Archived Historical Aquatic Macroinvertebrate Specimens Suggest Connections Between Microplastic Abundance Patterns, Trophic Traits, and Land Use
Simple Summary
Abstract
1. Introduction
2. Methods and Materials
2.1. Field Sites
2.2. Macroinvertebrate Sampling
2.3. Microplastic Quantification and Characterization
2.4. Laboratory Microplastic Contamination Quantification
2.5. Statistical Analysis
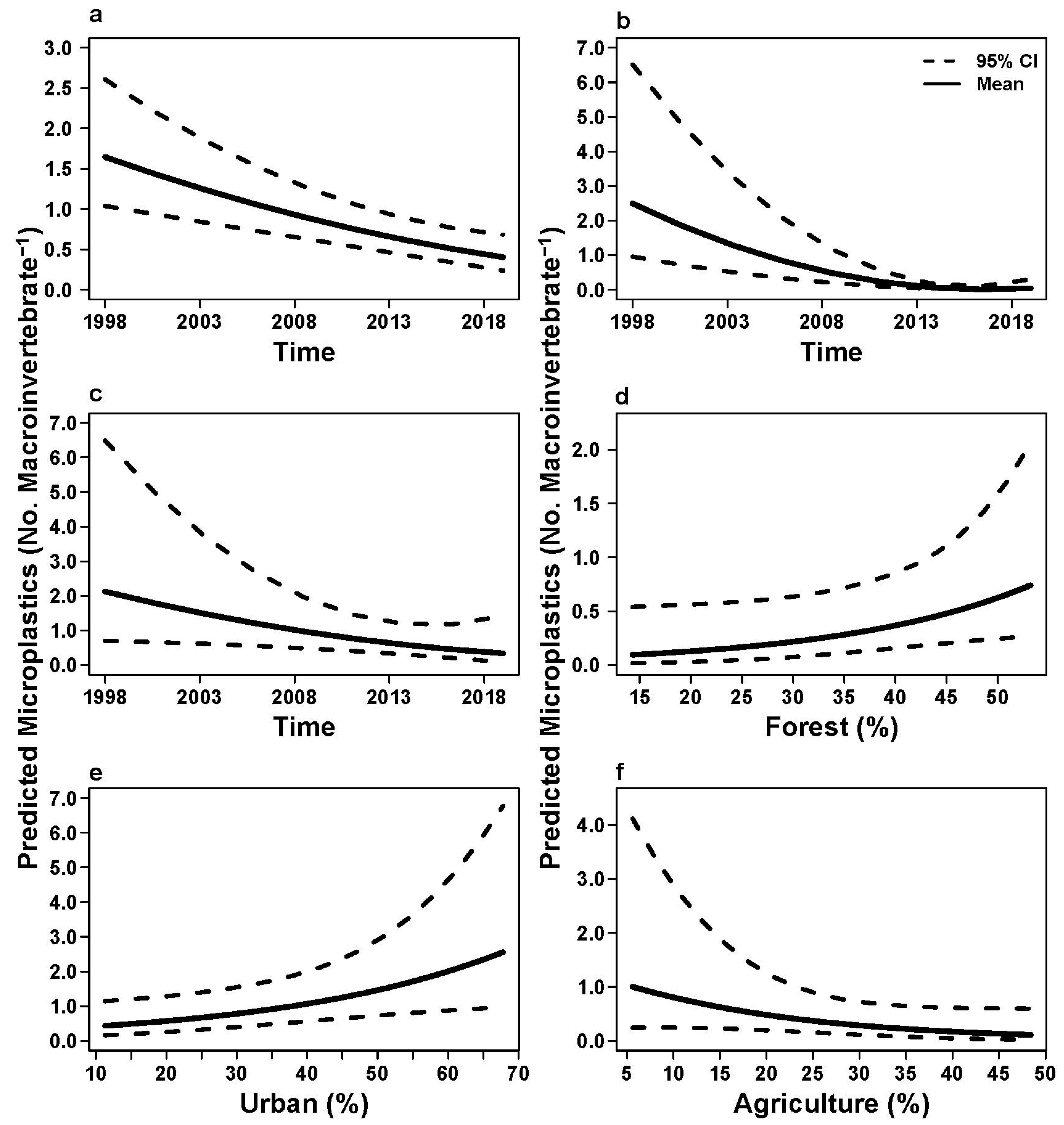
3. Results
3.1. Comparison of Microplastic Abundance Among Macroinvertebrate Taxa and Life Stages
3.2. Comparison of Microplastic Abundance Among Different Functional Feeding Groups
3.3. Comparison of Microplastic Abundance Among Different Sites and Land Use Types
3.4. Comparison of Microplastic Abundance Among Different Taxa and Different Time Periods
3.5. Comparison of Microplastic Color and Morphology Patterns in Laboratory Controls vs. Preserved Samples
3.6. Comparison of Microplastic Abundance in Rose Bengal Dyed vs. Non-Dyed Preserved Samples
4. Discussion
Supplementary Materials
Author Contributions
Funding
Institutional Review Board Statement
Data Availability Statement
Acknowledgments
Conflicts of Interest
References
- Cozar, A.; Echevarria, F.; Gonzalez-Gordillo, J.I.; Irigoien, X.; Ubeda, B.; Hernandez-Leon, S.; Palma, A.T.; Navarro, S.; Garcia-de-Lomas, J.; Ruiz, A.; et al. Plastic Debris in the Open Ocean. Proc. Natl. Acad. Sci. USA 2014, 111, 10239–10244. [Google Scholar] [CrossRef]
- Geyer, R.; Jambeck, J.R.; Law, K.L. Production, Use, and Fate of All Plastics Ever Made. Sci. Adv. 2017, 3, e1700782. [Google Scholar] [CrossRef]
- Jambeck, J.R.; Geyer, R.; Wilcox, C.; Siegler, T.R.; Perryman, M.; Andrady, A.; Narayan, R.; Law, K.L. Plastic Waste Inputs from Land into the Ocean. Science 2015, 347, 768–771. [Google Scholar] [CrossRef] [PubMed]
- Geyer, R. Production, Use, and Fate of Synthetic Polymers. In Plastic Waste and Recycling; Letcher, T.M., Ed.; Academic Press: San Diego, CA, USA, 2020; pp. 13–32. ISBN 9780128178805. [Google Scholar]
- de Souza Machado, A.A.; Kloas, W.; Zarfl, C.; Hempel, S.; Rillig, M.C. Microplastics as an Emerging Threat to Terrestrial Ecosystems. Glob. Change Biol. 2018, 24, 1405–1416. [Google Scholar] [CrossRef] [PubMed]
- Huang, Y.; Liu, Q.; Jia, W.; Yan, C.; Wang, J. Agricultural Plastic Mulching as a Source of Microplastics in the Terrestrial Environment. Environ. Pollut. 2020, 260, 114096. [Google Scholar] [CrossRef] [PubMed]
- Eriksen, M.; Lebreton, L.C.M.; Carson, H.S.; Thiel, M.; Moore, C.J.; Borerro, J.C.; Galgani, F.; Ryan, P.G.; Reisser, J. Plastic Pollution in the World’s Oceans: More than 5 Trillion Plastic Pieces Weighing over 250,000 Tons Afloat at Sea. PLoS ONE 2014, 9, e111913. [Google Scholar] [CrossRef]
- Woodall, L.C.; Sanchez-vidal, A.; Paterson, G.L.J.; Coppock, R.; Sleight, V.; Calafat, A.; Rogers, A.D.; Narayanaswamy, B.E.; Thompson, R.C. The Deep Sea Is a Major Sink for Microplastic Debris. R. Soc. Open Sci. 2014, 1, 140317. [Google Scholar] [CrossRef]
- McCormick, A.R.; Hoellein, T.J. Anthropogenic Litter Is Abundant, Diverse, and Mobile in Urban Rivers: Insights from Cross-Ecosystem Analyses Using Ecosystem and Community Ecology Tools. Limnol. Oceanogr. 2016, 61, 1718–1734. [Google Scholar] [CrossRef]
