Beyond Rensch’s Rule: Prevalent Female-Biased Size Dimorphism and Its Allometric Scaling in Cassidinae Beetles
Simple Summary
Abstract
1. Introduction
2. Materials and Methods
2.1. Study Area
2.2. Study Species
2.3. Body Size Measurement
2.4. Dissection and Sex Identification
2.5. Data Analysis
3. Results
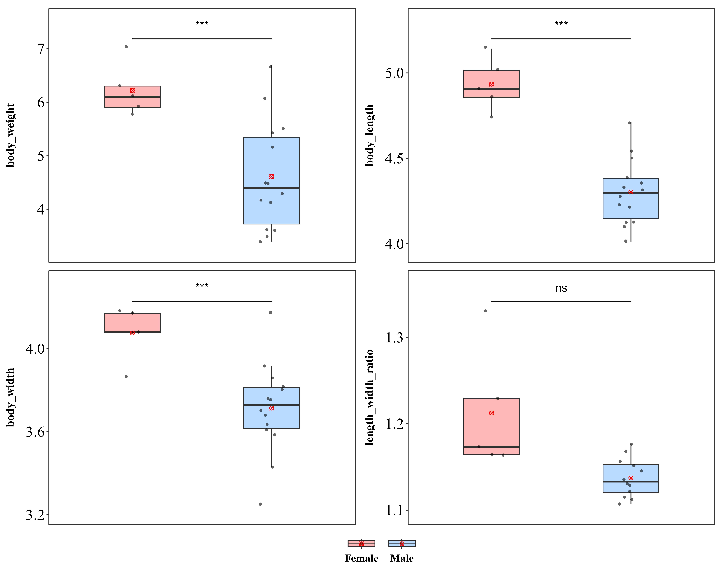
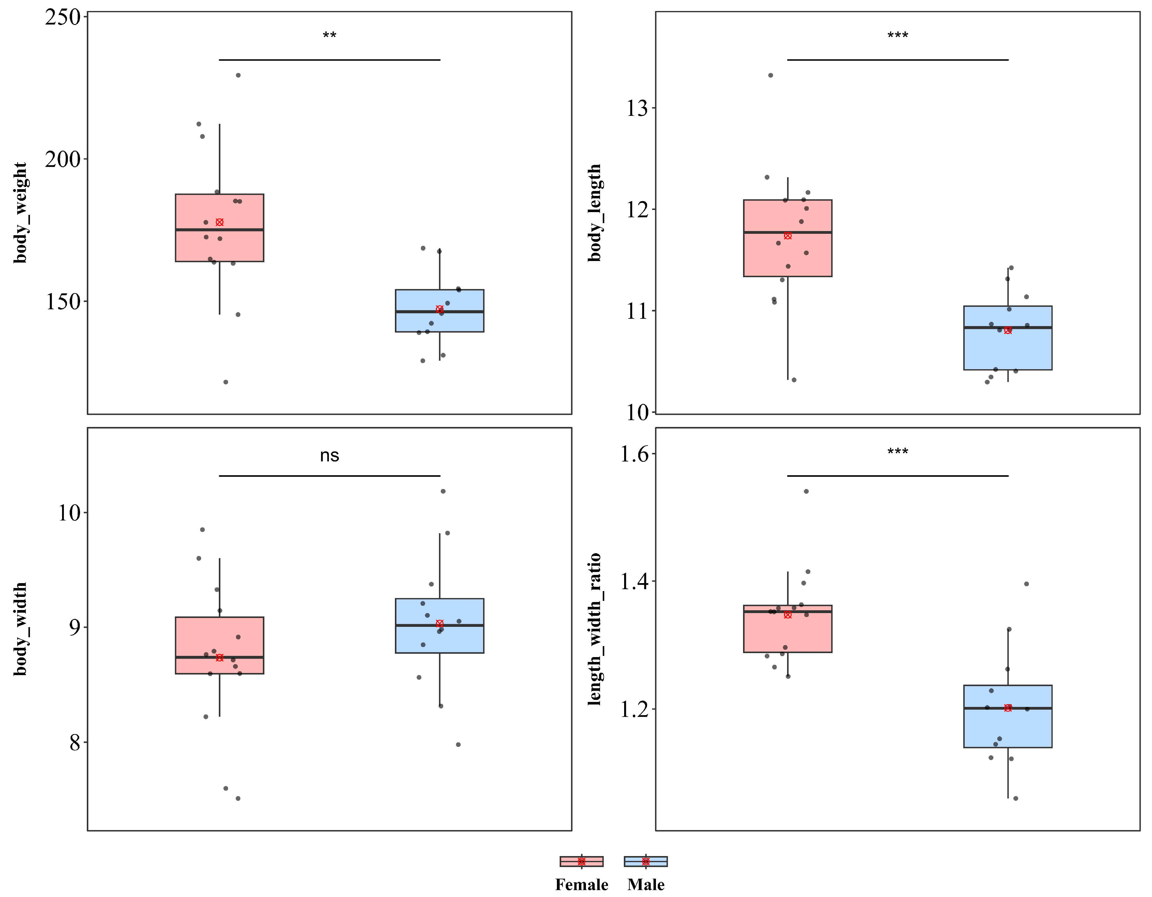
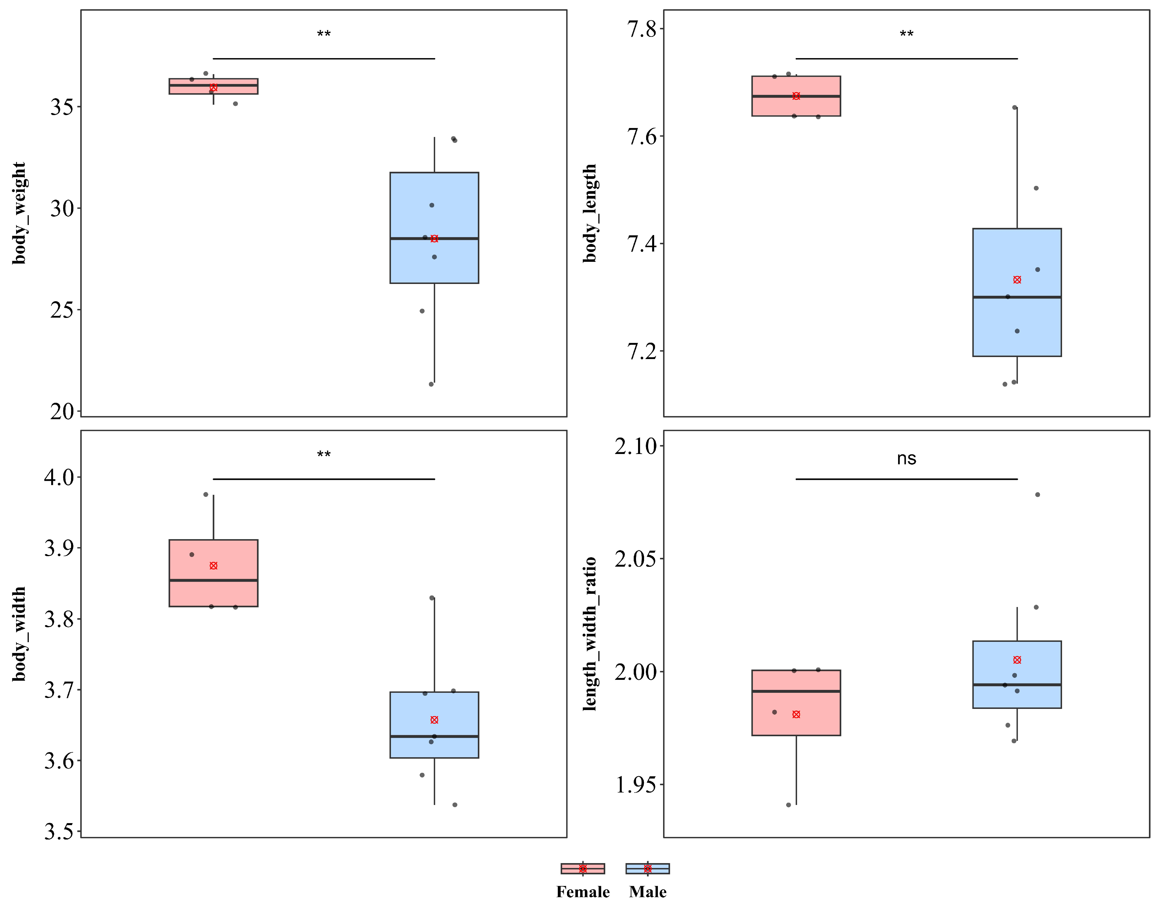
3.1. Sexual Size Dimorphism in Cassidinae Species
3.1.1. Aspidomorpha sanctaecrucis
3.1.2. Laccoptera quadrimaculata
3.1.3. Basiprionota bisignata
3.1.4. Basiprionota chinensis
3.1.5. Callispa dimidiatipennis
3.1.6. Thlaspida biramosa
3.1.7. Downesia tarsata
3.1.8. Monohispa tuberculata
3.1.9. Leptispa longipennis
3.1.10. Notosacantha sauteri
3.2. Validation of Rensch’s Rule in Cassidinae Species
4. Discussion
5. Conclusions
Supplementary Materials
Author Contributions
Funding
Data Availability Statement
Acknowledgments
Conflicts of Interest
References
- Harnos, A.; Lang, Z.; Petras, D.; Bush, S.E.; Szabo, K.; Rozsa, L. Size matters for lice on birds: Coevolutionary allometry of host and parasite body size. Evolution 2017, 71, 421–431. [Google Scholar] [CrossRef]
- Bi, M.; Shen, M.; Zhou, K.; Mao, L.; Chen, S.; Peng, P. Geographical variance of ladybird morphology and environmental correlates in China. Biodivers. Sci. 2015, 23, 775–783. [Google Scholar] [CrossRef]
- Kuang, X.-J.; Ge, F.; Xue, F.-S. Geographical variation in body size and sexual size dimorphism in insects. Acta Entomol. Sin. 2015, 58, 351–360. [Google Scholar] [CrossRef]
- Maestri, R.; Fiedler, M.S.; Shenbrot, G.I.; Surkova, E.N.; Medvedev, S.G.; Khokhlova, I.S.; Krasnov, B.R. Harrison’s rule scales up to entire parasite assemblages but is determined by environmental factors. J. Anim. Ecol. 2020, 89, 2888–2895. [Google Scholar] [CrossRef]
- Wu, C.H.; Holloway, J.D.; Hill, J.K.; Thomas, C.D.; Chen, I.C.; Ho, C.K. Reduced body sizes in climate-impacted Borneo moth assemblages are primarily explained by range shifts. Nat. Commun. 2019, 10, 4612. [Google Scholar] [CrossRef]
