephaestaea (Meyrick)NoctuidaeEndemic[49]
Ethmia nigroapicella (Saalmuller)OecophoridaeAdventive[48]
Eudonia sp.CrambidaeEndemic[49]
Eupithecia monticolens ButlerGeometridaeEndemic[49]
Fletcherana leucoxyla MeyrickGeometridaeEndemic[49]
Haliophyle euclidias MeyrickNoctuidaeEndemic[49]
Scotorythra arboricolans ButlerGeometridaeEndemic[49]
Scotorytorythra caryopis MeyrickGeometridaeEndemic[48]
Scotorythra hecataea MeyrickGeometridaeEndemic[49]
Scotorythra pauludicola (Butler)GeometridaeEndemic[48]
Scotorythra rara ButlerGeometridaeEndemic[49]
Scotorythra trapezias MeyrickGeometridaeEndemic[48]
Scotorythra spp.GeometridaeEndemic[49]
Spodalea recurvalis (Fabricius)CrambidaeAdventive[48]
Pseudaletia unipuncta (Haworth)NoctuidaeAdventive[48]
Spodoptera exempta (Walker)NoctuidaeAdventive *[48]
Spodoptera mauritia (Boisduval)NoctuidaeAdventive[48]
Spheretista pleonectes WalsinghamTortricidaeEndemic[49]
Udea stellata (Butler)CrambidaeEndemic[33]
* Target host.
Table 2. List of known hosts of M. laphygmae in Hawaii (adventive = accidental introduction, Introduced = purposely introduced).
Table 2. List of known hosts of M. laphygmae in Hawaii (adventive = accidental introduction, Introduced = purposely introduced).
SpeciesFamilyOriginReference
Agraulis vanillae (Linnaeus)NymphalidaeAdventive[49]
Agrotis hephaestaea (Meyrick)NoctuidaeEndemic[48]
Agrotis ipsilon (Hufnagel)NoctuidaeAdventive *[49]
Amorbia emigratella BusckTortricidaeAdventive[49]
Amyna natalis (Walker)NoctuidaeAdventive[49]
Autegumia ebulealis GueneeCrambidaeIntroduced[49]
Elaphria nucicolora (Guenee)NoctuidaeAdventive[49]
Eudonia sp.CrambidaeEndemic[49]
Eupithecia monticolens ButlerGeometridaeEndemic[49]
Fletcherana leucoxyla MeyrickGeometridaeEndemic[49]
Haliophyle euclidias MeyrickNoctuidaeEndemic[49]
Helicoverpa zea (Boddie)NoctuidaeAdventive[48]
Herpetogramma licarsisalis (Walker)CrambidaeAdventive[48]
Melipotis indomita (Walker)NoctuidaeAdventive[48]
Omiodes accepta (Butler)CrambidaeEndemic[48]
Rynchopalpus brunellus HampsonNoctuidaeIntroduced[48]
Scotorythra spp.GeometridaeEndemic[49]
Scotorythra apicalis SwezeyGeometridaeEndemic[49]
Scotorythra hecataea MeyrickGeometridaeEndemic[49]
Scotorythra ortharcha MeyrickGeometridaeEndemic[49]
Scotorythra rara ButlerGeometridaeEndemic[49]
Scotorythra paludicola (Butler)GeometridaeEndemic[48]
Scotorythra trapezias (Meyrick)GeometridaeEndemic[48]
Spodoptera exempta (Walker)NoctuidaeAdventive *[48]
Spodoptera exigua (Hubner)NoctuidaeAdventive *[48]
Spodoptera mauritia (Boisduval)NoctuidaeAdventive *[48]
Thyracopa spp.OecophoridaeEndemic[49]
Udea stellata (Butler)CrambidaeEndemic[48]
Udea pyranthes (Meyrick)CrambidaeEndemic[49]
* Target host.
Table 3. List of known hosts of T. flavoorbitalis in Hawaii (adventive = accidental introduction, Introduced = purposely introduced; ? = uncertain) [55].
Table 3. List of known hosts of T. flavoorbitalis in Hawaii (adventive = accidental introduction, Introduced = purposely introduced; ? = uncertain) [55].
SpeciesFamilyOrigin
Agonoxena argaula MeyrickAgonoxenidaeAdventive
Asymphorodes dimorpha (Busck)AsymphorodesAventive
Bradleyella metallurgica (Walsingham)TortricidaeEndemic
Bracta straminea (Butler)TortricidaeAdventive?
Bracta venosana (Zeller)TortricidaeIntroduced
Carposina gramicolor (Walsingham)CarposinidaeEndemic
Chedra microstigma (Walsingham)BatrachedridaeAdventive
Chilo supressalis (Walker)CrambidaeAdventive
Crocidosema blackburni (Butler)TortricidaeEndemic?
Crocidosema marcidella (Walsingham)TortricidaeEndemic?
Crocidosema lantana BusckTortricidaeIntroduced
Cryptophlebia illepida (Butler)TortricidaeAdventive
Erechthias minuscula (Walsingham)TineidaeAdventive
Herpetogramma licarsisalis (Walker)CrambidaeAdventive
Omiodes accepta (Butler)CrambidaeEndemic
Omiodes blackburni (Butler)CrambidaeEndemic
Omiodes localis (Butler)CrambidaeEndemic