- McNeish, R.E.; Kim, L.H.; Barrett, H.A.; Mason, S.A.; Kelly, J.J.; Hoellein, T.J. Microplastic in Riverine Fish Is Connected to Species Traits. Sci. Rep. 2018, 8, 11639. [Google Scholar] [CrossRef]
- Panno, S.V.; Kelly, W.R.; Scott, J.; Zheng, W.; McNeish, R.E.; Holm, N.; Hoellein, T.J.; Baranski, E.L. Microplastic Contamination in Karst Groundwater Systems. Groundwater 2019, 57, 189–196. [Google Scholar] [CrossRef]
- Dris, R.; Gasperi, J.; Saad, M.; Mirande, C.; Tassin, B. Synthetic Fibers in Atmospheric Fallout: A Source of Microplastics in the Environment? Mar. Pollut. Bull. 2016, 104, 290–293. [Google Scholar] [CrossRef]
- Roblin, B.; Ryan, M.; Vreugdenhil, A.; Aherne, J. Ambient Atmospheric Deposition of Anthropogenic Microfibers and Microplastics on the Western Periphery of Europe (Ireland). Environ. Sci. Technol. 2020, 54, 11100–11108. [Google Scholar] [CrossRef]
- Aves, A.R.; Revell, L.E.; Gaw, S.; Ruffell, H.; Schuddeboom, A.; Wotherspoon, N.E.; Larue, M.; Mcdonald, A.J. First Evidence of Microplastics in Antarctic Snow. Cryosphere 2022, 16, 2127–2145. [Google Scholar] [CrossRef]
- Kanhai, L.D.K.; Gardfeldt, K.; Krumpen, T.; Thompson, R.C.; O’Connor, I. Microplastics in Sea Ice and Seawater beneath Ice Floes from the Arctic Ocean. Sci. Rep. 2020, 10, 5004. [Google Scholar] [CrossRef]
- O’Brine, T.; Thompson, R.C. Degradation of Plastic Carrier Bags in the Marine Environment. Mar. Pollut. Bull. 2010, 60, 2279–2283. [Google Scholar] [CrossRef]
- Sheavly, S.B.; Register, K.M. Marine Debris & Plastics: Environmental Concerns, Sources, Impacts and Solutions. J. Polym. Environ. 2007, 15, 301–305. [Google Scholar] [CrossRef]
- Cole, M.; Lindeque, P.; Halsband, C.; Galloway, T.S. Microplastics as Contaminants in the Marine Environment: A Review. Mar. Pollut. Bull. 2011, 62, 2588–2597. [Google Scholar] [CrossRef]
- McCormick, A.R.; Hoellein, T.J.; London, M.G.; Hittie, J.; Scott, J.W.; Kelly, J.J. Microplastic in Surface Waters of Urban Rivers: Concentration, Sources, and Associated Bacterial Assemblages. Ecosphere 2016, 7, e01556. [Google Scholar] [CrossRef]
- Dris, R.; Gasperi, J.; Rocher, V.; Saad, M.; Renault, N.; Tassin, B. Microplastic Contamination in an Urban Area: A Case Study in Greater Paris. Environ. Chem. 2015, 12, 592–599. [Google Scholar] [CrossRef]
- Gregory, M.R. Accumulation and Distribution of Virgin Plastic Granules on New Zealand Beaches. N. Z. J. Mar. Freshw. Res. 1978, 12, 399–414. [Google Scholar] [CrossRef]
- Gregory, M.R. Environmental Implications of Plastic Debris in Marine Settings-Entanglement, Ingestion, Smothering, Hangers-on, Hitch-Hiking and Alien Invasions. Philos. Trans. R. Soc. B Biol. Sci. 2009, 364, 2013–2025. [Google Scholar] [CrossRef]
- Hoellein, T.J.; Rochman, C.M. The “Plastic Cycle”: A Watershed-Scale Model of Plastic Pools and Fluxes. Front. Ecol. Environ. 2021, 19, 176–183. [Google Scholar] [CrossRef]
- Coffin, S. Proposed Definition of ‘Microplastics in Drinking Water’; California State Water Resources Control Board: Sacramento, CA, USA, 2020; pp. 1–42.