- Tan, H.R.; Hirst, A.G.; Atkinson, D.; Kratina, P. Body size and shape responses to warming and resource competition. Funct. Ecol. 2021, 35, 1460–1469. [Google Scholar] [CrossRef]
- Kalinkat, G.; Jochum, M.; Brose, U.; Dell, A.I. Body size and the behavioral ecology of insects: Linking individuals to ecological communities. Curr. Opin. Insect Sci. 2015, 9, 24–30. [Google Scholar] [CrossRef] [PubMed]
- Tan, H. Interplay of Physiology, Ecology and the Environment: The Implications of Body Size and Shape. Ph.D. Thesis, Queen Mary University of London, London, UK, 2020. [Google Scholar]
- Shelomi, M. Where are we now? Bergmann’s rule sensu lato in insects. Am. Nat. 2012, 180, 511–519. [Google Scholar] [CrossRef]
- Chown, S.L.; Gaston, K.J. Body size variation in insects: A macroecological perspective. Biol. Rev. Camb. Philos. Soc. 2010, 85, 139–169. [Google Scholar] [CrossRef]
- Johnson, K.P.; Shreve, S.M.; Smith, V.S. Repeated adaptive divergence of microhabitat specialization in avian feather lice. BMC Biol. 2012, 10, 52. [Google Scholar] [CrossRef] [PubMed]
- Ni, S.; Doherty, J.F.; Poulin, R. Convergent patterns of body size variation in distinct parasite taxa with convergent life cycles. Glob. Ecol. Biogeogr. 2021, 30, 2382–2392. [Google Scholar] [CrossRef]
- Horne, C.R.; Hirst, A.G.; Atkinson, D. Temperature-size responses match latitudinal-size clines in arthropods, revealing critical differences between aquatic and terrestrial species. Ecol. Lett. 2015, 18, 327–335. [Google Scholar] [CrossRef]
- Fairbairn, D.J. Allometry for sexual size dimorphism pattern and process in the coevolution of body size in males and females. Annu. Rev. Ecol. Evol. Syst. 1997, 28, 659–687. [Google Scholar] [CrossRef]
- Abouheif, E.; Fairbairn, D.J. A comparative analysis of allometry for sexual size dimorphism: Assessing Rensch’s rule. Am. Nat. 1997, 149, 540–562. [Google Scholar] [CrossRef]