Omiodes meyricki SwezeyCrambidaeEndemic
Omiodes monogramma MeyryckCrambidaeEndemic
Omiodes muniscola SwezeyCrambidaeEndemic
Pyroderces rileyi (Walsingham)CosmopterigidaeAdventive
Spheterista infaustana (Walsingham)TortricidaeEndemic
Spheterista reynoldsiana (Swezey)TortricidaeEndemic
Spodalea recurvalis (Fabricius)CrambidaeAdventive
Thyrocopa spp.OecophoridaeEndemic
Udea chalcophanes (Meyrick)CrambidaeEndemic
Udea micacea (Butler)CrambidaeEndemic
Udea platyleuca (Meyrick)CrambidaeEndemic
Udea stellata (Butler)CrambidaeEndemic
Udea violae (Swezey)CrambidaeEndemic
Table 4. Apparent mortality data used in simulations for Question 3. (Data from [35]).
Table 4. Apparent mortality data used in simulations for Question 3. (Data from [35]).
DatumTrathalaMeteorusCotesia
10.1060.0700.088
20.1410.0010.001
30.3030.0590.176
40.1220.0010.001
50.4890.0010.083
60.5100.0010.001
70.2430.0010.001
80.5850.0010.001
90.3380.0010.001
100.2220.0010.001
110.4110.0010.001
120.5080.0010.001
130.2950.0300.091
140.3730.0010.001
150.1740.0010.071
160.5380.0010.001
170.3330.0010.001
180.1460.0010.001
190.4300.0010.001
200.6000.0010.026
210.1230.0010.001
220.1030.0140.014
230.1520.0010.001
240.1440.0010.266
250.1930.0010.302
Table 5. Marginal attack rate data used for simulations in Question 3. (Data from [34]).
Table 5. Marginal attack rate data used for simulations in Question 3. (Data from [34]).
DatumTrathalaMeteorusCotesia
10.0060.0060.000
20.0400.0000.000
30.0150.0000.000
40.0010.0000.000
50.0010.0000.017
60.0530.0000.000
70.0010.0000.000
80.0010.0000.000
90.0010.0000.000
100.1280.0000.000
110.0370.0000.000
120.0350.0000.000
130.0800.0000.000
140.0090.0000.000
150.0010.0000.000
160.0170.0000.000
170.1410.0000.000
180.0310.0000.000
Table 6. List of hosts of C. marginiventris in its native range known prior to its introduction to Hawaii in 1942.
Table 6. List of hosts of C. marginiventris in its native range known prior to its introduction to Hawaii in 1942.
SpeciesFamilyReference
Pseudaletia latiuscula (Herrich-Schaffer)Noctuidae[61]
Spoladea recurvalis (Fabricious)Crambidae[62]
Spodoptera exigua (Hübner)Noctuidae[63]
Spodoptera frugiperda (Smith)Noctuidae[64]
Spodoptera praefica (Grote)Noctuidae[65]
Udea rubigalis (Guenee)Crambidae[66]
Table 7. List of known hosts of M. laphygmae in its native range prior to its introduction to Hawaii in 1942.
Table 7. List of known hosts of M. laphygmae in its native range prior to its introduction to Hawaii in 1942.
SpeciesFamilyReference
Agrotis subterranea (Fabricius)Noctuidae[43]
Helicoverpa zea (Boddie)Noctuidae[43]
Monodes spp.Noctuidae[43]
Pseudaletia unipuncta (Haworth)Noctuidae[67]
Spodoptera spp.Noctuidae[43]
Spodoptera praefica (Grote)Noctuidae[66]
Spodoptera frugiperda(J. E. Smith)Noctuidae[43]
Spodoptera exigua(Hübner)Noctuidae[43]
Colias eurytheme (Boisduval)Pieridae[43]

Share and Cite

MDPI and ACS Style

Kaufman, L.V.; Wright, M.G. Assessing Probabilistic Risk Assessment Approaches for Insect Biological Control Introductions. Insects 2017, 8, 67. https://doi.org/10.3390/insects8030067

AMA Style

Kaufman LV, Wright MG. Assessing Probabilistic Risk Assessment Approaches for Insect Biological Control Introductions. Insects. 2017; 8(3):67. https://doi.org/10.3390/insects8030067

Chicago/Turabian Style

Kaufman, Leyla V., and Mark G. Wright. 2017. "Assessing Probabilistic Risk Assessment Approaches for Insect Biological Control Introductions" Insects 8, no. 3: 67. https://doi.org/10.3390/insects8030067

APA Style

Kaufman, L. V., & Wright, M. G. (2017). Assessing Probabilistic Risk Assessment Approaches for Insect Biological Control Introductions. Insects, 8(3), 67. https://doi.org/10.3390/insects8030067

Note that from the first issue of 2016, this journal uses article numbers instead of page numbers. See further details here.

Article Metrics

Back to TopTop