- Blight, L.K.; Burger, A.E. Occurrence of Plastic Particles in Sea- Birds from the Eastern North Pacific. Mar. Pollut. Bull. 1997, 34, 323–325. [Google Scholar] [CrossRef]
- Cole, M.; Lindeque, P.; Fileman, E.; Halsband, C.; Goodhead, R.; Moger, J.; Galloway, T.S. Microplastic Ingestion by Zooplankton. Environ. Sci. Technol. 2013, 47, 6646–6655. [Google Scholar] [CrossRef]
- Browne, M.A.; Niven, S.J.; Galloway, T.S.; Rowland, S.J.; Thompson, R.C. Microplastic Moves Pollutants and Additives to Worms, Reducing Functions Linked to Health and Biodiversity. Curr. Biol. 2013, 23, 2388–2392. [Google Scholar] [CrossRef]
- MacIvor, J.S.; Moore, A.E. Bees Collect Polyurethane and Polyethylene Plastics as Novel Nest Materials. Ecosphere 2013, 4, 1–6. [Google Scholar] [CrossRef]
- Lusher, A.L.; Mchugh, M.; Thompson, R.C. Occurrence of Microplastics in the Gastrointestinal Tract of Pelagic and Demersal Fish from the English Channel. Mar. Pollut. Bull. 2012, 67, 94–99. [Google Scholar] [CrossRef]
- Karami, A.; Golieskardi, A.; Keong Choo, C.; Larat, V.; Galloway, T.S.; Salamatinia, B. The Presence of Microplastics in Commercial Salts from Different Countries. Sci. Rep. 2017, 7, 46173. [Google Scholar] [CrossRef] [PubMed]
- Diaz-Basantes, M.F.; Conesa, J.A.; Fullana, A. Microplastics in Honey, Beer, Milk and Refreshments in Ecuador as Emerging Contaminants. Sustainability 2020, 12, 5514. [Google Scholar] [CrossRef]
- Van Cauwenberghe, L.; Janssen, C.R. Microplastics in Bivalves Cultured for Human Consumption. Environ. Pollut. 2014, 193, 65–70. [Google Scholar] [CrossRef]
- Cox, K.D.; Covernton, G.A.; Davies, H.L.; Dower, J.F.; Juanes, F.; Dudas, S.E. Human Consumption of Microplastics. Environ. Sci. Technol. 2019, 53, 7068–7074. [Google Scholar] [CrossRef]
- Galloway, T.S. Micro- and Nana-Plastics and Human Health. In Marine Anthropogenic Litter; Bergmann, M., Gutow, L., Klages, M., Eds.; Springer: Berlin/Heidelberg, Germany, 2015; pp. 347–370. ISBN 978-3-319-16509-7. [Google Scholar]
- Viršek, M.K.; Lovšin, M.N.; Koren, Š.; Kržan, A.; Peterlin, M. Microplastics as a Vector for the Transport of the Bacterial Fish Pathogen Species Aeromonas salmonicida. Mar. Pollut. Bull. 2017, 125, 301–309. [Google Scholar] [CrossRef]
- Li, X.; Mei, Q.; Chen, L.; Zhang, H.; Dong, B.; Dai, X.; He, C.; Zhou, J. Enhancement in Adsorption Potential of Microplastics in Sewage Sludge for Metal Pollutants after the Wastewater Treatment Process. Water Res. 2019, 157, 228–237. [Google Scholar] [CrossRef]
- Griffin, P.J.; Snieszko, S.F.; Friddle, S.B. A More Comprehensive Description of Bacterium Salmonicida. Trans. Am. Fish. Soc. 1953, 82, 129–138. [Google Scholar] [CrossRef]
- Avio, C.G.; Gorbi, S.; Milan, M.; Benedetti, M.; Fattorini, D.; D’Errico, G.; Pauletto, M.; Bargelloni, L.; Regoli, F. Pollutants Bioavailability and Toxicological Risk from Microplastics to Marine Mussels. Environ. Pollut. 2015, 198, 211–222. [Google Scholar] [CrossRef]
- Rochman, C.M.; Hoh, E.; Kurobe, T.; Teh, S.J. Ingested Plastic Transfers Hazardous Chemicals to Fish and Induces Hepatic Stress. Sci. Rep. 2013, 3, 3263. [Google Scholar] [CrossRef]
- Wright, S.; Thompson, R.C.; Galloway, T.S. The Physical Impacts of Microplastics on Marine Organisms: A Review. Environ. Pollut. 2013, 178, 483–492. [Google Scholar] [CrossRef]
- Bakir, A.; Rowland, S.J.; Thompson, R.C. Transport of Persistent Organic Pollutants by Microplastics in Estuarine Conditions. Estuar. Coast. Shelf Sci. 2014, 140, 14–21. [Google Scholar] [CrossRef]
- Critchell, K.; Hoogenboom, M.O. Effects of Microplastic Exposure on the Body Condition and Behaviour of Planktivorous Reef Fish (Acanthochromis polyacanthus). PLoS ONE 2018, 13, e0193308. [Google Scholar] [CrossRef]
- Gutow, L.; Eckerlebe, A.; Giménez, L.; Saborowski, R. Experimental Evaluation of Seaweeds as a Vector for Microplastics into Marine Food Webs. Environ. Sci. Technol. 2016, 50, 915–923. [Google Scholar] [CrossRef]
- Farrell, P.; Farrell, P.; Nelson, K. Trophic Level Transfer of Microplastic: Mytilus edulis (L.) to Carcinus maenas (L.). Environ. Pollut. 2013, 177, 1–3. [Google Scholar] [CrossRef]
- Rondoni, G.; Chierici, E.; Agnelli, A.; Conti, E. Microplastics Alter Behavioural Responses of an Insect Herbivore to a Plant-Soil System. Sci. Total Environ. 2021, 787, 147716. [Google Scholar] [CrossRef]
- Ziajahromi, S.; Kumar, A.; Neale, P.A.; Leusch, F.D.L. Environmentally Relevant Concentrations of Polyethylene Microplastics Negatively Impact the Survival, Growth and Emergence of Sediment-Dwelling Invertebrates. Environ. Pollut. 2018, 236, 425–431. [Google Scholar] [CrossRef]
- Stanković, J.; Milošević, D.; Savić-Zdraković, D.; Yalçın, G.; Yildiz, D.; Beklioğlu, M.; Jovanović, B. Exposure to a Microplastic Mixture Is Altering the Life Traits and Is Causing Deformities in the Non-Biting Midge Chironomus riparius Meigen (1804). Environ. Pollut. 2020, 262, 114248. [Google Scholar] [CrossRef]
- Sun, L.; Cheng, Z.; Wang, M.; Wei, C.; Liu, H.; Yang, Y. A Multi-Levels Analysis to Evaluate the Toxicity of Microplastics on Aquatic Insects: A Case Study with Damselfly Larvae (Ischnura elegans). Ecotoxicol. Environ. Saf. 2025, 289, 117447. [Google Scholar] [CrossRef]
- Stanković, J.; Milošević, D.; Jovanović, B.; Savić-Zdravković, D.; Petrović, A.; Raković, M.; Stanković, N.; Stojković Piperac, M. In Situ Effects of a Microplastic Mixture on the Community Structure of Benthic Macroinvertebrates in a Freshwater Pond. Environ. Toxicol. Chem. 2022, 41, 888–895. [Google Scholar] [CrossRef] [PubMed]
- Scherer, C.; Brennholt, N.; Reifferscheid, G.; Wagner, M. Feeding Type and Development Drive the Ingestion of Microplastics by Freshwater Invertebrates. Sci. Rep. 2017, 7, 17006. [Google Scholar] [CrossRef] [PubMed]
- Baxter, C.V.; Fausch, K.D.; Saunders, W.C. Tangled Webs: Reciprocal Flows of Invertebrate Prey Link Streams and Riparian Zones. Freshw. Biol. 2005, 50, 201–220. [Google Scholar] [CrossRef]
- Likens, G.E.; Bormann, F.H. Linkages between Terrestrial and Aquatic Ecosystems. Bioscience 1974, 24, 447–456. [Google Scholar] [CrossRef]