- Baroni, D.; Masoero, G. Complex influence of climate on the distribution and body size of an Alpine species. Insect Conserv. Divers. 2018, 11, 435–448. [Google Scholar] [CrossRef]
- Reyes-Puig, C.; Adams, D.C.; Enriquez-Urzelai, U.; Kaliontzopoulou, A. Rensch’s rule: Linking intraspecific to evolutionary allometry. Evolution 2023, 77, 2576–2589. [Google Scholar] [CrossRef] [PubMed]
- Heim, N.A.; Knope, M.L.; Schaal, E.K.; Wang, S.C.; Payne, J.L. Animal evolution. Cope’s rule in the evolution of marine animals. Science 2015, 347, 867–870. [Google Scholar] [CrossRef] [PubMed]
- Hirst, A.G.; Lilley, M.; Glazier, D.; Atkinson, D. Ontogenetic body-mass scaling of nitrogen excretion relates to body surface area in diverse pelagic invertebrates. Limnol. Oceanogr. 2017, 62, 311–319. [Google Scholar] [CrossRef]
- Hechinger, R.F.; Sheehan, K.L.; Turner, A.V. Metabolic theory of ecology successfully predicts distinct scaling of ectoparasite load on hosts. Proc. Biol. Sci. 2019, 286, 20191777. [Google Scholar] [CrossRef]
- Olalla-Tárraga, M.Á.; Rodríguez, M.Á. Energy and interspecific body size patterns of amphibian faunas in Europe and North America: Anurans follow Bergmann’s rule, urodeles its converse. Glob. Ecol. Biogeogr. 2007, 16, 606–617. [Google Scholar] [CrossRef]
- Fairbairn, D.J. Odd Couples: Extraordinary Differences Between the Sexes in the Animal Kingdom; Princeton University Press: Princeton, NJ, USA; Oxford, UK, 2013. [Google Scholar]
- Reid, C.A.; Beatson, M. Chrysomelid males with enlarged mandibles: Three new species and a review of occurrence in the family (Coleoptera: Chrysomelidae). Zootaxa 2013, 3619, 79–100. [Google Scholar] [CrossRef]
- De Carli, M.; Rech, C.; Bento, J.M.S.; Nardi, C. Sexual dimorphism in Diabrotica speciosa and Diabrotica viridula (Coleoptera: Chrysomelidae). Rev. Bras. Entomol. 2018, 62, 172–175. [Google Scholar] [CrossRef]