- Hynes, H. The Ecology of Running Waters; University of Toronto Press: Toronto, ON, Canada, 1970; Volume 16, ISBN 0-85323-100-1. [Google Scholar]
- Foster, D.; Swanson, F.; Aber, J.; Burke, I.; Brokaw, N.; Tilman, D.; Knapp, A. The Importance of Land-Use Legacies to Ecology and Conservation. Bioscience 2003, 53, 77–88. [Google Scholar] [CrossRef]
- Li, J.; Liu, H.; Paul Chen, J. Microplastics in Freshwater Systems: A Review on Occurrence, Environmental Effects, and Methods for Microplastics Detection. Water Res. 2018, 137, 362–374. [Google Scholar] [CrossRef]
- Baldwin, A.K.; Corsi, S.R.; Mason, S.A. Plastic Debris in 29 Great Lakes Tributaries: Relations to Watershed Attributes and Hydrology. Environ. Sci. Technol. 2016, 50, 10377–10385. [Google Scholar] [CrossRef] [PubMed]
- Hoellein, T.J.; McCormick, A.R.; Hittie, J.; London, M.G.; Scott, J.W.; Kelly, J.J. Longitudinal Patterns of Microplastic Concentration and Bacterial Assemblages in Surface and Benthic Habitats of an Urban River. Freshw. Sci. 2017, 36, 491–507. [Google Scholar] [CrossRef]
- Rosi, E.J.; Bechtold, H.A.; Snow, D.; Rojas, M.; Reisinger, A.J.; Kelly, J.J. Urban Stream Microbial Communities Show Resistance to Pharmaceutical Exposure. Ecosphere 2018, 9, e02041. [Google Scholar] [CrossRef]
- Reisinger, A.J.; Reisinger, L.S.; Richmond, E.K.; Rosi, E.J. Exposure to a Common Antidepressant Alters Crayfish Behavior and Has Potential Subsequent Ecosystem Impacts. Ecosphere 2021, 12, e03527. [Google Scholar] [CrossRef]
- Rosi-Marshall, E.J.; Royer, T.V. Pharmaceutical Compounds and Ecosystem Function: An Emerging Research Challenge for Aquatic Ecologists. Ecosystems 2012, 15, 867–880. [Google Scholar] [CrossRef]
- Previšić, A.; Vilenica, M.; Vučković, N.; Petrović, M.; Rožman, M. Aquatic Insects Transfer Pharmaceuticals and Endocrine Disruptors from Aquatic to Terrestrial Ecosystems. Environ. Sci. Technol. 2021, 55, 3736–3746. [Google Scholar] [CrossRef]
- Mahon, A.M.; O’Connell, B.; Healy, M.G.; O’Connor, I.; Officer, R.; Nash, R.; Morrison, L. Microplastics in Sewage Sludge: Effects of Treatment. Environ. Sci. Technol. 2017, 51, 810–818. [Google Scholar] [CrossRef]
- Turunen, J.; Markkula, J.; Rajakallio, M.; Aroviita, J. Riparian Forests Mitigate Harmful Ecological Effects of Agricultural Diffuse Pollution in Medium-Sized Streams. Sci. Total Environ. 2019, 649, 495–503. [Google Scholar] [CrossRef]
- Snyder, N.J.; Mostaghimi, S.; Berry, D.F.; Reneau, R.B. Impact of Riparian Forest Buffers on Agricultural Nonpoint Source Pollution. J. Am. Water Resour. Assoc. 1998, 34, 385–395. [Google Scholar] [CrossRef]
- Osborne, L.L.; Kovacic, D.A. Riparian Vegetated Buffer Strips in Water-quality Restoration and Stream Management. Freshw. Biol. 1993, 29, 243–258. [Google Scholar] [CrossRef]
- Sweeney, B.W.; Newbold, J.D. Streamside Forest Buffer Width Needed to Protect Stream Water Quality, Habitat, and Organisms: A Literature Review. J. Am. Water Resour. Assoc. 2014, 50, 560–584. [Google Scholar] [CrossRef]
- Jackson, J.K. Schuylkill River Project Overview. Available online: https://stroudcenter.org/projects/schuylkill/ (accessed on 9 August 2022).
- Center, S.W.R. Model My Watershed. Available online: https://wikiwatershed.org/ (accessed on 9 August 2022).
- Homer, C.; Dewitz, J.; Yan, L.; JIn, S.; Danielson, P.; Xian, G.; Coulston, J.; Herold, N.; Wickham, J.; Megown, K. [Downloaded File] Completion of the 2011 National Land Cover Database for the Conterminous United States—Representing a Decade of Land Cover Change Information. Photogramm. Eng. Remote Sens. 2015, 81, 345–354. [Google Scholar]
- Kratzer, E.B.; Jackson, J.K.; Arscott, D.B.; Aufdenkampe, A.K.; Dow, C.L.; Kaplan, L.A.; Newbold, J.D.; Sweeney, B.W. Macroinvertebrate Distribution in Relation to Land Use and Water Chemistry in New York City Drinking-Water-Supply Watersheds. J. North Am. Benthol. Soc. 2006, 25, 954–976. [Google Scholar] [CrossRef]
- Merritt, R.; Cummins, K.W.; Berg, M. An Introduction to the Aquatic Insects of North America, 4th ed.; Kendall/Hunt: Dubuque, IA, USA, 2008. [Google Scholar]
- Masura, J.; Baker, J.; Foster, G.; Arthur, C. Laboratory Methods for the Analysis of Microplastics in the Marine Environment: Recommendations for Quantifying Synthetic Particles in Waters and Sediments; NOAA Technical Memorandum NOS-OR&R-48; NOAA: Silver Spring, MD, USA, 2015. [Google Scholar]
- McCormick, A.; Hoellein, T.J.; Mason, S.A.; Schluep, J.; Kelly, J.J. Microplastic Is an Abundant and Distinct Microbial Habitat in an Urban River. Environ. Sci. Technol. 2014, 48, 11863–11871. [Google Scholar] [CrossRef]
- Eriksen, M.; Mason, S.; Wilson, S.; Box, C.; Zellers, A.; Edwards, W.; Farley, H.; Amato, S. Microplastic Pollution in the Surface Waters of the Laurentian Great Lakes. Mar. Pollut. Bull. 2013, 77, 177–182. [Google Scholar] [CrossRef]
- Hou, L.; McMahan, C.D.; McNeish, R.E.; Munno, K.; Rochman, C.M.; Hoellein, T.J. A Fish Tale: A Century of Museum Specimens Reveal Increasing Microplastic Concentrations in Freshwater Fish. Ecol. Appl. 2021, 31, e02320. [Google Scholar] [CrossRef]
- Hall, L.K.; Larsen, R.T.; Knight, R.N.; McMillan, B.R. Feral Horses Influence Both Spatial and Temporal Patterns of Water Use by Native Ungulates in a Semi-Arid Environment. Ecosphere 2018, 9, e02096. [Google Scholar] [CrossRef]
- Nix, J.H.; Howell, R.G.; Hall, L.K.; McMillan, B.R. The Influence of Periodic Increases of Human Activity on Crepuscular and Nocturnal Mammals: Testing the Weekend Effect. Behav. Process. 2018, 146, 16–21. [Google Scholar] [CrossRef]
- Barton, K. MuMIn: Multi-Model Inference, R Package Version 1.43.17; NIII: Tokyo, Japan, 2020.
- Brooks, M.E.; Kristensen, K.; van Benthem, K.J.; Magnusson, A.; Berg, C.W.; Nielsen, A.; Skaug, H.J.; Maechler, M.; Bolker, B.M. GlmmTMB Balances Speed and Flexibility Among Packages for Zero-Inflated Genrealized Linear Mixed Modeling. R J. 2017, 9, 378–400. [Google Scholar] [CrossRef]
- R Core Team. R: A Language and Environment for Statistical Computing, R stats Package Version 3.6.2; R Foundation for Statistical Computing: Vienna, Austria, 2019.
- Hartig, F. DHARMa: Residual Diagnostics for Hierarchical (Multi-Level/Mixed) Regression Models, R Package Version 0.4.3; R Foundation for Statistical Computing: Vienna, Austria, 2021; pp. 1–26.
- Zeileis, A.; Hothorn, T. Diagnostic Checking in Regression Relationships. R News 2002, 2, 7–10. [Google Scholar]
- Lüdecke, D.; Ben-Shachar, M.; Patil, I.; Waggoner, P.; Makowski, D. Performance: An R Package for Assessment, Comparison and Testing of Statistical Models. J. Open Source Softw. 2021, 6, 3139. [Google Scholar] [CrossRef]
- R Core Team. R: A Language and Environment for Statistical Computing, R Package Version 4.4.1; R Foundation for Statistical Computing: Vienna, Austria, 2021.
- Gregory, M.R.; Ryan, P.G. Pelagic Plastics and Other Seaborne Persistent Synthetic Debris: A Review of Southern Hemisphere Perspectives. In Marine Debris: Sources, Impacts and Solutions; Coe, J.M., Rogers, D.B., Eds.; Springer Verlag: New York, NY, USA, 1997; pp. 49–66. [Google Scholar]
- Eriksson, C.; Burton, H. Origins and Biological Accumulation of Small Plastic Particles in Fur Seals from Macquarie Island. Ambio 2003, 32, 380–384. [Google Scholar] [CrossRef]
- Wright, S.L.; Rowe, D.; Thompson, R.C.; Galloway, T.S. Microplastic Ingestion Decreases Energy Reserves in Marine Worms. Curr. Biol. 2013, 23, R1031–R1033. [Google Scholar] [CrossRef]
- Setala, O.; Fleming-Lehtinen, V.; Lehtiniemi, M. Ingestion and Transfer of Microplastics in the Planktonic Food Web. Environ. Pollut. 2013, 185, 77–83. [Google Scholar] [CrossRef] [PubMed]
- Lusher, A. Microplastics in the Marine Environment: Distribution, Interactions and Effects. In Marine Anthropogenic Litter; Bergmann, M., Gutow, L., Klages, M., Eds.; Springer: Berlin/Heidelberg, Germany, 2015; pp. 245–308. [Google Scholar]
- Klein, S.; Frazier, V.; Readdean, T.; Lucas, E.; Diaz-Jimenez, E.P.; Sogin, M.; Ruff, E.S.; Echeverri, K. Common Environmental Pollutants Negatively Affect Development and Regeneration in the Sea Anemone Nematostella vectensis Holobiont. Front. Ecol. Evol. 2021, 9, 786037. [Google Scholar] [CrossRef]
- Wagner, M.; Scherer, C.; Alvarez-muñoz, D.; Brennholt, N.; Bourrain, X.; Buchinger, S.; Fries, E.; Grosbois, C.; Klasmeier, J.; Marti, T.; et al. Microplastics in Freshwater Ecosystems: What We Know and What We Need to Know. Environ. Sci. Eur. 2014, 26, 12. [Google Scholar] [CrossRef]
- Eerkes-Medrano, D.; Thompson, R.C.; Aldridge, D.C. Microplastics in Freshwater Systems: A Review of the Emerging Threats, Identification of Knowledge Gaps and Prioritisation of Research Needs. Water Res. 2015, 75, 63–82. [Google Scholar] [CrossRef]
- Rosenkranz, P.; Chaudhry, Q.; Stone, V.; Fernandes, T.F. A Comparison of Nanoparticle and Fine Particle Uptake by Daphnia Magna. Environ. Toxicol. Chem. 2009, 28, 2142–2149. [Google Scholar] [CrossRef]
- Imhof, H.K.; Ivleva, N.P.; Schmid, J.; Niessner, R.; Laforsch, C. Contamination of Beach Sediments of a Subalpine Lake with Microplastic Particles. Curr. Biol. 2013, 23, R867–R868. [Google Scholar] [CrossRef]
- Windsor, F.M.; Tilley, R.M.; Tyler, C.R.; Ormerod, S.J. Microplastic Ingestion by Riverine Macroinvertebrates. Sci. Total Environ. 2019, 646, 68–74. [Google Scholar] [CrossRef]
- Akindele, E.O.; Ehlers, S.M.; Koop, J.H.E. Freshwater Insects of Different Feeding Guilds Ingest Microplastics in Two Gulf of Guinea Tributaries in Nigeria. Environ. Sci. Pollut. Res. 2020, 27, 33373–33379. [Google Scholar] [CrossRef]
- Nel, H.A.; Dalu, T.; Wasserman, R.J. Sinks and Sources: Assessing Microplastic Abundance in River Sediment and Deposit Feeders in an Austral Temperate Urban River System. Sci. Total Environ. 2018, 612, 950–956. [Google Scholar] [CrossRef]
- Simakova, S.; Varenitsina, A.; Babkina, I.; Andreeva, Y.; Bagirov, R.; Yaratsev, V.; Frank, Y. Ontogenetic Transfer of Microplastics in Bloodsucking Mosquitos Aedes aegypti L. (Diptera: Culicidae) Is a Potential Pathway for Particle Distribution in the Environment. Water 2022, 14, 1852. [Google Scholar] [CrossRef]
- Simakova, A.V.; Varenitsina, A.A.; Babkina, I.B.; Andreeva, Y.V.; Frank, Y.A. Ontogenetic Transfer of Microplastics in Natural Populations of Malaria Mosquitos in Western Siberia. Entomol. Exp. Appl. 2024, 172, 1046–1053. [Google Scholar] [CrossRef]
- Abdulla, M.; Barnes, J.C.; Poole, O.M.; Wotton, K.R.; Jimenez-Guri, E. Developmental Transfer of Microplastic Particles from Larval to Adult Stages of the Drone Fly Eristalis tenax. Microplastics 2025, 4, 22. [Google Scholar] [CrossRef]
- Bertoli, M.; Pastorino, P.; Lesa, D.; Renzi, M.; Anselmi, S.; Prearo, M.; Pizzul, E. Microplastics Accumulation in Functional Feeding Guilds and Functional Habit Groups of Freshwater Macrobenthic Invertebrates: Novel Insights in a Riverine Ecosystem. Sci. Total Environ. 2022, 804, 150207. [Google Scholar] [CrossRef] [PubMed]