- Katsuki, M.; Yokoi, T.; Funakoshi, K.; Oota, N. Enlarged hind legs and sexual behavior with male-male interaction in Sagra femorata (Coleoptera: Chrysomelidae). Entomol. News 2014, 124, 211–220. [Google Scholar] [CrossRef]
- O’Brien, D.M.; Katsuki, M.; Emlen, D.J. Selection on an extreme weapon in the frog-legged leaf beetle (Sagra femorata). Evolution 2017, 71, 2584–2598. [Google Scholar] [CrossRef] [PubMed]
- Katsuki, M.; Uesugi, K.; Yokoi, T.; Ozawa, T.; O’Brien, D.M.; Emlen, D.J.; Okada, K.; Okada, Y. Morphological and functional analyses for investigation of sexually selected legs in the frog legged beetle Sagra femorata (Coleoptera: Chrysomelidae). Arthropod Struct. Dev. 2024, 80, 101360. [Google Scholar] [CrossRef] [PubMed]
- Chaboo, C.S. Biology and phylogeny of the Cassidinae Gyllenhal sensu lato (tortoise and leaf-mining beetles) (Coleoptera Chrysomelidae). Bull. Am. Mus. Nat. Hist. 2007, 305, 1–250. [Google Scholar] [CrossRef]
- Stillwell, R.C.; Blanckenhorn, W.U.; Teder, T.; Davidowitz, G.; Fox, C.W. Sex differences in phenotypic plasticity affect variation in sexual size dimorphism in insects: From physiology to evolution. Annu. Rev. Entomol. 2010, 55, 227–245. [Google Scholar] [CrossRef] [PubMed]
- Chen, S.H.; Yu, P.Y.; Sun, C.H.; T’an, C.H.; Zia, Y. Fauna Sinica (Insecta: Coleoptera: Hispidae); Science Press: Beijing, China, 1986. [Google Scholar]
- Balciauskas, L.; Balciauskiene, L. Sexual body size dimorphism in small mammals: A case study from Lithuania. Biology 2024, 13, 1032. [Google Scholar] [CrossRef]
- Blanckenhorn, W.U.; Dixon, A.F.; Fairbairn, D.J.; Foellmer, M.W.; Gibert, P.; van der Linde, K.; Meier, R.; Nylin, S.; Pitnick, S.; Schoff, C.; et al. Proximate causes of Rensch’s rule: Does sexual size dimorphism in arthropods result from sex differences in development time? Am. Nat. 2007, 169, 245–257. [Google Scholar] [CrossRef]
- Fairbairn, D.J.; Blanckenhorn, W.U.; Sze’kely, T. Sex, Size and Gender Roles: Evolutionary Studies of Sexual Size Dimorphism; Oxford University Press: Oxford, UK; New York, NY, USA, 2007. [Google Scholar]