- Wallace, J.R.; Merritt, R.W. Influence of Mmicroclimate, Food, and Predation on Anopheles quadrimaculatus (Diptera: Culicidae) Growth and Developmental Rates, Survivorship, and Adult Size in a Michigan Pond. J. Environ. Entomol. 1999, 28, 233–239. [Google Scholar] [CrossRef]
- Merritt, R.W.; Cummins, K.W.; Berg, M.B. Trophic Relationships of Macroinvertebrates, Ch. 20. In Methods of Stream Ecology, 3rd ed.; Hauer, F.R., Lamberti, G.A., Eds.; Academic Press: San Diego, CA, USA, 2017; pp. 413–433. [Google Scholar]
- Zhao, S.; Zhu, L.; Li, D. Microscopic Anthropogenic Litter in Terrestrial Birds from Shanghai, China: Not Only Plastics but Also Natural Fibers. Sci. Total Environ. 2016, 550, 1110–1115. [Google Scholar] [CrossRef] [PubMed]
- Xiong, X.; Tu, Y.; Chen, X.; Jiang, X.; Shi, H.; Wu, C.; Elser, J.J. Ingestion and Egestion of Polyethylene Microplastics by Goldfish (Carassius auratus): Influence of Color and Morphological Features. Heliyon 2019, 5, e03063. [Google Scholar] [CrossRef]
- Bigalke, M.; Fieber, M.; Foetisch, A.; Reynes, J.; Tollan, P. Microplastics in Agricultural Drainage Water: A Link between Terrestrial and Aquatic Microplastic Pollution. Sci. Total Environ. 2022, 806, 150709. [Google Scholar] [CrossRef]
- Maaß, S.; Daphi, D.; Lehmann, A.; Rillig, M.C. Transport of Microplastics by Two Collembolan Species. Environ. Pollut. 2017, 225, 456–459. [Google Scholar] [CrossRef]
- Rillig, M.C.; Ziersch, L.; Hempel, S. Microplastic Transport in Soil by Earthworms. Sci. Rep. 2017, 7, 1362. [Google Scholar] [CrossRef] [PubMed]
- Zubris, K.A.V.; Richards, B.K. Synthetic Fibers as an Indicator of Land Application of Sludge. Environ. Pollut. 2005, 138, 201–211. [Google Scholar] [CrossRef] [PubMed]
- Wanner, P. Plastic in Agricultural Soils—A Global Risk for Groundwater Systems and Drinking Water Supplies?—A Review. Chemosphere 2021, 264, 128453. [Google Scholar] [CrossRef] [PubMed]
- Alvim, C.B.; Mendoza-Roca, J.A.; Bes-Piá, A. Wastewater Treatment Plant as Microplastics Release Source—Quantification and Identification Techniques. J. Environ. Manag. 2020, 255, 109739. [Google Scholar] [CrossRef]
- Enyoh, C.E.; Verla, A.W.; Verla, E.N.; Ibe, F.C.; Amaobi, C.E. Airborne Microplastics: A Review Study on Method for Analysis, Occurrence, Movement and Risks. Environ. Monit. Assess. 2019, 191, 668. [Google Scholar] [CrossRef]
- Weatherbee, G.; Baldwin, A.; Ranville, J. It Is Raining Plastic; U.S. Geological Survey Open-File Report; U.S. Geological Survey: Reston, VA, USA, 2019. [CrossRef]
- Zhang, Y.; Kang, S.; Allen, S.; Allen, D.; Gao, T.; Sillanää, M. Atmospheric Microplastics: A Review on Current Status and Perspectives. Earth-Sci. Rev. 2020, 203, 103118. [Google Scholar] [CrossRef]
- Peters, C.A.; Bratton, S.P. Urbanization Is a Major Influence on Microplastic Ingestion by Sunfish in the Brazos River Basin, Central Texas, USA. Environ. Pollut. 2016, 210, 380–387. [Google Scholar] [CrossRef]
- Cummins, K.W.; Merritt, R.W.; Berg, M.B. Ecology and Distribution of Aquatic Insects. In An Introduction to the Aquatic Insects of North America; Kendall Hunt Publishers: Dubuque, IA, USA, 2019; pp. 117–140. [Google Scholar]
- Carbery, M.; O’Connor, W.; Palanisami, T. Trophic Transfer of Microplastics and Mixed Contaminants in the Marine Food Web and Implications for Human Health. Environ. Int. 2018, 115, 400–409. [Google Scholar] [CrossRef]
- Marn, N.; Jusup, M.; Kooijman, S.A.L.M.; Klanjscek, T. Quantifying Impacts of Plastic Debris on Marine Wildlife Identifies Ecological Breakpoints. Ecol. Lett. 2020, 23, 1479–1487. [Google Scholar] [CrossRef] [PubMed]
- Al-Jaibachi, R.; Cuthbert, R.N.; Callaghan, A. Up and Away: Ontogenic Transference as a Pathway for Aerial Dispersal of Microplastics. Biol. Lett. 2018, 14, 20180479. [Google Scholar] [CrossRef] [PubMed]
- Huryn, A.D.; Wallace, J.B. Habitat, Life History, Secondary Production and Behavioral Adaptations of Aquatic Insects. In An Introduction to Aquatic Insects in North America; Merritt, R.W., Cummins, K.W., Berg, M.B., Eds.; Kendall Hunt Publishers: Dubuque, IA, USA, 2019; pp. 65–116. [Google Scholar]
- Hurley, R.R.; Woodward, J.C.; Rothwell, J.J. Ingestion of Microplastics by Freshwater Tubifex Worms. Environ. Sci. Technol. 2017, 51, 12844–12851. [Google Scholar] [CrossRef] [PubMed]




| Site | Dominant Land Use | Forest (%) | Urban (%) | Agriculture (%) | Watershed Area (km2) | Latitude, Longitude |
|---|---|---|---|---|---|---|
| Perkiomen Creek | Forest | 52.7 | 15.3 | 30.2 | 710 | 40°8′43.9″ N, −75°27′20.9″ W |
| Manatawny Creek | Forest | 53.2 | 11.3 | 35.4 | 180 | 40°20′14.9″ N, −75°44′26.0″ W |
| Skippack Creek | Urban | 14.3 | 53.6 | 32.1 | 51 | 40°9′2.9″ N, −75°26′47.0″ W |
| Wissahickon Creek | Urban | 25.7 | 67.8 | 5.6 | 146 | 40°4′41.9″ W −75°13′29.9″ N |
| East Branch Perkiomen Creek | Agriculture | 28.1 | 33.4 | 38.4 | 157 | 40°17′53.0″ N, −75°25′12″ W |
| West Branch Perkiomen Creek | Agriculture | 38.4 | 12.9 | 48.4 | 62 | 40°23′45.8″ N, −75°36′30.8″ W |