- Rossi, M.N.; Haga, E.B. Testing Rensch’s rule in Acanthoscelides macrophthalmus, a seed-feeding beetle infesting Leucaena leucocephala plants. Can. J. Zool. 2019, 97, 304–311. [Google Scholar] [CrossRef]
- Liu, P. Diversity of Cassidinae Beetles across Different Habitats in South Jiangxi. Master Thesis, Gannan Normal University, Ganzhou, China, 2018. [Google Scholar]
- Ge, S.Q.; Huang, Z.Z.; Liang, H.B.; Pan, Z.; Ren, D.; Yin, Z.W. Beetle diversity of Nanling priority area for biodiversity conservation: Papers celebrating the 10th anniversary of the Coleopterology Committee, Entomological Society of China (Title page). Zootaxa 2024, 5528, 1–2. [Google Scholar] [CrossRef]
- Wang, Z.; Zhang, M.; Zhao, X.; Xie, J.; Peng, Y.; Sheldon, F.H.; Zou, F. The Nanling Mountains of southern China played a variable role as a barrier and refuge for birds depending upon landscape structure and timing of events. J. Avian Biol. 2024, 2024, e03131. [Google Scholar] [CrossRef]
- Lin, D.; Zhong, W.; Wang, X.; Quan, M.; Li, T.; Zhang, E. Spatiotemporal characteristics and forcing mechanism of precipitation changes in the Nanling Mountains and surrounding regions in South China over the past 60 years. Theor. Appl. Climatol. 2024, 156, 57. [Google Scholar] [CrossRef]
- Liu, P.; Liao, C.; Xu, J.; Staines, C.L.; Dai, X. The Cassidinae beetles of Longnan County (Jiangxi, China): Overview and community composition. Biodivers. Data J. 2019, 7, e39053. [Google Scholar] [CrossRef]
- Ding, C.; Huang, W.; Meng, Y.; Zhang, B. Satellite-observed spatio-Temporal variation in spring leaf phenology of subtropical forests across the Nanling Mountains in southern China over 1999–2019. Forests 2022, 13, 1486. [Google Scholar] [CrossRef]
- Yang, C.; Liao, C.; Xu, J.; Dai, X. Host relationships and biological notes of Cassidinae beetles (Coleoptera, Chrysomelidae) in Qiannan Prefecture, Guizhou, China. Biodivers. Data J. 2024, 12, e116267. [Google Scholar] [CrossRef]
- Yang, C.; Liao, C.; Xu, J.; Liu, P.; Staines, C.L.; Dai, X. Field survey of Cassidinae beetles (Coleoptera, Chrysomelidae) and their host plants in southern Guangxi, China. Biodivers. Data J. 2023, 11, e107523. [Google Scholar] [CrossRef]
- Staines, C.L. Hispines of the World. Available online: http://idtools.org/id/beetles/hispines/ (accessed on 1 November 2020).
- Borowiec, L.; Świętojańska, J. Cassidinae of the World—An Interactive Manual; Department of Biodiversity and Evolutionary Taxonomy, University of Wroclaw: Wrocław, Poland, 2024. [Google Scholar]
- Warton, D.I.; Duursma, R.A.; Falster, D.S.; Taskinen, S. smatr 3—An R package for estimation and inference about allometric lines. Methods Ecol. Evol. 2011, 3, 257–259. [Google Scholar] [CrossRef]
- Ceballos, C.P.; Adams, D.C.; Iverson, J.B.; Valenzuela, N. Phylogenetic patterns of sexual size dimorphism in turtles and their implications for Rensch’s rule. Evol. Biol. 2012, 40, 194–208. [Google Scholar] [CrossRef]
- R Core Team. R: A Language and Environment for Statistical Computing; R Foundation for Statistical Computing: Vienna, Austria, 2025. [Google Scholar]
- RStudio Team. RStudio: Integrated Development for R; RStudio, Inc.: Boston, MA, USA, 2025. [Google Scholar]
- Wickham, H.; François, R.; Henry, L.; Müller, K.; Vaughan, D. Dplyr: A Grammar of Data Manipulation, R package version 1.1.4. 2025.
- Wickham, H.; Bryan, J. Readxl: Read Excel Files, R package version 1.4.5. 2025. Available online: https://github.com/tidyverse/readxl (accessed on 1 August 2025).
- Wickham, H.; Vaughan, D.; Girlich, M. Tidyr: Tidy Messy Data, R package version 1.3.1. 2025. Available online: https://tidyr.tidyverse.org (accessed on 1 August 2025).
- Wickham, H. Ggplot2: Elegant Graphics for Data Analysis; Springer: New York, NY, USA, 2016. [Google Scholar]
- Kassambara, A. Ggpubr: ‘Ggplot2’ Based Publication Ready Plots, R package version 0.6.1. 2025. Available online: https://cran.r-project.org/web/packages/ggpubr/index.html (accessed on 1 August 2025).