| Order | Family | No. Indv. | FFGs | Water Body | Years | LULC |
|---|---|---|---|---|---|---|
| Coleoptera | Elmidae | 44 | CG | EBP, MAN, PERK, SKP, WBP, WIS | 1998, 2010, 2019 | F, U, A |
| Coleoptera | Psephenidae | 29 | SG | ESP, MAN, PERK, SKP, WBP | 1998, 2010, 2019 | F, U, A |
| Diptera | Chironomidae | 47 (17) | CG | EBP, MAN, PERK, SKP, WBP, WIS | 1998, 2010, 2019 | F, U, A |
| Diptera | Simuliidae | 20 | CF | MAN, PERK, SKP, WBP, WIS | 1998, 2010, 2019 | F, U, A |
| Diptera | Tipulidae | 17 | SH | MAN, PERK, WBP, WIS | 1998, 2010, 2019 | F, U, A |
| Diptera | Empididae | 14 | PR | WBP, MAN, PERK, WBP, WIS | 1998, 2010, 2019 | F, U, A |
| Diptera | Limoniidae (Tipulidae: Subfamily) | 2 | SH | WIS | 2019 | U |
| Diptera | Athericidae | 1 | PR | MAN | 2019 | F |
| Ephemeroptera | Ephemerellidae | 26 | CG | EBP, MAN, PERK, SKP, WBP, WIS | 1998, 2010, 2019 | F, U, A |
| Ephemeroptera | Heptageniidae | 15 | SG | EBP, MAN, PERK, WBP | 1998, 2010, 2019 | F, A |
| Ephemeroptera | Baetidae | 6 | CG | PERK, WBP | 2010, 2019 | F, A |
| Ephemeroptera | Leptophlebiidae | 5 | CG | PERK, WBP | 1998, 2010 | F, A |
| Lepidoptera | Crambidae | 5 | SH | EBP, PERK, SKP | 1998, 2010, 2019 | F, U, A |
| Neuroptera | Sisyridae | 1 | PR | WIS | 2019 | U |
| Odonata | Coenagrionidae | 2 | PR | EBP, SKP | 1998, 2010 | U, A |
| Plecoptera | Perlidae | 8 | PR | MAN, PERK, WBP | 1998, 2010, 2019 | F, A |
| Plecoptera | Capniidae | 7 | SH | EBP, MAN, SKP, WBP | 1998, 2010, 2019 | F, U, A |
| Plecoptera | Nemouridae | 2 | SH | EBP | 1998 | A |
| Plecoptera | Perlodidae | 1 | PR | SKP | 2019 | U |
| Trichoptera | Hydropsychidae | 38 | CF | EBP, MAN, PERK, SKP, WBP, WIS | 1998, 2010, 2019 | F, U, A |
| Trichoptera | Philopotamidae | 21 | CF | EBP, MAN, PERK, SKP, WBP, WIS | 1998, 2010, 2019 | F, U, A |
| Trichoptera | Hydroptilidae | 12 | SG | EBP, MAN, PERK, SKP, WBP, WIS | 1998, 2010, 2019 | F, U, A |
| Trichoptera | Helicopsychidae | 3 | SG | MAN, PERK, SKP | 1998 | F, U, A |
| Trichoptera | Limnephilidae | 2 | SH | MAN, WBP | 2010, 2019 | F, A |
| Trichoptera | Odontoceridae | 2 | SH | MAN, WBP | 2019 | F, A |
| Trichoptera | Uenoidae | 2 | CG | MAN, PERK | 1998 | F |
| Trichoptera | Glossosomatidae | 1 | SG | SKIP | 1998 | U |
| Trichoptera | Goeridae | 1 | SG | MAN | 2019 | F |
| Trichoptera | Rhyachophilidae | 1 | PR | WBP | 2010 | A |
| Clitellata (Class) | Hirundinea (Subclass) | 37 | PR | EBP, MAN, PERK, SKP, WBP, WIS | 1998, 2010, 2019 | F, U, A |
| Acari (Subclass) | Hydrachnidae | 21 | PR | EBP, MAN, PERK, SKP, WBP, WIS | 1998, 2010, 2019 | F, U, A |
| Tricladida | Planariidae | 9 | PR | EBP, PERK, SKP, WBP, WIS | 1998, 2010, 2019 | F, U, A |
| Venerida | Corbiculidae | 6 | CF | EBP, MAN, PERK, SKP, WBP | 1998, 2010, 2019 | F, U, A |
| Amphipoda | Gammaridae | 4 | SH | EBP, MAN, WBP, WIS | 1998, 2010, 2019 | F, U, A |
| Isopoda | Asellidae | 1 | SH | SKP | 2010 | U |
| Unionida | Unionidae | 1 | CF | PERK | 2019 | F |
| TOTAL = | 411 |
| Model | df | LL | AICc | ΔAICc | wi |
|---|---|---|---|---|---|
| Pooled (Site fixed effect) | |||||
| Site + Year | 8 | −497.12 | 1010.59 | 0.00 | 0.9902 |
| Null (intercept with no random effects) | 2 | −512.08 | 1028.19 | 17.61 | 0.0001 |
| Pooled (Site random effect) | |||||
| Time | 4 | −502.61 | 1013.32 | 0.00 | 0.2521 |
| Time + Agriculture (%) | 5 | −501.72 | 1013.58 | 0.26 | 0.2211 |
| Time + Forest (%) + Agriculture (%) | 6 | −501.19 | 1014.58 | 1.26 | 0.1341 |
| Time + Forest (%) | 5 | −502.48 | 1015.10 | 1.78 | 0.1033 |
| Null (intercept with random effects) | 3 | −510.40 | 1026.85 | 13.53 | 0.0003 |
| Chironomidae | |||||
| Time + Agriculture (%) + Forest (%) | 6 | −43.29 | 100.68 | 0.00 | 0.5028 |
| Time | 4 | −46.26 | 101.48 | 0.80 | 0.3375 |
| Null (intercept with random effects) | 3 | −52.25 | 111.05 | 10.37 | 0.0028 |
| Elmidae | |||||
| Null (intercept with random effects) | 3 | −68.89 | 144.38 | 0.00 | 0.6891 |
| Time | 4 | −68.47 | 145.97 | 1.59 | 0.3109 |
| Hirudinea | |||||
| Time | 4 | −43.32 | 95.89 | 0.00 | 0.3001 |
| Null (intercept with random effects) | 3 | −44.82 | 96.38 | 0.49 | 0.2349 |
| Time + Agriculture (%) | 5 | −42.31 | 96.56 | 0.67 | 0.2145 |
| Time × Agriculture (%) | 6 | −41.18 | 97.17 | 1.28 | 0.1583 |
| Hydropsychidae | |||||
| Time + Urban (%) | 5 | −50.77 | 113.42 | 0.00 | 0.3320 |
| Time + Agriculture (%) | 5 | −51.57 | 115.02 | 1.60 | 0.1492 |
| Forest (%) | 4 | −52.98 | 115.17 | 1.75 | 0.1386 |
| Time × Urban (%) | 6 | −50.35 | 115.41 | 1.99 | 0.1229 |
| Null (intercept with random effects) | 3 | −54.55 | 115.80 | 2.38 | 0.1010 |
| Scraper-Grazers | |||||
| Agriculture (%) | 4 | −74.51 | 157.74 | 0.00 | 0.5569 |
| Null (intercept with random effects) | 3 | −76.37 | 159.17 | 1.42 | 0.2733 |
| Collector-Gatherers | |||||
| Time | 4 | −169.17 | 346.65 | 0.00 | 0.2971 |
| Time + Forest (%) | 5 | −168.85 | 348.17 | 1.52 | 0.1390 |
| Null (intercept with random effects) | 3 | −171.92 | 350.03 | 3.39 | 0.0546 |