- Cox, M.L. Advances in Chrysomelidae Biology; Backhuys Publishers: Leiden, The Netherlands, 1999. [Google Scholar]
- Teder, T.; Blanckenhorn, W. Sexual size dimorphism requires a corresponding sex difference in development time: A meta-analysis in insects. Funct. Ecol. 2013, 28, 479–486. [Google Scholar] [CrossRef]
- Budecevic, S.; Savkovic, U.; Dordevic, M.; Vlajnic, L.; Stojkovic, B. Sexual dimorphism and morphological modularity in Acanthoscelides obtectus (Say, 1831) (Coleoptera: Chrysomelidae): A geometric morphometric approach. Insects 2021, 12, 350. [Google Scholar] [CrossRef] [PubMed]
- Niño, A.A.; Cave, R.D. Sex differentiation of adults of Microtheca ochroloma Stål (Coleoptera: Chrysomelidae: Chrysomelinae). Coleopt. Bull. 2018, 72, 230–232. [Google Scholar] [CrossRef]













| Species | Tribe | Collection Location |
|---|---|---|
| Aspidomorpha sanctaecrucis (Fabricius, 1792) | Aspidomorphini | Shixing, Guangdong, China |
| Laccoptera quadrimaculata (Thunberg, 1789) | Aspidomorphini | Shixing, Guangdong, China |
| Basiprionota bisignata (Boheman, 1862) | Basiprionotini | Dayu, Jiangxi, China |
| Basiprionota chinensis (Fabricius, 1798) | Basiprionotini | Dayu, Jiangxi, China |
| Callispa dimidiatipennis Baly, 1858 | Callispini | Dinghu, Guangdong, China |
| Thlaspida biramosa (Boheman, 1855) | Cassidini | Shixing, Guangdong, China |
| Downesia tarsata Baly, 1869 | Gonophorini | Chongyi, Jiangxi, China |
| Monohispa tuberculata (Gressitt, 1950) | Hispini | Quannan, Jiangxi, China |
| Leptispa longipennis (Gestro, 1890) | Leptispini | Qingxin, Guangdong, China |
| Notosacantha sauteri (Spaeth, 1914) | Notosacanthini | Nanxiong, Guangdong, China |
Disclaimer/Publisher’s Note: The statements, opinions and data contained in all publications are solely those of the individual author(s) and contributor(s) and not of MDPI and/or the editor(s). MDPI and/or the editor(s) disclaim responsibility for any injury to people or property resulting from any ideas, methods, instructions or products referred to in the content. |
© 2026 by the authors. Licensee MDPI, Basel, Switzerland. This article is an open access article distributed under the terms and conditions of the Creative Commons Attribution (CC BY) license.
Share and Cite
Wang, J.; Yang, Y.; Yang, C.; Liao, C.; Xu, J.; Guo, Q.; Dai, X. Beyond Rensch’s Rule: Prevalent Female-Biased Size Dimorphism and Its Allometric Scaling in Cassidinae Beetles. Insects 2026, 17, 208. https://doi.org/10.3390/insects17020208
Wang J, Yang Y, Yang C, Liao C, Xu J, Guo Q, Dai X. Beyond Rensch’s Rule: Prevalent Female-Biased Size Dimorphism and Its Allometric Scaling in Cassidinae Beetles. Insects. 2026; 17(2):208. https://doi.org/10.3390/insects17020208
Chicago/Turabian StyleWang, Jialong, Yuru Yang, Chaokun Yang, Chengqing Liao, Jiasheng Xu, Qingyun Guo, and Xiaohua Dai. 2026. "Beyond Rensch’s Rule: Prevalent Female-Biased Size Dimorphism and Its Allometric Scaling in Cassidinae Beetles" Insects 17, no. 2: 208. https://doi.org/10.3390/insects17020208
APA StyleWang, J., Yang, Y., Yang, C., Liao, C., Xu, J., Guo, Q., & Dai, X. (2026). Beyond Rensch’s Rule: Prevalent Female-Biased Size Dimorphism and Its Allometric Scaling in Cassidinae Beetles. Insects, 17(2), 208. https://doi.org/10.3390/insects17020208