| Collector-Filterers | |||||
| Time + Agriculture (%) | 5 | −102.50 | 215.76 | 0.00 | 0.5309 |
| Time | 4 | −104.55 | 217.60 | 1.85 | 0.2108 |
| Null (intercept with random effects) | 3 | −108.00 | 222.30 | 6.54 | 0.0201 |
| Shredders | |||||
| Time | 4 | −44.06 | 97.33 | 0.00 | 0.3975 |
| Null (intercept with random effects) | 3 | −45.59 | 97.89 | 0.56 | 0.3009 |
| Time + Forest (%) | 5 | −43.51 | 98.90 | 1.57 | 0.1815 |
| Predators | |||||
| Time | 4 | −104.50 | 217.45 | 0.00 | 0.3174 |
| Time + Agriculture (%) | 5 | −104.05 | 218.77 | 1.32 | 0.1641 |
| Time + Urban (%) | 5 | −104.11 | 218.90 | 1.45 | 0.1536 |
| Null (intercept with random effects) | 3 | −106.62 | 219.51 | 2.06 | 0.1132 |
| 95% CI | ||||||
|---|---|---|---|---|---|---|
| Coefficient | Estimate | SE | Z | p | Lower | Upper |
| Pooled: Site Random | ||||||
| Intercept | 0.7820 | 0.3627 | 2.156 | 0.0311 | 0.012 | 1.599 |
| Site:MAN | 0.3275 | 0.3834 | 0.854 | 0.3929 | −0.428 | 1.082 |
| SitePERK | 1.0063 | 0.3593 | 2.801 | 0.0051 | 0.295 | 1.712 |
| Site:SKIP | 0.5920 | 0.4003 | 1.479 | 0.1391 | −0.189 | 1.387 |
| Site:WBP | −0.2199 | 0.4027 | −0.546 | 0.5851 | −1.015 | 0.572 |
| Site:WIS | 0.4963 | 0.4168 | 1.191 | 0.2337 | −0.311 | 1.323 |
| Time | −0.6945 | 0.1402 | −4.953 | <0.0001 | −1.050 | −0.349 |
| Pooled | ||||||
| Intercept | 1.2021 | 0.3786 | 3.175 | 0.0015 | −0.460 | 1.944 |
| Time | −0.7043 | 0.1802 | −3.908 | <0.0001 | −1.058 | −0.351 |
| Chironomidae | ||||||
| Intercept | 2.7286 | 1.4118 | 1.933 | 0.0533 | −0.039 | 5.496 |
| Time | −2.0432 | 0.6454 | −3.166 | 0.0016 | −3.308 | −0.778 |
| Forest (%) | 0.0531 | 0.0276 | 1.924 | 0.0544 | −0.001 | 0.107 |
| Agriculture (%) | −0.0513 | 0.0303 | −1.690 | 0.0911 | −0.111 | 0.008 |
| Elmidae | ||||||
| Intercept | 0.1622 | 0.5819 | 0.279 | 0.7800 | −0.978 | 1.303 |
| Hirudinea | ||||||
| Intercept | 1.8151 | 1.1830 | 1.534 | 0.1250 | −0.500 | 4.130 |
| Time | −1.0170 | 0.6029 | −1.687 | 0.0916 | −2.200 | 0.160 |
| Hydropsychidae | ||||||
| Intercept | 0.6290 | 1.1330 | 0.555 | 0.5790 | −1.590 | 2.850 |
| Time | −0.9186 | 0.5585 | −1.645 | 0.1000 | −2.010 | 0.180 |
| Urban (%) | 0.0313 | 0.0132 | 2.365 | 0.0180 | 0.005 | 0.060 |
| Scraper-Grazers | ||||||
| Intercept | 2.7603 | 1.6511 | 1.672 | 0.0946 | −0.476 | 5.996 |
| Agriculture (%) | −0.0817 | 0.0477 | −1.713 | 0.0867 | −0.175 | 0.012 |
| Collector-Gatherers | ||||||
| Intercept | 1.2155 | 0.6059 | 2.006 | 0.0448 | 0.028 | 2.403 |
| Time | −0.6875 | 0.2926 | −2.350 | 0.0188 | −1.261 | −0.114 |
| Collector-Filterers | ||||||
| Intercept | 3.4052 | 1.0982 | 3.101 | 0.0019 | 1.253 | 5.556 |
| Time | −1.1579 | 0.4347 | −2.663 | 0.0077 | −2.010 | −0.306 |
| Agriculture (%) | −0.0387 | 0.0198 | −1.953 | 0.0508 | −0.078 | 0.0001 |
| Shredders | ||||||
| Intercept | 0.7585 | 0.8421 | 0.901 | 0.3677 | −0.892 | 2.409 |
| Year | −0.7171 | 0.4202 | −1.706 | 0.0879 | −1.541 | 0.107 |
| Predators | ||||||
| Intercept | 1.0023 | 0.6746 | 1.486 | 0.1373 | −0.320 | 2.324 |
| Year | −0.7102 | 0.3464 | −2.050 | 0.0404 | −1.389 | −0.031 |
Disclaimer/Publisher’s Note: The statements, opinions and data contained in all publications are solely those of the individual author(s) and contributor(s) and not of MDPI and/or the editor(s). MDPI and/or the editor(s) disclaim responsibility for any injury to people or property resulting from any ideas, methods, instructions or products referred to in the content. |
© 2026 by the authors. Licensee MDPI, Basel, Switzerland. This article is an open access article distributed under the terms and conditions of the Creative Commons Attribution (CC BY) license.
Share and Cite
McNeish, R.E.; Macchia, M.D.; Lee, N.M.; Harrison, A.T.; Brown, A.J.; Jackson, J.K.; Wallace, J.R. Archived Historical Aquatic Macroinvertebrate Specimens Suggest Connections Between Microplastic Abundance Patterns, Trophic Traits, and Land Use. Insects 2026, 17, 386. https://doi.org/10.3390/insects17040386
McNeish RE, Macchia MD, Lee NM, Harrison AT, Brown AJ, Jackson JK, Wallace JR. Archived Historical Aquatic Macroinvertebrate Specimens Suggest Connections Between Microplastic Abundance Patterns, Trophic Traits, and Land Use. Insects. 2026; 17(4):386. https://doi.org/10.3390/insects17040386
Chicago/Turabian StyleMcNeish, Rachel E., Marisa D. Macchia, Nicole M. Lee, Austin T. Harrison, Alexandra J. Brown, John K. Jackson, and John R. Wallace. 2026. "Archived Historical Aquatic Macroinvertebrate Specimens Suggest Connections Between Microplastic Abundance Patterns, Trophic Traits, and Land Use" Insects 17, no. 4: 386. https://doi.org/10.3390/insects17040386
APA StyleMcNeish, R. E., Macchia, M. D., Lee, N. M., Harrison, A. T., Brown, A. J., Jackson, J. K., & Wallace, J. R. (2026). Archived Historical Aquatic Macroinvertebrate Specimens Suggest Connections Between Microplastic Abundance Patterns, Trophic Traits, and Land Use. Insects, 17(4), 386. https://doi.org/10.3390/insects17040386

